Abstract:Autoformalization, which translates natural language mathematics into formal statements to enable machine reasoning, faces fundamental challenges in the wild due to the multimodal nature of the physical world, where physics requires inferring hidden constraints (e.g., mass or energy) from visual elements. To address this, we propose MMFormalizer, which extends autoformalization beyond text by integrating adaptive grounding with entities from real-world mathematical and physical domains. MMFormalizer recursively constructs formal propositions from perceptually grounded primitives through recursive grounding and axiom composition, with adaptive recursive termination ensuring that every abstraction is supported by visual evidence and anchored in dimensional or axiomatic grounding. We evaluate MMFormalizer on a new benchmark, PhyX-AF, comprising 115 curated samples from MathVerse, PhyX, Synthetic Geometry, and Analytic Geometry, covering diverse multimodal autoformalization tasks. Results show that frontier models such as GPT-5 and Gemini-3-Pro achieve the highest compile and semantic accuracy, with GPT-5 excelling in physical reasoning, while geometry remains the most challenging domain. Overall, MMFormalizer provides a scalable framework for unified multimodal autoformalization, bridging perception and formal reasoning. To the best of our knowledge, this is the first multimodal autoformalization method capable of handling classical mechanics (derived from the Hamiltonian), as well as relativity, quantum mechanics, and thermodynamics. More details are available on our project page: MMFormalizer.github.io




Abstract:Large language models have recently made significant progress to generate rigorous mathematical proofs. In contrast, utilizing LLMs for theorem proving in formal languages (such as Lean) remains challenging and computationally expensive, particularly when addressing problems at the undergraduate level and beyond. In this work, we present \textbf{Seed-Prover 1.5}, a formal theorem-proving model trained via large-scale agentic reinforcement learning, alongside an efficient test-time scaling (TTS) workflow. Through extensive interactions with Lean and other tools, the model continuously accumulates experience during the RL process, substantially enhancing the capability and efficiency of formal theorem proving. Furthermore, leveraging recent advancements in natural language proving, our TTS workflow efficiently bridges the gap between natural and formal languages. Compared to state-of-the-art methods, Seed-Prover 1.5 achieves superior performance with a smaller compute budget. It solves \textbf{88\% of PutnamBench} (undergraduate-level), \textbf{80\% of Fate-H} (graduate-level), and \textbf{33\% of Fate-X} (PhD-level) problems. Notably, using our system, we solved \textbf{11 out of 12 problems} from Putnam 2025 within 9 hours. Our findings suggest that scaling learning from experience, driven by high-quality formal feedback, holds immense potential for the future of formal mathematical reasoning.
Abstract:LLMs have demonstrated strong mathematical reasoning abilities by leveraging reinforcement learning with long chain-of-thought, yet they continue to struggle with theorem proving due to the lack of clear supervision signals when solely using natural language. Dedicated domain-specific languages like Lean provide clear supervision via formal verification of proofs, enabling effective training through reinforcement learning. In this work, we propose \textbf{Seed-Prover}, a lemma-style whole-proof reasoning model. Seed-Prover can iteratively refine its proof based on Lean feedback, proved lemmas, and self-summarization. To solve IMO-level contest problems, we design three test-time inference strategies that enable both deep and broad reasoning. Seed-Prover proves $78.1\%$ of formalized past IMO problems, saturates MiniF2F, and achieves over 50\% on PutnamBench, outperforming the previous state-of-the-art by a large margin. To address the lack of geometry support in Lean, we introduce a geometry reasoning engine \textbf{Seed-Geometry}, which outperforms previous formal geometry engines. We use these two systems to participate in IMO 2025 and fully prove 5 out of 6 problems. This work represents a significant advancement in automated mathematical reasoning, demonstrating the effectiveness of formal verification with long chain-of-thought reasoning.




