



Abstract:Diffusion models have achieved great success in synthesizing high-quality images. However, generating high-resolution images with diffusion models is still challenging due to the enormous computational costs, resulting in a prohibitive latency for interactive applications. In this paper, we propose DistriFusion to tackle this problem by leveraging parallelism across multiple GPUs. Our method splits the model input into multiple patches and assigns each patch to a GPU. However, naively implementing such an algorithm breaks the interaction between patches and loses fidelity, while incorporating such an interaction will incur tremendous communication overhead. To overcome this dilemma, we observe the high similarity between the input from adjacent diffusion steps and propose displaced patch parallelism, which takes advantage of the sequential nature of the diffusion process by reusing the pre-computed feature maps from the previous timestep to provide context for the current step. Therefore, our method supports asynchronous communication, which can be pipelined by computation. Extensive experiments show that our method can be applied to recent Stable Diffusion XL with no quality degradation and achieve up to a 6.1$\times$ speedup on eight NVIDIA A100s compared to one. Our code is publicly available at https://github.com/mit-han-lab/distrifuser.




Abstract:Modern deep learning models have been exploited in various domains, including computer vision (CV), natural language processing (NLP), search and recommendation. In practical AI clusters, workloads training these models are run using software frameworks such as TensorFlow, Caffe, PyTorch and CNTK. One critical issue for efficiently operating practical AI clouds, is to characterize the computing and data transfer demands of these workloads, and more importantly, the training performance given the underlying software framework and hardware configurations. In this paper, we characterize deep learning training workloads from Platform of Artificial Intelligence (PAI) in Alibaba. We establish an analytical framework to investigate detailed execution time breakdown of various workloads using different training architectures, to identify performance bottleneck. Results show that weight/gradient communication during training takes almost 62% of the total execution time among all our workloads on average. The computation part, involving both GPU computing and memory access, are not the biggest bottleneck based on collective behavior of the workloads. We further evaluate attainable performance of the workloads on various potential software/hardware mappings, and explore implications on software architecture selection and hardware configurations. We identify that 60% of PS/Worker workloads can be potentially sped up when ported to the AllReduce architecture exploiting the high-speed NVLink for GPU interconnect, and on average 1.7X speedup can be achieved when Ethernet bandwidth is upgraded from 25 Gbps to 100 Gbps.




Abstract:This paper proposes an efficient neural network (NN) architecture design methodology called Chameleon that honors given resource constraints. Instead of developing new building blocks or using computationally-intensive reinforcement learning algorithms, our approach leverages existing efficient network building blocks and focuses on exploiting hardware traits and adapting computation resources to fit target latency and/or energy constraints. We formulate platform-aware NN architecture search in an optimization framework and propose a novel algorithm to search for optimal architectures aided by efficient accuracy and resource (latency and/or energy) predictors. At the core of our algorithm lies an accuracy predictor built atop Gaussian Process with Bayesian optimization for iterative sampling. With a one-time building cost for the predictors, our algorithm produces state-of-the-art model architectures on different platforms under given constraints in just minutes. Our results show that adapting computation resources to building blocks is critical to model performance. Without the addition of any bells and whistles, our models achieve significant accuracy improvements against state-of-the-art hand-crafted and automatically designed architectures. We achieve 73.8% and 75.3% top-1 accuracy on ImageNet at 20ms latency on a mobile CPU and DSP. At reduced latency, our models achieve up to 8.5% (4.8%) and 6.6% (9.3%) absolute top-1 accuracy improvements compared to MobileNetV2 and MnasNet, respectively, on a mobile CPU (DSP), and 2.7% (4.6%) and 5.6% (2.6%) accuracy gains over ResNet-101 and ResNet-152, respectively, on an Nvidia GPU (Intel CPU).




Abstract:Designing accurate and efficient ConvNets for mobile devices is challenging because the design space is combinatorially large. Due to this, previous neural architecture search (NAS) methods are computationally expensive. ConvNet architecture optimality depends on factors such as input resolution and target devices. However, existing approaches are too expensive for case-by-case redesigns. Also, previous work focuses primarily on reducing FLOPs, but FLOP count does not always reflect actual latency. To address these, we propose a differentiable neural architecture search (DNAS) framework that uses gradient-based methods to optimize ConvNet architectures, avoiding enumerating and training individual architectures separately as in previous methods. FBNets, a family of models discovered by DNAS surpass state-of-the-art models both designed manually and generated automatically. FBNet-B achieves 74.1% top-1 accuracy on ImageNet with 295M FLOPs and 23.1 ms latency on a Samsung S8 phone, 2.4x smaller and 1.5x faster than MobileNetV2-1.3 with similar accuracy. Despite higher accuracy and lower latency than MnasNet, we estimate FBNet-B's search cost is 420x smaller than MnasNet's, at only 216 GPU-hours. Searched for different resolutions and channel sizes, FBNets achieve 1.5% to 6.4% higher accuracy than MobileNetV2. The smallest FBNet achieves 50.2% accuracy and 2.9 ms latency (345 frames per second) on a Samsung S8. Over a Samsung-optimized FBNet, the iPhone-X-optimized model achieves a 1.4x speedup on an iPhone X.




Abstract:The application of deep learning techniques resulted in remarkable improvement of machine learning models. In this paper provides detailed characterizations of deep learning models used in many Facebook social network services. We present computational characteristics of our models, describe high performance optimizations targeting existing systems, point out their limitations and make suggestions for the future general-purpose/accelerated inference hardware. Also, we highlight the need for better co-design of algorithms, numerics and computing platforms to address the challenges of workloads often run in data centers.




