



Abstract:Enhancing the safety of autonomous vehicles is crucial, especially given recent accidents involving automated systems. As passengers in these vehicles, humans' sensory perception and decision-making can be integrated with autonomous systems to improve safety. This study explores neural mechanisms in passenger-vehicle interactions, leading to the development of a Passenger Cognitive Model (PCM) and the Passenger EEG Decoding Strategy (PEDS). Central to PEDS is a novel Convolutional Recurrent Neural Network (CRNN) that captures spatial and temporal EEG data patterns. The CRNN, combined with stacking algorithms, achieves an accuracy of $85.0\% \pm 3.18\%$. Our findings highlight the predictive power of pre-event EEG data, enhancing the detection of hazardous scenarios and offering a network-driven framework for safer autonomous vehicles.




Abstract:Perception systems of autonomous vehicles are susceptible to occlusion, especially when examined from a vehicle-centric perspective. Such occlusion can lead to overlooked object detections, e.g., larger vehicles such as trucks or buses may create blind spots where cyclists or pedestrians could be obscured, accentuating the safety concerns associated with such perception system limitations. To mitigate these challenges, the vehicle-to-everything (V2X) paradigm suggests employing an infrastructure-side perception system (IPS) to complement autonomous vehicles with a broader perceptual scope. Nevertheless, the scarcity of real-world 3D infrastructure-side datasets constrains the advancement of V2X technologies. To bridge these gaps, this paper introduces a new 3D infrastructure-side collaborative perception dataset, abbreviated as inscope. Notably, InScope is the first dataset dedicated to addressing occlusion challenges by strategically deploying multiple-position Light Detection and Ranging (LiDAR) systems on the infrastructure side. Specifically, InScope encapsulates a 20-day capture duration with 303 tracking trajectories and 187,787 3D bounding boxes annotated by experts. Through analysis of benchmarks, four different benchmarks are presented for open traffic scenarios, including collaborative 3D object detection, multisource data fusion, data domain transfer, and 3D multiobject tracking tasks. Additionally, a new metric is designed to quantify the impact of occlusion, facilitating the evaluation of detection degradation ratios among various algorithms. The Experimental findings showcase the enhanced performance of leveraging InScope to assist in detecting and tracking 3D multiobjects in real-world scenarios, particularly in tracking obscured, small, and distant objects. The dataset and benchmarks are available at https://github.com/xf-zh/InScope.




Abstract:Given the complexity and lack of transparency in deep neural networks (DNNs), extensive efforts have been made to make these systems more interpretable or explain their behaviors in accessible terms. Unlike most reviews, which focus on algorithmic and model-centric perspectives, this work takes a "data-centric" view, examining how data collection, processing, and analysis contribute to explainable AI (XAI). We categorize existing work into three categories subject to their purposes: interpretations of deep models, referring to feature attributions and reasoning processes that correlate data points with model outputs; influences of training data, examining the impact of training data nuances, such as data valuation and sample anomalies, on decision-making processes; and insights of domain knowledge, discovering latent patterns and fostering new knowledge from data and models to advance social values and scientific discovery. Specifically, we distill XAI methodologies into data mining operations on training and testing data across modalities, such as images, text, and tabular data, as well as on training logs, checkpoints, models and other DNN behavior descriptors. In this way, our study offers a comprehensive, data-centric examination of XAI from a lens of data mining methods and applications.




Abstract:In recent years, privacy-preserving machine learning algorithms have attracted increasing attention because of their important applications in many scientific fields. However, in the literature, most privacy-preserving algorithms demand learning objectives to be strongly convex and Lipschitz smooth, which thus cannot cover a wide class of robust loss functions (e.g., quantile/least absolute loss). In this work, we aim to develop a fast privacy-preserving learning solution for a sparse robust regression problem. Our learning loss consists of a robust least absolute loss and an $\ell_1$ sparse penalty term. To fast solve the non-smooth loss under a given privacy budget, we develop a Fast Robust And Privacy-Preserving Estimation (FRAPPE) algorithm for least absolute deviation regression. Our algorithm achieves a fast estimation by reformulating the sparse LAD problem as a penalized least square estimation problem and adopts a three-stage noise injection to guarantee the $(\epsilon,\delta)$-differential privacy. We show that our algorithm can achieve better privacy and statistical accuracy trade-off compared with the state-of-the-art privacy-preserving regression algorithms. In the end, we conduct experiments to verify the efficiency of our proposed FRAPPE algorithm.