Abstract:Formal mathematical reasoning remains a critical challenge for artificial intelligence, hindered by limitations of existing benchmarks in scope and scale. To address this, we present FormalMATH, a large-scale Lean4 benchmark comprising 5,560 formally verified problems spanning from high-school Olympiad challenges to undergraduate-level theorems across diverse domains (e.g., algebra, applied mathematics, calculus, number theory, and discrete mathematics). To mitigate the inefficiency of manual formalization, we introduce a novel human-in-the-loop autoformalization pipeline that integrates: (1) specialized large language models (LLMs) for statement autoformalization, (2) multi-LLM semantic verification, and (3) negation-based disproof filtering strategies using off-the-shelf LLM-based provers. This approach reduces expert annotation costs by retaining 72.09% of statements before manual verification while ensuring fidelity to the original natural-language problems. Our evaluation of state-of-the-art LLM-based theorem provers reveals significant limitations: even the strongest models achieve only 16.46% success rate under practical sampling budgets, exhibiting pronounced domain bias (e.g., excelling in algebra but failing in calculus) and over-reliance on simplified automation tactics. Notably, we identify a counterintuitive inverse relationship between natural-language solution guidance and proof success in chain-of-thought reasoning scenarios, suggesting that human-written informal reasoning introduces noise rather than clarity in the formal reasoning settings. We believe that FormalMATH provides a robust benchmark for benchmarking formal mathematical reasoning.




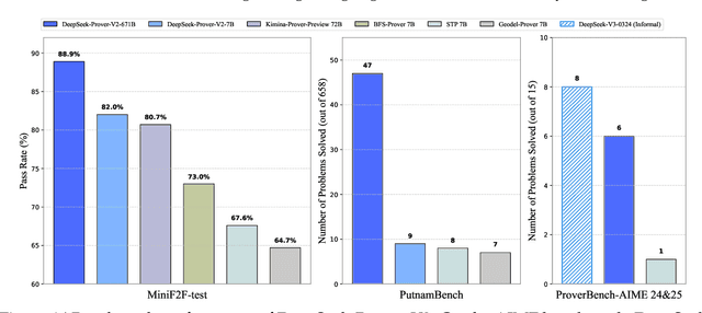
Abstract:We introduce DeepSeek-Prover-V2, an open-source large language model designed for formal theorem proving in Lean 4, with initialization data collected through a recursive theorem proving pipeline powered by DeepSeek-V3. The cold-start training procedure begins by prompting DeepSeek-V3 to decompose complex problems into a series of subgoals. The proofs of resolved subgoals are synthesized into a chain-of-thought process, combined with DeepSeek-V3's step-by-step reasoning, to create an initial cold start for reinforcement learning. This process enables us to integrate both informal and formal mathematical reasoning into a unified model. The resulting model, DeepSeek-Prover-V2-671B, achieves state-of-the-art performance in neural theorem proving, reaching 88.9% pass ratio on the MiniF2F-test and solving 49 out of 658 problems from PutnamBench. In addition to standard benchmarks, we introduce ProverBench, a collection of 325 formalized problems, to enrich our evaluation, including 15 selected problems from the recent AIME competitions (years 24-25). Further evaluation on these 15 AIME problems shows that the model successfully solves 6 of them. In comparison, DeepSeek-V3 solves 8 of these problems using majority voting, highlighting that the gap between formal and informal mathematical reasoning in large language models is substantially narrowing.
Abstract:Recent progress in large language models (LLMs) has shown promise in formal theorem proving, yet existing benchmarks remain limited to isolated, static proof tasks, failing to capture the iterative, engineering-intensive workflows of real-world formal mathematics libraries. Motivated by analogous advances in software engineering, we introduce the paradigm of Automated Proof Engineering (APE), which aims to automate proof engineering tasks such as feature addition, proof refactoring, and bug fixing using LLMs. To facilitate research in this direction, we present APE-Bench I, the first realistic benchmark built from real-world commit histories of Mathlib4, featuring diverse file-level tasks described in natural language and verified via a hybrid approach combining the Lean compiler and LLM-as-a-Judge. We further develop Eleanstic, a scalable parallel verification infrastructure optimized for proof checking across multiple versions of Mathlib. Empirical results on state-of-the-art LLMs demonstrate strong performance on localized edits but substantial degradation on handling complex proof engineering. This work lays the foundation for developing agentic workflows in proof engineering, with future benchmarks targeting multi-file coordination, project-scale verification, and autonomous agents capable of planning, editing, and repairing formal libraries.




