



Abstract:Text-to-speech (TTS) synthesis has seen renewed progress under the discrete modeling paradigm. Existing autoregressive approaches often rely on single-codebook representations, which suffer from significant information loss. Even with post-hoc refinement techniques such as flow matching, these methods fail to recover fine-grained details (e.g., prosodic nuances, speaker-specific timbres), especially in challenging scenarios like singing voice or music synthesis. We propose QTTS, a novel TTS framework built upon our new audio codec, QDAC. The core innovation of QDAC lies in its end-to-end training of an ASR-based auto-regressive network with a GAN, which achieves superior semantic feature disentanglement for scalable, near-lossless compression. QTTS models these discrete codes using two innovative strategies: the Hierarchical Parallel architecture, which uses a dual-AR structure to model inter-codebook dependencies for higher-quality synthesis, and the Delay Multihead approach, which employs parallelized prediction with a fixed delay to accelerate inference speed. Our experiments demonstrate that the proposed framework achieves higher synthesis quality and better preserves expressive content compared to baseline. This suggests that scaling up compression via multi-codebook modeling is a promising direction for high-fidelity, general-purpose speech and audio generation.

Abstract:Recently, breakthroughs in the video diffusion transformer have shown remarkable capabilities in diverse motion generations. As for the motion-transfer task, current methods mainly use two-stage Low-Rank Adaptations (LoRAs) finetuning to obtain better performance. However, existing adaptation-based motion transfer still suffers from motion inconsistency and tuning inefficiency when applied to large video diffusion transformers. Naive two-stage LoRA tuning struggles to maintain motion consistency between generated and input videos due to the inherent spatial-temporal coupling in the 3D attention operator. Additionally, they require time-consuming fine-tuning processes in both stages. To tackle these issues, we propose Follow-Your-Motion, an efficient two-stage video motion transfer framework that finetunes a powerful video diffusion transformer to synthesize complex motion.Specifically, we propose a spatial-temporal decoupled LoRA to decouple the attention architecture for spatial appearance and temporal motion processing. During the second training stage, we design the sparse motion sampling and adaptive RoPE to accelerate the tuning speed. To address the lack of a benchmark for this field, we introduce MotionBench, a comprehensive benchmark comprising diverse motion, including creative camera motion, single object motion, multiple object motion, and complex human motion. We show extensive evaluations on MotionBench to verify the superiority of Follow-Your-Motion.

Abstract:Recently, the pretrain-finetune paradigm has become a cornerstone in various deep learning areas. While in general the pre-trained model would promote both effectiveness and efficiency of downstream tasks fine-tuning, studies have shown that not all knowledge acquired during pre-training is beneficial. Some of the knowledge may actually bring detrimental effects to the fine-tuning tasks, which is also known as negative transfer. To address this problem, graceful forgetting has emerged as a promising approach. The core principle of graceful forgetting is to enhance the learning plasticity of the target task by selectively discarding irrelevant knowledge. However, this approach remains underexplored in the context of generative language models, and it is often challenging to migrate existing forgetting algorithms to these models due to architecture incompatibility. To bridge this gap, in this paper we propose a novel framework, Learning With Forgetting (LWF), to achieve graceful forgetting in generative language models. With Fisher Information Matrix weighting the intended parameter updates, LWF computes forgetting confidence to evaluate self-generated knowledge regarding the forgetting task, and consequently, knowledge with high confidence is periodically unlearned during fine-tuning. Our experiments demonstrate that, although thoroughly uncovering the mechanisms of knowledge interaction remains challenging in pre-trained language models, applying graceful forgetting can contribute to enhanced fine-tuning performance.