Abstract:Radar has stronger adaptability in adverse scenarios for autonomous driving environmental perception compared to widely adopted cameras and LiDARs. Compared with commonly used 3D radars, the latest 4D radars have precise vertical resolution and higher point cloud density, making it a highly promising sensor for autonomous driving in complex environmental perception. However, due to the much higher noise than LiDAR, manufacturers choose different filtering strategies, resulting in an inverse ratio between noise level and point cloud density. There is still a lack of comparative analysis on which method is beneficial for deep learning-based perception algorithms in autonomous driving. One of the main reasons is that current datasets only adopt one type of 4D radar, making it difficult to compare different 4D radars in the same scene. Therefore, in this paper, we introduce a novel large-scale multi-modal dataset featuring, for the first time, two types of 4D radars captured simultaneously. This dataset enables further research into effective 4D radar perception algorithms.Our dataset consists of 151 consecutive series, most of which last 20 seconds and contain 10,007 meticulously synchronized and annotated frames. Moreover, our dataset captures a variety of challenging driving scenarios, including many road conditions, weather conditions, nighttime and daytime with different lighting intensities and periods. Our dataset annotates consecutive frames, which can be applied to 3D object detection and tracking, and also supports the study of multi-modal tasks. We experimentally validate our dataset, providing valuable results for studying different types of 4D radars. This dataset is released on https://github.com/adept-thu/Dual-Radar.
Abstract:Large language models (LLMs) have become phenomenally surging, since 2018--two decades after introducing context-awareness into computing systems. Through taking into account the situations of ubiquitous devices, users and the societies, context-aware computing has enabled a wide spectrum of innovative applications, such as assisted living, location-based social network services and so on. To recognize contexts and make decisions for actions accordingly, various artificial intelligence technologies, such as Ontology and OWL, have been adopted as representations for context modeling and reasoning. Recently, with the rise of LLMs and their improved natural language understanding and reasoning capabilities, it has become feasible to model contexts using natural language and perform context reasoning by interacting with LLMs such as ChatGPT and GPT-4. In this tutorial, we demonstrate the use of texts, prompts, and autonomous agents (AutoAgents) that enable LLMs to perform context modeling and reasoning without requiring fine-tuning of the model. We organize and introduce works in the related field, and name this computing paradigm as the LLM-driven Context-aware Computing (LCaC). In the LCaC paradigm, users' requests, sensors reading data, and the command to actuators are supposed to be represented as texts. Given the text of users' request and sensor data, the AutoAgent models the context by prompting and sends to the LLM for context reasoning. LLM generates a plan of actions and responds to the AutoAgent, which later follows the action plan to foster context-awareness. To prove the concepts, we use two showcases--(1) operating a mobile z-arm in an apartment for assisted living, and (2) planning a trip and scheduling the itinerary in a context-aware and personalized manner.
Abstract:A prevalent limitation of optimizing over a single objective is that it can be misguided, becoming trapped in local optimum. This can be rectified by Quality-Diversity (QD) algorithms, where a population of high-quality and diverse solutions to a problem is preferred. Most conventional QD approaches, for example, MAP-Elites, explicitly manage a behavioral archive where solutions are broken down into predefined niches. In this work, we show that a diverse population of solutions can be found without the limitation of needing an archive or defining the range of behaviors in advance. Instead, we break down solutions into independently evolving species and use unsupervised skill discovery to learn diverse, high-performing solutions. We show that this can be done through gradient-based mutations that take on an information theoretic perspective of jointly maximizing mutual information and performance. We propose Diverse Quality Species (DQS) as an alternative to archive-based QD algorithms. We evaluate it over several simulated robotic environments and show that it can learn a diverse set of solutions from varying species. Furthermore, our results show that DQS is more sample-efficient and performant when compared to other QD algorithms. Relevant code and hyper-parameters are available at: https://github.com/rwickman/NEAT_RL.




