Abstract:The Large Visual-Language Models (LVLMs) have significantly advanced image understanding. Their comprehension and reasoning capabilities enable promising applications in autonomous driving scenarios. However, existing research typically focuses on front-view perspectives and partial objects within scenes, struggling to achieve comprehensive scene understanding. Meanwhile, existing LVLMs suffer from the lack of mapping relationship between 2D and 3D and insufficient integration of 3D object localization and instruction understanding. To tackle these limitations, we first introduce NuInteract, a large-scale dataset with over 1.5M multi-view image language pairs spanning dense scene captions and diverse interactive tasks. Furthermore, we propose DriveMonkey, a simple yet effective framework that seamlessly integrates LVLMs with a spatial processor using a series of learnable queries. The spatial processor, designed as a plug-and-play component, can be initialized with pre-trained 3D detectors to improve 3D perception. Our experiments show that DriveMonkey outperforms general LVLMs, especially achieving a 9.86% notable improvement on the 3D visual grounding task. The dataset and code will be released at https://github.com/zc-zhao/DriveMonkey.
Abstract:End-to-end (E2E) autonomous driving methods still struggle to make correct decisions in interactive closed-loop evaluation due to limited causal reasoning capability. Current methods attempt to leverage the powerful understanding and reasoning abilities of Vision-Language Models (VLMs) to resolve this dilemma. However, the problem is still open that few VLMs for E2E methods perform well in the closed-loop evaluation due to the gap between the semantic reasoning space and the purely numerical trajectory output in the action space. To tackle this issue, we propose ORION, a holistic E2E autonomous driving framework by vision-language instructed action generation. ORION uniquely combines a QT-Former to aggregate long-term history context, a Large Language Model (LLM) for driving scenario reasoning, and a generative planner for precision trajectory prediction. ORION further aligns the reasoning space and the action space to implement a unified E2E optimization for both visual question-answering (VQA) and planning tasks. Our method achieves an impressive closed-loop performance of 77.74 Driving Score (DS) and 54.62% Success Rate (SR) on the challenge Bench2Drive datasets, which outperforms state-of-the-art (SOTA) methods by a large margin of 14.28 DS and 19.61% SR.
Abstract:In recent years, data-driven techniques have greatly advanced autonomous driving systems, but the need for rare and diverse training data remains a challenge, requiring significant investment in equipment and labor. World models, which predict and generate future environmental states, offer a promising solution by synthesizing annotated video data for training. However, existing methods struggle to generate long, consistent videos without accumulating errors, especially in dynamic scenes. To address this, we propose MiLA, a novel framework for generating high-fidelity, long-duration videos up to one minute. MiLA utilizes a Coarse-to-Re(fine) approach to both stabilize video generation and correct distortion of dynamic objects. Additionally, we introduce a Temporal Progressive Denoising Scheduler and Joint Denoising and Correcting Flow modules to improve the quality of generated videos. Extensive experiments on the nuScenes dataset show that MiLA achieves state-of-the-art performance in video generation quality. For more information, visit the project website: https://github.com/xiaomi-mlab/mila.github.io.
Abstract:Estimating the 3D world from 2D monocular images is a fundamental yet challenging task due to the labour-intensive nature of 3D annotations. To simplify label acquisition, this work proposes a novel approach that bridges 2D vision foundation models (VFMs) with 3D tasks by decoupling 3D supervision into an ensemble of image-level primitives, e.g., semantic and geometric components. As a key motivator, we leverage the zero-shot capabilities of vision-language models for image semantics. However, due to the notorious ill-posed problem - multiple distinct 3D scenes can produce identical 2D projections, directly inferring metric depth from a monocular image in a zero-shot manner is unsuitable. In contrast, 2D VFMs provide promising sources of relative depth, which theoretically aligns with metric depth when properly scaled and offset. Thus, we adapt the relative depth derived from VFMs into metric depth by optimising the scale and offset using temporal consistency, also known as novel view synthesis, without access to ground-truth metric depth. Consequently, we project the semantics into 3D space using the reconstructed metric depth, thereby providing 3D supervision. Extensive experiments on nuScenes and SemanticKITTI demonstrate the effectiveness of our framework. For instance, the proposed method surpasses the current state-of-the-art by 3.34% mIoU on nuScenes for voxel occupancy prediction.




Abstract:Vision-centric 3D environment understanding is both vital and challenging for autonomous driving systems. Recently, object-free methods have attracted considerable attention. Such methods perceive the world by predicting the semantics of discrete voxel grids but fail to construct continuous and accurate obstacle surfaces. To this end, in this paper, we propose SurroundSDF to implicitly predict the signed distance field (SDF) and semantic field for the continuous perception from surround images. Specifically, we introduce a query-based approach and utilize SDF constrained by the Eikonal formulation to accurately describe the surfaces of obstacles. Furthermore, considering the absence of precise SDF ground truth, we propose a novel weakly supervised paradigm for SDF, referred to as the Sandwich Eikonal formulation, which emphasizes applying correct and dense constraints on both sides of the surface, thereby enhancing the perceptual accuracy of the surface. Experiments suggest that our method achieves SOTA for both occupancy prediction and 3D scene reconstruction tasks on the nuScenes dataset.




