Abstract:The rapid progress of Multi-Modal Large Language Models (MLLMs) has spurred the creation of numerous benchmarks. However, conventional full-coverage Question-Answering evaluations suffer from high redundancy and low efficiency. Inspired by human interview processes, we propose a multi-to-one interview paradigm for efficient MLLM evaluation. Our framework consists of (i) a two-stage interview strategy with pre-interview and formal interview phases, (ii) dynamic adjustment of interviewer weights to ensure fairness, and (iii) an adaptive mechanism for question difficulty-level chosen. Experiments on different benchmarks show that the proposed paradigm achieves significantly higher correlation with full-coverage results than random sampling, with improvements of up to 17.6% in PLCC and 16.7% in SRCC, while reducing the number of required questions. These findings demonstrate that the proposed paradigm provides a reliable and efficient alternative for large-scale MLLM benchmarking.
Abstract:As foundation models grow rapidly in capability and deployment, evaluating their scientific understanding becomes increasingly critical. Existing science benchmarks have made progress towards broad **Range**, wide **Reach**, and high **Rigor**, yet they often face two major challenges: **data leakage risks** that compromise benchmarking validity, and **evaluation inefficiency** due to large-scale testing. To address these issues, we introduce the **Ever-Evolving Science Exam (EESE)**, a dynamic benchmark designed to reliably assess scientific capabilities in foundation models. Our approach consists of two components: 1) a non-public **EESE-Pool** with over 100K expertly constructed science instances (question-answer pairs) across 5 disciplines and 500+ subfields, built through a multi-stage pipeline ensuring **Range**, **Reach**, and **Rigor**, 2) a periodically updated 500-instance subset **EESE**, sampled and validated to enable leakage-resilient, low-overhead evaluations. Experiments on 32 open- and closed-source models demonstrate that EESE effectively differentiates the strengths and weaknesses of models in scientific fields and cognitive dimensions. Overall, EESE provides a robust, scalable, and forward-compatible solution for science benchmark design, offering a realistic measure of how well foundation models handle science questions. The project page is at: https://github.com/aiben-ch/EESE.
Abstract:Recent advancements in large language models (LLMs) have shifted focus toward scaling inference-time compute, improving performance without retraining the model. A common approach is to sample multiple outputs in parallel, and select one of these as the final output. However, work to date has focused on English and a handful of domains such as math and code. In contrast, we are most interested in techniques that generalize across open-ended tasks, formally verifiable tasks, and across languages. In this work, we study how to robustly scale inference-time compute for open-ended generative tasks in a multilingual, multi-task setting. Our findings show that both sampling strategy based on temperature variation and selection strategy must be adapted to account for diverse domains and varied language settings. We evaluate existing selection methods, revealing that strategies effective in English often fail to generalize across languages. We propose novel sampling and selection strategies specifically adapted for multilingual and multi-task inference scenarios, and show they yield notable gains across languages and tasks. In particular, our combined sampling and selection methods lead to an average +6.8 jump in win-rates for our 8B models on m-ArenaHard-v2.0 prompts, against proprietary models such as Gemini. At larger scale, Command-A (111B model) equipped with our methods, shows +9.0 improvement in win-rates on the same benchmark with just five samples against single-sample decoding, a substantial increase at minimal cost. Our results underscore the need for language- and task-aware approaches to inference-time compute, aiming to democratize performance improvements in underrepresented languages.
Abstract:In this report we describe the development of Command A, a powerful large language model purpose-built to excel at real-world enterprise use cases. Command A is an agent-optimised and multilingual-capable model, with support for 23 languages of global business, and a novel hybrid architecture balancing efficiency with top of the range performance. It offers best-in-class Retrieval Augmented Generation (RAG) capabilities with grounding and tool use to automate sophisticated business processes. These abilities are achieved through a decentralised training approach, including self-refinement algorithms and model merging techniques. We also include results for Command R7B which shares capability and architectural similarities to Command A. Weights for both models have been released for research purposes. This technical report details our original training pipeline and presents an extensive evaluation of our models across a suite of enterprise-relevant tasks and public benchmarks, demonstrating excellent performance and efficiency.