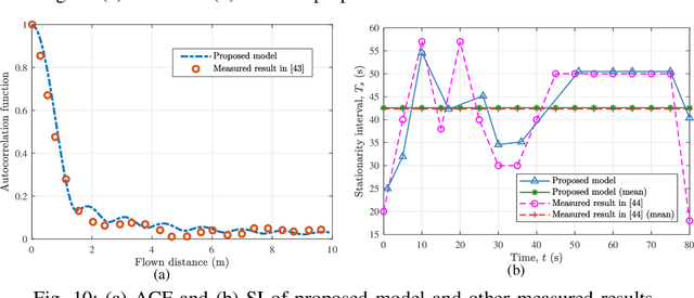
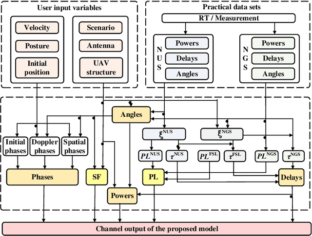
Abstract:Unmanned aerial vehicle (UAV)-to-ground (U2G) channel models play a pivotal role for reliable communications between UAV and ground terminal. This paper proposes a three-dimensional (3D) non-stationary hybrid model including both large-scale and small-scale fading for U2G multiple-input-multiple-output (MIMO) channels. Distinctive channel characteristics under U2G scenarios, i.e., 3D trajectory and posture of UAV, fuselage scattering effect (FSE), and posture variation fading (PVF), are incorporated into the proposed model. The channel parameters, i.e., path loss (PL), shadow fading (SF), path delay, and path angle, are generated incorporating machine learning (ML) and ray tracing (RT) techniques to capture the structure-related characteristics. In order to guarantee the physical continuity of channel parameters such as Doppler phase and path power, the time evolution methods of inter- and intra- stationary intervals are proposed. Key statistical properties , i.e., temporal autocorrection function (ACF), power delay profile (PDP), level crossing rate (LCR), average fading duration (AFD), and stationary interval (SI) are given, and the impact of the change of fuselage and posture variation is analyzed. It is demonstrated that both posture variation and fuselage scattering have crucial effects on channel characteristics. The validity and practicability of the proposed model are verified by comparing the simulation results with the measured ones.
![Figure 1 for Learning-Based Data Storage [Vision] (Technical Report)](/_next/image?url=https%3A%2F%2Fai2-s2-public.s3.amazonaws.com%2Ffigures%2F2017-08-08%2F7ebaa9fb3bbf7d6896257878b95e2df3e574d62d%2F2-Figure1-1.png&w=640&q=75)
![Figure 2 for Learning-Based Data Storage [Vision] (Technical Report)](/_next/image?url=https%3A%2F%2Fai2-s2-public.s3.amazonaws.com%2Ffigures%2F2017-08-08%2F7ebaa9fb3bbf7d6896257878b95e2df3e574d62d%2F3-Table1-1.png&w=640&q=75)
![Figure 3 for Learning-Based Data Storage [Vision] (Technical Report)](/_next/image?url=https%3A%2F%2Fai2-s2-public.s3.amazonaws.com%2Ffigures%2F2017-08-08%2F7ebaa9fb3bbf7d6896257878b95e2df3e574d62d%2F3-Figure2-1.png&w=640&q=75)
![Figure 4 for Learning-Based Data Storage [Vision] (Technical Report)](/_next/image?url=https%3A%2F%2Fai2-s2-public.s3.amazonaws.com%2Ffigures%2F2017-08-08%2F7ebaa9fb3bbf7d6896257878b95e2df3e574d62d%2F3-Figure3-1.png&w=640&q=75)
Abstract:Deep neural network (DNN) and its variants have been extensively used for a wide spectrum of real applications such as image classification, face/speech recognition, fraud detection, and so on. In addition to many important machine learning tasks, as artificial networks emulating the way brain cells function, DNNs also show the capability of storing non-linear relationships between input and output data, which exhibits the potential of storing data via DNNs. We envision a new paradigm of data storage, "DNN-as-a-Database", where data are encoded in well-trained machine learning models. Compared with conventional data storage that directly records data in raw formats, learning-based structures (e.g., DNN) can implicitly encode data pairs of inputs and outputs and compute/materialize actual output data of different resolutions only if input data are provided. This new paradigm can greatly enhance the data security by allowing flexible data privacy settings on different levels, achieve low space consumption and fast computation with the acceleration of new hardware (e.g., Diffractive Neural Network and AI chips), and can be generalized to distributed DNN-based storage/computing. In this paper, we propose this novel concept of learning-based data storage, which utilizes a learning structure called learning-based memory unit (LMU), to store, organize, and retrieve data. As a case study, we use DNNs as the engine in the LMU, and study the data capacity and accuracy of the DNN-based data storage. Our preliminary experimental results show the feasibility of the learning-based data storage by achieving high (100%) accuracy of the DNN storage. We explore and design effective solutions to utilize the DNN-based data storage to manage and query relational tables. We discuss how to generalize our solutions to other data types (e.g., graphs) and environments such as distributed DNN storage/computing.




Abstract:Edge intelligence is anticipated to underlay the pathway to connected intelligence for 6G networks, but the organic confluence of edge computing and artificial intelligence still needs to be carefully treated. To this end, this article discusses the concepts of edge intelligence from the semantic cognitive perspective. Two instructive theoretical models for edge semantic cognitive intelligence (ESCI) are first established. Afterwards, the ESCI framework orchestrating deep learning with semantic communication is discussed. Two representative applications are present to shed light on the prospect of ESCI in 6G networks. Some open problems are finally listed to elicit the future research directions of ESCI.