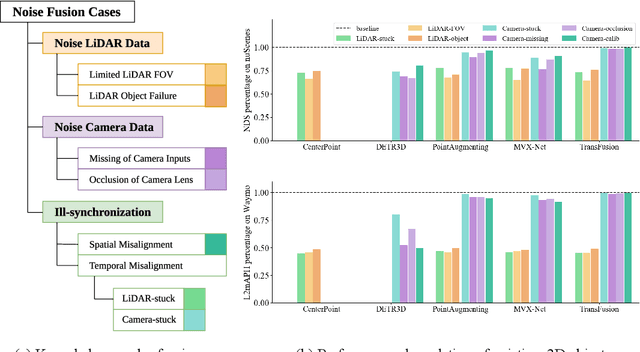
Abstract:There are two critical sensors for 3D perception in autonomous driving, the camera and the LiDAR. The camera provides rich semantic information such as color, texture, and the LiDAR reflects the 3D shape and locations of surrounding objects. People discover that fusing these two modalities can significantly boost the performance of 3D perception models as each modality has complementary information to the other. However, we observe that current datasets are captured from expensive vehicles that are explicitly designed for data collection purposes, and cannot truly reflect the realistic data distribution due to various reasons. To this end, we collect a series of real-world cases with noisy data distribution, and systematically formulate a robustness benchmark toolkit, that simulates these cases on any clean autonomous driving datasets. We showcase the effectiveness of our toolkit by establishing the robustness benchmark on two widely-adopted autonomous driving datasets, nuScenes and Waymo, then, to the best of our knowledge, holistically benchmark the state-of-the-art fusion methods for the first time. We observe that: i) most fusion methods, when solely developed on these data, tend to fail inevitably when there is a disruption to the LiDAR input; ii) the improvement of the camera input is significantly inferior to the LiDAR one. We further propose an efficient robust training strategy to improve the robustness of the current fusion method. The benchmark and code are available at https://github.com/kcyu2014/lidar-camera-robust-benchmark




Abstract:Fusing the camera and LiDAR information has become a de-facto standard for 3D object detection tasks. Current methods rely on point clouds from the LiDAR sensor as queries to leverage the feature from the image space. However, people discover that this underlying assumption makes the current fusion framework infeasible to produce any prediction when there is a LiDAR malfunction, regardless of minor or major. This fundamentally limits the deployment capability to realistic autonomous driving scenarios. In contrast, we propose a surprisingly simple yet novel fusion framework, dubbed BEVFusion, whose camera stream does not depend on the input of LiDAR data, thus addressing the downside of previous methods. We empirically show that our framework surpasses the state-of-the-art methods under the normal training settings. Under the robustness training settings that simulate various LiDAR malfunctions, our framework significantly surpasses the state-of-the-art methods by 15.7% to 28.9% mAP. To the best of our knowledge, we are the first to handle realistic LiDAR malfunction and can be deployed to realistic scenarios without any post-processing procedure. The code is available at https://github.com/ADLab-AutoDrive/BEVFusion.




Abstract:Knowledge distillation becomes a de facto standard to improve the performance of small neural networks. Most of the previous works propose to regress the representational features from the teacher to the student in a one-to-one spatial matching fashion. However, people tend to overlook the fact that, due to the architecture differences, the semantic information on the same spatial location usually vary. This greatly undermines the underlying assumption of the one-to-one distillation approach. To this end, we propose a novel one-to-all spatial matching knowledge distillation approach. Specifically, we allow each pixel of the teacher feature to be distilled to all spatial locations of the student features given its similarity, which is generated from a target-aware transformer. Our approach surpasses the state-of-the-art methods by a significant margin on various computer vision benchmarks, such as ImageNet, Pascal VOC and COCOStuff10k. Code will be released soon.


Abstract:Knowledge Distillation has shown very promising abil-ity in transferring learned representation from the largermodel (teacher) to the smaller one (student).Despitemany efforts, prior methods ignore the important role ofretaining inter-channel correlation of features, leading tothe lack of capturing intrinsic distribution of the featurespace and sufficient diversity properties of features in theteacher network.To solve the issue, we propose thenovel Inter-Channel Correlation for Knowledge Distillation(ICKD), with which the diversity and homology of the fea-ture space of the student network can align with that ofthe teacher network. The correlation between these twochannels is interpreted as diversity if they are irrelevantto each other, otherwise homology. Then the student isrequired to mimic the correlation within its own embed-ding space. In addition, we introduce the grid-level inter-channel correlation, making it capable of dense predictiontasks. Extensive experiments on two vision tasks, includ-ing ImageNet classification and Pascal VOC segmentation,demonstrate the superiority of our ICKD, which consis-tently outperforms many existing methods, advancing thestate-of-the-art in the fields of Knowledge Distillation. Toour knowledge, we are the first method based on knowl-edge distillation boosts ResNet18 beyond 72% Top-1 ac-curacy on ImageNet classification. Code is available at:https://github.com/ADLab-AutoDrive/ICKD.




Abstract:The inherent heavy computation of deep neural networks prevents their widespread applications. A widely used method for accelerating model inference is quantization, by replacing the input operands of a network using fixed-point values. Then the majority of computation costs focus on the integer matrix multiplication accumulation. In fact, high-bit accumulator leads to partially wasted computation and low-bit one typically suffers from numerical overflow. To address this problem, we propose an overflow aware quantization method by designing trainable adaptive fixed-point representation, to optimize the number of bits for each input tensor while prohibiting numeric overflow during the computation. With the proposed method, we are able to fully utilize the computing power to minimize the quantization loss and obtain optimized inference performance. To verify the effectiveness of our method, we conduct image classification, object detection, and semantic segmentation tasks on ImageNet, Pascal VOC, and COCO datasets, respectively. Experimental results demonstrate that the proposed method can achieve comparable performance with state-of-the-art quantization methods while accelerating the inference process by about 2 times.