Abstract:With the rapid advancements in large language model (LLM) technology and the emergence of bioinformatics-specific language models (BioLMs), there is a growing need for a comprehensive analysis of the current landscape, computational characteristics, and diverse applications. This survey aims to address this need by providing a thorough review of BioLMs, focusing on their evolution, classification, and distinguishing features, alongside a detailed examination of training methodologies, datasets, and evaluation frameworks. We explore the wide-ranging applications of BioLMs in critical areas such as disease diagnosis, drug discovery, and vaccine development, highlighting their impact and transformative potential in bioinformatics. We identify key challenges and limitations inherent in BioLMs, including data privacy and security concerns, interpretability issues, biases in training data and model outputs, and domain adaptation complexities. Finally, we highlight emerging trends and future directions, offering valuable insights to guide researchers and clinicians toward advancing BioLMs for increasingly sophisticated biological and clinical applications.
Abstract:In this study, we introduce PharmacyGPT, a novel framework to assess the capabilities of large language models (LLMs) such as ChatGPT and GPT-4 in emulating the role of clinical pharmacists. Our methodology encompasses the utilization of LLMs to generate comprehensible patient clusters, formulate medication plans, and forecast patient outcomes. We conduct our investigation using real data acquired from the intensive care unit (ICU) at the University of North Carolina Chapel Hill (UNC) Hospital. Our analysis offers valuable insights into the potential applications and limitations of LLMs in the field of clinical pharmacy, with implications for both patient care and the development of future AI-driven healthcare solutions. By evaluating the performance of PharmacyGPT, we aim to contribute to the ongoing discourse surrounding the integration of artificial intelligence in healthcare settings, ultimately promoting the responsible and efficacious use of such technologies.




Abstract:In this pioneering study, inspired by AutoGPT, the state-of-the-art open-source application based on the GPT-4 large language model, we develop a novel tool called AD-AutoGPT which can conduct data collection, processing, and analysis about complex health narratives of Alzheimer's Disease in an autonomous manner via users' textual prompts. We collated comprehensive data from a variety of news sources, including the Alzheimer's Association, BBC, Mayo Clinic, and the National Institute on Aging since June 2022, leading to the autonomous execution of robust trend analyses, intertopic distance maps visualization, and identification of salient terms pertinent to Alzheimer's Disease. This approach has yielded not only a quantifiable metric of relevant discourse but also valuable insights into public focus on Alzheimer's Disease. This application of AD-AutoGPT in public health signifies the transformative potential of AI in facilitating a data-rich understanding of complex health narratives like Alzheimer's Disease in an autonomous manner, setting the groundwork for future AI-driven investigations in global health landscapes.




Abstract:In the new era of personalization, learning the heterogeneous treatment effect (HTE) becomes an inevitable trend with numerous applications. Yet, most existing HTE estimation methods focus on independently and identically distributed observations and cannot handle the non-stationarity and temporal dependency in the common panel data setting. The treatment evaluators developed for panel data, on the other hand, typically ignore the individualized information. To fill the gap, in this paper, we initialize the study of HTE estimation in panel data. Under different assumptions for HTE identifiability, we propose the corresponding heterogeneous one-side and two-side synthetic learner, namely H1SL and H2SL, by leveraging the state-of-the-art HTE estimator for non-panel data and generalizing the synthetic control method that allows flexible data generating process. We establish the convergence rates of the proposed estimators. The superior performance of the proposed methods over existing ones is demonstrated by extensive numerical studies.




Abstract:This paper is concerned with constructing a confidence interval for a target policy's value offline based on a pre-collected observational data in infinite horizon settings. Most of the existing works assume no unmeasured variables exist that confound the observed actions. This assumption, however, is likely to be violated in real applications such as healthcare and technological industries. In this paper, we show that with some auxiliary variables that mediate the effect of actions on the system dynamics, the target policy's value is identifiable in a confounded Markov decision process. Based on this result, we develop an efficient off-policy value estimator that is robust to potential model misspecification and provide rigorous uncertainty quantification. Our method is justified by theoretical results, simulated and real datasets obtained from ridesharing companies.




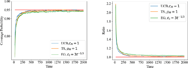
Abstract:Evaluating the performance of an ongoing policy plays a vital role in many areas such as medicine and economics, to provide crucial instruction on the early-stop of the online experiment and timely feedback from the environment. Policy evaluation in online learning thus attracts increasing attention by inferring the mean outcome of the optimal policy (i.e., the value) in real-time. Yet, such a problem is particularly challenging due to the dependent data generated in the online environment, the unknown optimal policy, and the complex exploration and exploitation trade-off in the adaptive experiment. In this paper, we aim to overcome these difficulties in policy evaluation for online learning. We explicitly derive the probability of exploration that quantifies the probability of exploring the non-optimal actions under commonly used bandit algorithms. We use this probability to conduct valid inference on the online conditional mean estimator under each action and develop the doubly robust interval estimation (DREAM) method to infer the value under the estimated optimal policy in online learning. The proposed value estimator provides double protection on the consistency and is asymptotically normal with a Wald-type confidence interval provided. Extensive simulations and real data applications are conducted to demonstrate the empirical validity of the proposed DREAM method.