Abstract:Model merging aims to integrate the strengths of multiple fine-tuned models into a unified model while preserving task-specific capabilities. Existing methods, represented by task arithmetic, are typically classified into global- and local-aware methods. However, global-aware methods inevitably cause parameter interference, while local-aware methods struggle to maintain the effectiveness of task-specific details in the merged model. To address these limitations, we propose a Consensus-Aware Localized Merging (CALM) method which incorporates localized information aligned with global task consensus, ensuring its effectiveness post-merging. CALM consists of three key components: (1) class-balanced entropy minimization sampling, providing a more flexible and reliable way to leverage unsupervised data; (2) an efficient-aware framework, selecting a small set of tasks for sequential merging with high scalability; (3) a consensus-aware mask optimization, aligning localized binary masks with global task consensus and merging them conflict-free. Experiments demonstrate the superiority and robustness of our CALM, significantly outperforming existing methods and achieving performance close to traditional MTL.




Abstract:Deep networks are prone to catastrophic forgetting during sequential task learning, i.e., losing the knowledge about old tasks upon learning new tasks. To this end, continual learning(CL) has emerged, whose existing methods focus mostly on regulating or protecting the parameters associated with the previous tasks. However, parameter protection is often impractical, since the size of parameters for storing the old-task knowledge increases linearly with the number of tasks, otherwise it is hard to preserve the parameters related to the old-task knowledge. In this work, we bring a dual opinion from neuroscience and physics to CL: in the whole networks, the pathways matter more than the parameters when concerning the knowledge acquired from the old tasks. Following this opinion, we propose a novel CL framework, learning without isolation(LwI), where model fusion is formulated as graph matching and the pathways occupied by the old tasks are protected without being isolated. Thanks to the sparsity of activation channels in a deep network, LwI can adaptively allocate available pathways for a new task, realizing pathway protection and addressing catastrophic forgetting in a parameter-efficient manner. Experiments on popular benchmark datasets demonstrate the superiority of the proposed LwI.




Abstract:Recent years have witnessed a burgeoning interest in federated learning (FL). However, the contexts in which clients engage in sequential learning remain under-explored. Bridging FL and continual learning (CL) gives rise to a challenging practical problem: federated continual learning (FCL). Existing research in FCL primarily focuses on mitigating the catastrophic forgetting issue of continual learning while collaborating with other clients. We argue that the forgetting phenomena are not invariably detrimental. In this paper, we consider a more practical and challenging FCL setting characterized by potentially unrelated or even antagonistic data/tasks across different clients. In the FL scenario, statistical heterogeneity and data noise among clients may exhibit spurious correlations which result in biased feature learning. While existing CL strategies focus on a complete utilization of previous knowledge, we found that forgetting biased information is beneficial in our study. Therefore, we propose a new concept accurate forgetting (AF) and develop a novel generative-replay method~\method~which selectively utilizes previous knowledge in federated networks. We employ a probabilistic framework based on a normalizing flow model to quantify the credibility of previous knowledge. Comprehensive experiments affirm the superiority of our method over baselines.
Abstract:Federated recommendation aims to collect global knowledge by aggregating local models from massive devices, to provide recommendations while ensuring privacy. Current methods mainly leverage aggregation functions invented by federated vision community to aggregate parameters from similar clients, e.g., clustering aggregation. Despite considerable performance, we argue that it is suboptimal to apply them to federated recommendation directly. This is mainly reflected in the disparate model architectures. Different from structured parameters like convolutional neural networks in federated vision, federated recommender models usually distinguish itself by employing one-to-one item embedding table. Such a discrepancy induces the challenging embedding skew issue, which continually updates the trained embeddings but ignores the non-trained ones during aggregation, thus failing to predict future items accurately. To this end, we propose a personalized Federated recommendation model with Composite Aggregation (FedCA), which not only aggregates similar clients to enhance trained embeddings, but also aggregates complementary clients to update non-trained embeddings. Besides, we formulate the overall learning process into a unified optimization algorithm to jointly learn the similarity and complementarity. Extensive experiments on several real-world datasets substantiate the effectiveness of our proposed model. The source codes are available at https://github.com/hongleizhang/FedCA.




Abstract:In mobile and IoT systems, Federated Learning (FL) is increasingly important for effectively using data while maintaining user privacy. One key challenge in FL is managing statistical heterogeneity, such as non-i.i.d. data, arising from numerous clients and diverse data sources. This requires strategic cooperation, often with clients having similar characteristics. However, we are interested in a fundamental question: does achieving optimal cooperation necessarily entail cooperating with the most similar clients? Typically, significant model performance improvements are often realized not by partnering with the most similar models, but through leveraging complementary data. Our theoretical and empirical analyses suggest that optimal cooperation is achieved by enhancing complementarity in feature distribution while restricting the disparity in the correlation between features and targets. Accordingly, we introduce a novel framework, \texttt{FedSaC}, which balances similarity and complementarity in FL cooperation. Our framework aims to approximate an optimal cooperation network for each client by optimizing a weighted sum of model similarity and feature complementarity. The strength of \texttt{FedSaC} lies in its adaptability to various levels of data heterogeneity and multimodal scenarios. Our comprehensive unimodal and multimodal experiments demonstrate that \texttt{FedSaC} markedly surpasses other state-of-the-art FL methods.