Abstract:Facial personalization represents a crucial downstream task in the domain of text-to-image generation. To preserve identity fidelity while ensuring alignment with user-defined prompts, current mainstream frameworks for facial personalization predominantly employ identity embedding mechanisms to associate identity information with textual embeddings. However, our experiments show that identity embeddings compromise the effectiveness of other tokens within the prompt, thereby hindering high prompt consistency, particularly when prompts involve multiple facial attributes. Moreover, previous works overlook the fact that their corresponding foundation models hold great potential to generate faces aligning to prompts well and can be easily leveraged to cure these ill-aligned attributes in personalized models. Building upon these insights, we propose FreeCure, a training-free framework that harnesses the intrinsic knowledge from the foundation models themselves to improve the prompt consistency of personalization models. First, by extracting cross-attention and semantic maps from the denoising process of foundation models, we identify easily localized attributes (e.g., hair, accessories, etc). Second, we enhance multiple attributes in the outputs of personalization models through a novel noise-blending strategy coupled with an inversion-based process. Our approach offers several advantages: it eliminates the need for training; it effectively facilitates the enhancement for a wide array of facial attributes in a non-intrusive manner; and it can be seamlessly integrated into existing popular personalization models. FreeCure has demonstrated significant improvements in prompt consistency across a diverse set of state-of-the-art facial personalization models while maintaining the integrity of original identity fidelity.





Abstract:High-resolution inputs enable Large Vision-Language Models (LVLMs) to discern finer visual details, enhancing their comprehension capabilities. To reduce the training and computation costs caused by high-resolution input, one promising direction is to use sliding windows to slice the input into uniform patches, each matching the input size of the well-trained vision encoder. Although efficient, this slicing strategy leads to the fragmentation of original input, i.e., the continuity of contextual information and spatial geometry is lost across patches, adversely affecting performance in cross-patch context perception and position-specific tasks. To overcome these shortcomings, we introduce HiRes-LLaVA, a novel framework designed to efficiently process any size of high-resolution input without altering the original contextual and geometric information. HiRes-LLaVA comprises two innovative components: (i) a SliceRestore adapter that reconstructs sliced patches into their original form, efficiently extracting both global and local features via down-up-sampling and convolution layers, and (ii) a Self-Mining Sampler to compresses the vision tokens based on themselves, preserving the original context and positional information while reducing training overhead. To assess the ability of handling context fragmentation, we construct a new benchmark, EntityGrid-QA, consisting of edge-related and position-related tasks. Our comprehensive experiments demonstrate the superiority of HiRes-LLaVA on both existing public benchmarks and on EntityGrid-QA, particularly on document-oriented tasks, establishing new standards for handling high-resolution inputs.

Abstract:Deciphering visual content from functional Magnetic Resonance Imaging (fMRI) helps illuminate the human vision system. However, the scarcity of fMRI data and noise hamper brain decoding model performance. Previous approaches primarily employ subject-specific models, sensitive to training sample size. In this paper, we explore a straightforward but overlooked solution to address data scarcity. We propose shallow subject-specific adapters to map cross-subject fMRI data into unified representations. Subsequently, a shared deeper decoding model decodes cross-subject features into the target feature space. During training, we leverage both visual and textual supervision for multi-modal brain decoding. Our model integrates a high-level perception decoding pipeline and a pixel-wise reconstruction pipeline guided by high-level perceptions, simulating bottom-up and top-down processes in neuroscience. Empirical experiments demonstrate robust neural representation learning across subjects for both pipelines. Moreover, merging high-level and low-level information improves both low-level and high-level reconstruction metrics. Additionally, we successfully transfer learned general knowledge to new subjects by training new adapters with limited training data. Compared to previous state-of-the-art methods, notably pre-training-based methods (Mind-Vis and fMRI-PTE), our approach achieves comparable or superior results across diverse tasks, showing promise as an alternative method for cross-subject fMRI data pre-training. Our code and pre-trained weights will be publicly released at https://github.com/YulongBonjour/See_Through_Their_Minds.

