Abstract:Embodied intelligence is a key step towards Artificial General Intelligence (AGI), yet its development faces multiple challenges including data, frameworks, infrastructure, and evaluation systems. To address these issues, we have, for the first time in the industry, launched a cloud-based, thousand-GPU distributed training platform for embodied intelligence, built upon the widely adopted LeRobot framework, and have systematically overcome bottlenecks across the entire pipeline. At the data layer, we have restructured the data pipeline to optimize the flow of embodied training data. In terms of training, for the GR00T-N1.5 model, utilizing thousand-GPU clusters and data at the scale of hundreds of millions, the single-round training time has been reduced from 15 hours to just 22 minutes, achieving a 40-fold speedup. At the model layer, by combining variable-length FlashAttention and Data Packing, we have moved from sample redundancy to sequence integration, resulting in a 188% speed increase; π-0.5 attention optimization has accelerated training by 165%; and FP8 quantization has delivered a 140% speedup. On the infrastructure side, relying on high-performance storage, a 3.2T RDMA network, and a Ray-driven elastic AI data lake, we have achieved deep synergy among data, storage, communication, and computation. We have also built an end-to-end evaluation system, creating a closed loop from training to simulation to assessment. This framework has already been fully validated on thousand-GPU clusters, laying a crucial technical foundation for the development and application of next-generation autonomous intelligent robots, and is expected to accelerate the arrival of the era of human-machine integration.
Abstract:In recent years, Vision-Language-Action (VLA) models have emerged as a crucial pathway towards general embodied intelligence, yet their training efficiency has become a key bottleneck. Although existing reinforcement learning (RL)-based training frameworks like RLinf can enhance model generalization, they still rely on synchronous execution, leading to severe resource underutilization and throughput limitations during environment interaction, policy generation (rollout), and model update phases (actor). To overcome this challenge, this paper, for the first time, proposes and implements a fully-asynchronous policy training framework encompassing the entire pipeline from environment interaction, rollout generation, to actor policy updates. Systematically drawing inspiration from asynchronous optimization ideas in large model RL, our framework designs a multi-level decoupled architecture. This includes asynchronous parallelization of environment interaction and trajectory collection, streaming execution for policy generation, and decoupled scheduling for training updates. We validated the effectiveness of our method across diverse VLA models and environments. On the LIBERO benchmark, the framework achieves throughput improvements of up to 59.25\% compared to existing synchronous strategies. When deeply optimizing separation strategies, throughput can be increased by as much as 126.67\%. We verified the effectiveness of each asynchronous component via ablation studies. Scaling law validation across 8 to 256 GPUs demonstrates our method's excellent scalability under most conditions.




Abstract:Reinforcement learning control algorithms face significant challenges due to out-of-distribution and inefficient exploration problems. While model-based reinforcement learning enhances the agent's reasoning and planning capabilities by constructing virtual environments, training such virtual environments can be very complex. In order to build an efficient inference model and enhance the representativeness of learning data, we propose the Counterfactual Experience Augmentation (CEA) algorithm. CEA leverages variational autoencoders to model the dynamic patterns of state transitions and introduces randomness to model non-stationarity. This approach focuses on expanding the learning data in the experience pool through counterfactual inference and performs exceptionally well in environments that follow the bisimulation assumption. Environments with bisimulation properties are usually represented by discrete observation and action spaces, we propose a sampling method based on maximum kernel density estimation entropy to extend CEA to various environments. By providing reward signals for counterfactual state transitions based on real information, CEA constructs a complete counterfactual experience to alleviate the out-of-distribution problem of the learning data, and outperforms general SOTA algorithms in environments with difference properties. Finally, we discuss the similarities, differences and properties of generated counterfactual experiences and real experiences. The code is available at https://github.com/Aegis1863/CEA.




Abstract:Safety alignment mechanism are essential for preventing large language models (LLMs) from generating harmful information or unethical content. However, cleverly crafted prompts can bypass these safety measures without accessing the model's internal parameters, a phenomenon known as black-box jailbreak. Existing heuristic black-box attack methods, such as genetic algorithms, suffer from limited effectiveness due to their inherent randomness, while recent reinforcement learning (RL) based methods often lack robust and informative reward signals. To address these challenges, we propose a novel black-box jailbreak method leveraging RL, which optimizes prompt generation by analyzing the embedding proximity between benign and malicious prompts. This approach ensures that the rewritten prompts closely align with the intent of the original prompts while enhancing the attack's effectiveness. Furthermore, we introduce a comprehensive jailbreak evaluation framework incorporating keywords, intent matching, and answer validation to provide a more rigorous and holistic assessment of jailbreak success. Experimental results show the superiority of our approach, achieving state-of-the-art (SOTA) performance on several prominent open and closed-source LLMs, including Qwen2.5-7B-Instruct, Llama3.1-8B-Instruct, and GPT-4o-0806. Our method sets a new benchmark in jailbreak attack effectiveness, highlighting potential vulnerabilities in LLMs. The codebase for this work is available at https://github.com/Aegis1863/xJailbreak.