Abstract:Deep learning thrives with large neural networks and large datasets. However, larger networks and larger datasets result in longer training times that impede research and development progress. Distributed synchronous SGD offers a potential solution to this problem by dividing SGD minibatches over a pool of parallel workers. Yet to make this scheme efficient, the per-worker workload must be large, which implies nontrivial growth in the SGD minibatch size. In this paper, we empirically show that on the ImageNet dataset large minibatches cause optimization difficulties, but when these are addressed the trained networks exhibit good generalization. Specifically, we show no loss of accuracy when training with large minibatch sizes up to 8192 images. To achieve this result, we adopt a hyper-parameter-free linear scaling rule for adjusting learning rates as a function of minibatch size and develop a new warmup scheme that overcomes optimization challenges early in training. With these simple techniques, our Caffe2-based system trains ResNet-50 with a minibatch size of 8192 on 256 GPUs in one hour, while matching small minibatch accuracy. Using commodity hardware, our implementation achieves ~90% scaling efficiency when moving from 8 to 256 GPUs. Our findings enable training visual recognition models on internet-scale data with high efficiency.

Abstract:Many applications of mobile deep learning, especially real-time computer vision workloads, are constrained by computation power. This is particularly true for workloads running on older consumer phones, where a typical device might be powered by a single- or dual-core ARMv7 CPU. We provide an open-source implementation and a comprehensive analysis of (to our knowledge) the state of the art ultra-low-precision (<4 bit precision) implementation of the core primitives required for modern deep learning workloads on ARMv7 devices, and demonstrate speedups of 4x-20x over our additional state-of-the-art float32 and int8 baselines.




Abstract:TensorFlow is an interface for expressing machine learning algorithms, and an implementation for executing such algorithms. A computation expressed using TensorFlow can be executed with little or no change on a wide variety of heterogeneous systems, ranging from mobile devices such as phones and tablets up to large-scale distributed systems of hundreds of machines and thousands of computational devices such as GPU cards. The system is flexible and can be used to express a wide variety of algorithms, including training and inference algorithms for deep neural network models, and it has been used for conducting research and for deploying machine learning systems into production across more than a dozen areas of computer science and other fields, including speech recognition, computer vision, robotics, information retrieval, natural language processing, geographic information extraction, and computational drug discovery. This paper describes the TensorFlow interface and an implementation of that interface that we have built at Google. The TensorFlow API and a reference implementation were released as an open-source package under the Apache 2.0 license in November, 2015 and are available at www.tensorflow.org.




Abstract:State-of-the-art results of semantic segmentation are established by Fully Convolutional neural Networks (FCNs). FCNs rely on cascaded convolutional and pooling layers to gradually enlarge the receptive fields of neurons, resulting in an indirect way of modeling the distant contextual dependence. In this work, we advocate the use of spatially recurrent layers (i.e. ReNet layers) which directly capture global contexts and lead to improved feature representations. We demonstrate the effectiveness of ReNet layers by building a Naive deep ReNet (N-ReNet), which achieves competitive performance on Stanford Background dataset. Furthermore, we integrate ReNet layers with FCNs, and develop a novel Hybrid deep ReNet (H-ReNet). It enjoys a few remarkable properties, including full-image receptive fields, end-to-end training, and efficient network execution. On the PASCAL VOC 2012 benchmark, the H-ReNet improves the results of state-of-the-art approaches Piecewise, CRFasRNN and DeepParsing by 3.6%, 2.3% and 0.2%, respectively, and achieves the highest IoUs for 13 out of the 20 object classes.




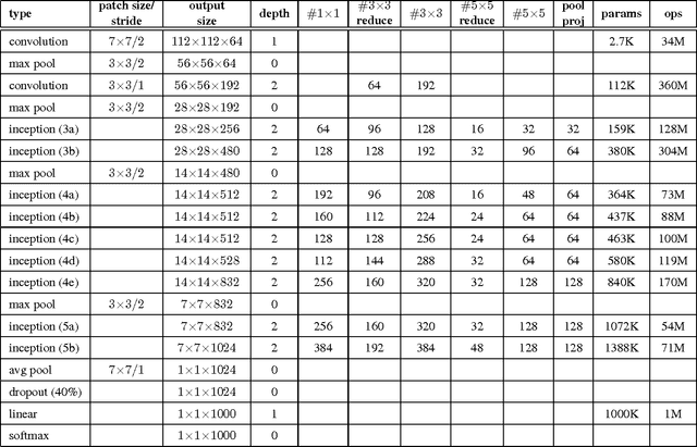
Abstract:We propose a deep convolutional neural network architecture codenamed "Inception", which was responsible for setting the new state of the art for classification and detection in the ImageNet Large-Scale Visual Recognition Challenge 2014 (ILSVRC 2014). The main hallmark of this architecture is the improved utilization of the computing resources inside the network. This was achieved by a carefully crafted design that allows for increasing the depth and width of the network while keeping the computational budget constant. To optimize quality, the architectural decisions were based on the Hebbian principle and the intuition of multi-scale processing. One particular incarnation used in our submission for ILSVRC 2014 is called GoogLeNet, a 22 layers deep network, the quality of which is assessed in the context of classification and detection.