Abstract:We present DeepSeek-V3, a strong Mixture-of-Experts (MoE) language model with 671B total parameters with 37B activated for each token. To achieve efficient inference and cost-effective training, DeepSeek-V3 adopts Multi-head Latent Attention (MLA) and DeepSeekMoE architectures, which were thoroughly validated in DeepSeek-V2. Furthermore, DeepSeek-V3 pioneers an auxiliary-loss-free strategy for load balancing and sets a multi-token prediction training objective for stronger performance. We pre-train DeepSeek-V3 on 14.8 trillion diverse and high-quality tokens, followed by Supervised Fine-Tuning and Reinforcement Learning stages to fully harness its capabilities. Comprehensive evaluations reveal that DeepSeek-V3 outperforms other open-source models and achieves performance comparable to leading closed-source models. Despite its excellent performance, DeepSeek-V3 requires only 2.788M H800 GPU hours for its full training. In addition, its training process is remarkably stable. Throughout the entire training process, we did not experience any irrecoverable loss spikes or perform any rollbacks. The model checkpoints are available at https://github.com/deepseek-ai/DeepSeek-V3.




Abstract:We introduce DeepSeek-Prover-V1.5, an open-source language model designed for theorem proving in Lean 4, which enhances DeepSeek-Prover-V1 by optimizing both training and inference processes. Pre-trained on DeepSeekMath-Base with specialization in formal mathematical languages, the model undergoes supervised fine-tuning using an enhanced formal theorem proving dataset derived from DeepSeek-Prover-V1. Further refinement is achieved through reinforcement learning from proof assistant feedback (RLPAF). Beyond the single-pass whole-proof generation approach of DeepSeek-Prover-V1, we propose RMaxTS, a variant of Monte-Carlo tree search that employs an intrinsic-reward-driven exploration strategy to generate diverse proof paths. DeepSeek-Prover-V1.5 demonstrates significant improvements over DeepSeek-Prover-V1, achieving new state-of-the-art results on the test set of the high school level miniF2F benchmark ($63.5\%$) and the undergraduate level ProofNet benchmark ($25.3\%$).




Abstract:Recent advances in automated theorem proving leverages language models to explore expanded search spaces by step-by-step proof generation. However, such approaches are usually based on short-sighted heuristics (e.g., log probability or value function scores) that potentially lead to suboptimal or even distracting subgoals, preventing us from finding longer proofs. To address this challenge, we propose POETRY (PrOvE Theorems RecursivelY), which proves theorems in a recursive, level-by-level manner in the Isabelle theorem prover. Unlike previous step-by-step methods, POETRY searches for a verifiable sketch of the proof at each level and focuses on solving the current level's theorem or conjecture. Detailed proofs of intermediate conjectures within the sketch are temporarily replaced by a placeholder tactic called sorry, deferring their proofs to subsequent levels. This approach allows the theorem to be tackled incrementally by outlining the overall theorem at the first level and then solving the intermediate conjectures at deeper levels. Experiments are conducted on the miniF2F and PISA datasets and significant performance gains are observed in our POETRY approach over state-of-the-art methods. POETRY on miniF2F achieves an average proving success rate improvement of 5.1%. Moreover, we observe a substantial increase in the maximum proof length found by POETRY, from 10 to 26.




Abstract:Proof assistants like Lean have revolutionized mathematical proof verification, ensuring high accuracy and reliability. Although large language models (LLMs) show promise in mathematical reasoning, their advancement in formal theorem proving is hindered by a lack of training data. To address this issue, we introduce an approach to generate extensive Lean 4 proof data derived from high-school and undergraduate-level mathematical competition problems. This approach involves translating natural language problems into formal statements, filtering out low-quality statements, and generating proofs to create synthetic data. After fine-tuning the DeepSeekMath 7B model on this synthetic dataset, which comprises 8 million formal statements with proofs, our model achieved whole-proof generation accuracies of 46.3% with 64 samples and 52% cumulatively on the Lean 4 miniF2F test, surpassing the baseline GPT-4 at 23.0% with 64 samples and a tree search reinforcement learning method at 41.0%. Additionally, our model successfully proved 5 out of 148 problems in the Lean 4 Formalized International Mathematical Olympiad (FIMO) benchmark, while GPT-4 failed to prove any. These results demonstrate the potential of leveraging large-scale synthetic data to enhance theorem-proving capabilities in LLMs. Both the synthetic dataset and the model will be made available to facilitate further research in this promising field.