Abstract:Reinforcement learning methods have proposed promising traffic signal control policy that can be trained on large road networks. Current SOTA methods model road networks as topological graph structures, incorporate graph attention into deep Q-learning, and merge local and global embeddings to improve policy. However, graph-based methods are difficult to parallelize, resulting in huge time overhead. Moreover, none of the current peer studies have deployed dynamic traffic systems for experiments, which is far from the actual situation. In this context, we propose Multi-Scene Aggregation Convolutional Learning for traffic signal control (MacLight), which offers faster training speeds and more stable performance. Our approach consists of two main components. The first is the global representation, where we utilize variational autoencoders to compactly compress and extract the global representation. The second component employs the proximal policy optimization algorithm as the backbone, allowing value evaluation to consider both local features and global embedding representations. This backbone model significantly reduces time overhead and ensures stability in policy updates. We validated our method across multiple traffic scenarios under both static and dynamic traffic systems. Experimental results demonstrate that, compared to general and domian SOTA methods, our approach achieves superior stability, optimized convergence levels and the highest time efficiency. The code is under https://github.com/Aegis1863/MacLight.




Abstract:Reconstructing high-fidelity, animatable 3D head avatars from effortlessly captured monocular videos is a pivotal yet formidable challenge. Although significant progress has been made in rendering performance and manipulation capabilities, notable challenges remain, including incomplete reconstruction and inefficient Gaussian representation. To address these challenges, we introduce FATE, a novel method for reconstructing an editable full-head avatar from a single monocular video. FATE integrates a sampling-based densification strategy to ensure optimal positional distribution of points, improving rendering efficiency. A neural baking technique is introduced to convert discrete Gaussian representations into continuous attribute maps, facilitating intuitive appearance editing. Furthermore, we propose a universal completion framework to recover non-frontal appearance, culminating in a 360$^\circ$-renderable 3D head avatar. FATE outperforms previous approaches in both qualitative and quantitative evaluations, achieving state-of-the-art performance. To the best of our knowledge, FATE is the first animatable and 360$^\circ$ full-head monocular reconstruction method for a 3D head avatar. The code will be publicly released upon publication.




Abstract:We present a novel approach for synthesizing 3D talking heads with controllable emotion, featuring enhanced lip synchronization and rendering quality. Despite significant progress in the field, prior methods still suffer from multi-view consistency and a lack of emotional expressiveness. To address these issues, we collect EmoTalk3D dataset with calibrated multi-view videos, emotional annotations, and per-frame 3D geometry. By training on the EmoTalk3D dataset, we propose a \textit{`Speech-to-Geometry-to-Appearance'} mapping framework that first predicts faithful 3D geometry sequence from the audio features, then the appearance of a 3D talking head represented by 4D Gaussians is synthesized from the predicted geometry. The appearance is further disentangled into canonical and dynamic Gaussians, learned from multi-view videos, and fused to render free-view talking head animation. Moreover, our model enables controllable emotion in the generated talking heads and can be rendered in wide-range views. Our method exhibits improved rendering quality and stability in lip motion generation while capturing dynamic facial details such as wrinkles and subtle expressions. Experiments demonstrate the effectiveness of our approach in generating high-fidelity and emotion-controllable 3D talking heads. The code and EmoTalk3D dataset are released at https://nju-3dv.github.io/projects/EmoTalk3D.




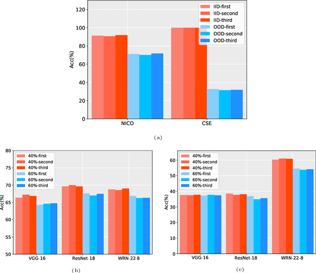
Abstract:Data has now become a shortcoming of deep learning. Researchers in their own fields share the thinking that "deep neural networks might not always perform better when they eat more data," which still lacks experimental validation and a convincing guiding theory. Here to fill this lack, we design experiments from Identically Independent Distribution(IID) and Out of Distribution(OOD), which give powerful answers. For the purpose of guidance, based on the discussion of results, two theories are proposed: under IID condition, the amount of information determines the effectivity of each sample, the contribution of samples and difference between classes determine the amount of sample information and the amount of class information; under OOD condition, the cross-domain degree of samples determine the contributions, and the bias-fitting caused by irrelevant elements is a significant factor of cross-domain. The above theories provide guidance from the perspective of data, which can promote a wide range of practical applications of artificial intelligence.