Abstract:The distinction between humans and animals lies in the unique ability of humans to use and create tools. Tools empower humans to overcome physiological limitations, fostering the creation of magnificent civilizations. Similarly, enabling foundational models like Large Language Models (LLMs) with the capacity to learn external tool usage may serve as a pivotal step toward realizing artificial general intelligence. Previous studies in this field have predominantly pursued two distinct approaches to augment the tool invocation capabilities of LLMs. The first approach emphasizes the construction of relevant datasets for model fine-tuning. The second approach, in contrast, aims to fully exploit the inherent reasoning abilities of LLMs through in-context learning strategies. In this work, we introduce a novel tool invocation pipeline designed to control massive real-world APIs. This pipeline mirrors the human task-solving process, addressing complicated real-life user queries. At each step, we guide LLMs to summarize the achieved results and determine the next course of action. We term this pipeline `from Summary to action', Sum2Act for short. Empirical evaluations of our Sum2Act pipeline on the ToolBench benchmark show significant performance improvements, outperforming established methods like ReAct and DFSDT. This highlights Sum2Act's effectiveness in enhancing LLMs for complex real-world tasks.

Abstract:Reconstructing perceived natural images or decoding their categories from fMRI signals are challenging tasks with great scientific significance. Due to the lack of paired samples, most existing methods fail to generate semantically recognizable reconstruction and are difficult to generalize to novel classes. In this work, we propose, for the first time, a task-agnostic brain decoding model by unifying the visual stimulus classification and reconstruction tasks in a semantic space. We denote it as BrainCLIP, which leverages CLIP's cross-modal generalization ability to bridge the modality gap between brain activities, images, and texts. Specifically, BrainCLIP is a VAE-based architecture that transforms fMRI patterns into the CLIP embedding space by combining visual and textual supervision. Note that previous works rarely use multi-modal supervision for visual stimulus decoding. Our experiments demonstrate that textual supervision can significantly boost the performance of decoding models compared to the condition where only image supervision exists. BrainCLIP can be applied to multiple scenarios like fMRI-to-image generation, fMRI-image-matching, and fMRI-text-matching. Compared with BraVL, a recently proposed multi-modal method for fMRI-based brain decoding, BrainCLIP achieves significantly better performance on the novel class classification task. BrainCLIP also establishes a new state-of-the-art for fMRI-based natural image reconstruction in terms of high-level image features.





Abstract:Recently, transformer-based methods have made impressive progress in single-image super-resolu-tion (SR). However, these methods are difficult to apply to lightweight SR (LSR) due to the challenge of balancing model performance and complexity. In this paper, we propose an efficient striped window transformer (ESWT). ESWT consists of efficient transformation layers (ETLs), allowing a clean structure and avoiding redundant operations. Moreover, we designed a striped window mechanism to obtain a more efficient ESWT in modeling long-term dependencies. To further exploit the potential of the transformer, we propose a novel flexible window training strategy. Without any additional cost, this strategy can further improve the performance of ESWT. Extensive experiments show that the proposed method outperforms state-of-the-art transformer-based LSR methods with fewer parameters, faster inference, smaller FLOPs, and less memory consumption, achieving a better trade-off between model performance and complexity.





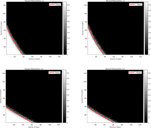
Abstract:This paper is concerned with the problem of recovering a structured signal from a relatively small number of corrupted random measurements. Sharp phase transitions have been numerically observed in practice when different convex programming procedures are used to solve this problem. This paper is devoted to presenting theoretical explanations for these phenomenons by employing some basic tools from Gaussian process theory. Specifically, we identify the precise locations of the phase transitions for both constrained and penalized recovery procedures. Our theoretical results show that these phase transitions are determined by some geometric measures of structure, e.g., the spherical Gaussian width of a tangent cone and the Gaussian (squared) distance to a scaled subdifferential. By utilizing the established phase transition theory, we further investigate the relationship between these two kinds of recovery procedures, which also reveals an optimal strategy (in the sense of Lagrange theory) for choosing the tradeoff parameter in the penalized recovery procedure. Numerical experiments are provided to verify our theoretical results.