Abstract:Algorithmic fairness has been a serious concern and received lots of interest in machine learning community. In this paper, we focus on the bipartite ranking scenario, where the instances come from either the positive or negative class and the goal is to learn a ranking function that ranks positive instances higher than negative ones. While there could be a trade-off between fairness and performance, we propose a model agnostic post-processing framework xOrder for achieving fairness in bipartite ranking and maintaining the algorithm classification performance. In particular, we optimize a weighted sum of the utility as identifying an optimal warping path across different protected groups and solve it through a dynamic programming process. xOrder is compatible with various classification models and ranking fairness metrics, including supervised and unsupervised fairness metrics. In addition to binary groups, xOrder can be applied to multiple protected groups. We evaluate our proposed algorithm on four benchmark data sets and two real-world patient electronic health record repositories. xOrder consistently achieves a better balance between the algorithm utility and ranking fairness on a variety of datasets with different metrics. From the visualization of the calibrated ranking scores, xOrder mitigates the score distribution shifts of different groups compared with baselines. Moreover, additional analytical results verify that xOrder achieves a robust performance when faced with fewer samples and a bigger difference between training and testing ranking score distributions.




Abstract:Selection bias is prevalent in the data for training and evaluating recommendation systems with explicit feedback. For example, users tend to rate items they like. However, when rating an item concerning a specific user, most of the recommendation algorithms tend to rely too much on his/her rating (feedback) history. This introduces implicit bias on the recommendation system, which is referred to as user feedback-loop bias in this paper. We propose a systematic and dynamic way to correct such bias and to obtain more diverse and objective recommendations by utilizing temporal rating information. Specifically, our method includes a deep-learning component to learn each user's dynamic rating history embedding for the estimation of the probability distribution of the items that the user rates sequentially. These estimated dynamic exposure probabilities are then used as propensity scores to train an inverse-propensity-scoring (IPS) rating predictor. We empirically validated the existence of such user feedback-loop bias in real world recommendation systems and compared the performance of our method with the baseline models that are either without de-biasing or with propensity scores estimated by other methods. The results show the superiority of our approach.




Abstract:In this paper, we focus on effective learning over a collaborative research network involving multiple clients. Each client has its own sample population which may not be shared with other clients due to privacy concerns. The goal is to learn a model for each client, which behaves better than the one learned from its own data, through secure collaborations with other clients in the network. Due to the discrepancies of the sample distributions across different clients, it is not necessarily that collaborating with everyone will lead to the best local models. We propose a learning to collaborate framework, where each client can choose to collaborate with certain members in the network to achieve a "collaboration equilibrium", where smaller collaboration coalitions are formed within the network so that each client can obtain the model with the best utility. We propose the concept of benefit graph which describes how each client can benefit from collaborating with other clients and develop a Pareto optimization approach to obtain it. Finally the collaboration coalitions can be derived from it based on graph operations. Our framework provides a new way of setting up collaborations in a research network. Experiments on both synthetic and real world data sets are provided to demonstrate the effectiveness of our method.




Abstract:Federated learning (FL) has gain growing interests for its capability of learning from distributed data sources collectively without the need of accessing the raw data samples across different sources. So far FL research has mostly focused on improving the performance, how the algorithmic disparity will be impacted for the model learned from FL and the impact of algorithmic disparity on the utility inconsistency are largely unexplored. In this paper, we propose an FL framework to jointly consider performance consistency and algorithmic fairness across different local clients (data sources). We derive our framework from a constrained multi-objective optimization perspective, in which we learn a model satisfying fairness constraints on all clients with consistent performance. Specifically, we treat the algorithm prediction loss at each local client as an objective and maximize the worst-performing client with fairness constraints through optimizing a surrogate maximum function with all objectives involved. A gradient-based procedure is employed to achieve the Pareto optimality of this optimization problem. Theoretical analysis is provided to prove that our method can converge to a Pareto solution that achieves the min-max performance with fairness constraints on all clients. Comprehensive experiments on synthetic and real-world datasets demonstrate the superiority that our approach over baselines and its effectiveness in achieving both fairness and consistency across all local clients.




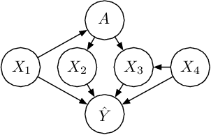
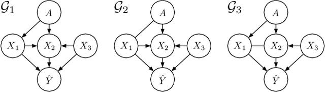
Abstract:Algorithmic fairness has aroused considerable interests in data mining and machine learning communities recently. So far the existing research has been mostly focusing on the development of quantitative metrics to measure algorithm disparities across different protected groups, and approaches for adjusting the algorithm output to reduce such disparities. In this paper, we propose to study the problem of identification of the source of model disparities. Unlike existing interpretation methods which typically learn feature importance, we consider the causal relationships among feature variables and propose a novel framework to decompose the disparity into the sum of contributions from fairness-aware causal paths, which are paths linking the sensitive attribute and the final predictions, on the graph. We also consider the scenario when the directions on certain edges within those paths cannot be determined. Our framework is also model agnostic and applicable to a variety of quantitative disparity measures. Empirical evaluations on both synthetic and real-world data sets are provided to show that our method can provide precise and comprehensive explanations to the model disparities.