



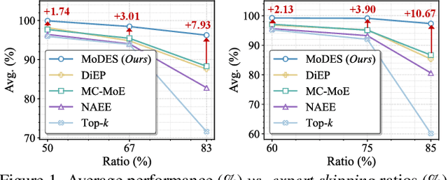
Abstract:Mixture-of-Experts (MoE) Multimodal large language models (MLLMs) excel at vision-language tasks, but they suffer from high computational inefficiency. To reduce inference overhead, expert skipping methods have been proposed to deactivate redundant experts based on the current input tokens. However, we find that applying these methods-originally designed for unimodal large language models (LLMs)-to MLLMs results in considerable performance degradation. This is primarily because such methods fail to account for the heterogeneous contributions of experts across MoE layers and modality-specific behaviors of tokens within these layers. Motivated by these findings, we propose MoDES, the first training-free framework that adaptively skips experts to enable efficient and accurate MoE MLLM inference. It incorporates a globally-modulated local gating (GMLG) mechanism that integrates global layer-wise importance into local routing probabilities to accurately estimate per-token expert importance. A dual-modality thresholding (DMT) method is then applied, which processes tokens from each modality separately, to derive the skipping schedule. To set the optimal thresholds, we introduce a frontier search algorithm that exploits monotonicity properties, cutting convergence time from several days to a few hours. Extensive experiments for 3 model series across 13 benchmarks demonstrate that MoDES far outperforms previous approaches. For instance, when skipping 88% experts for Qwen3-VL-MoE-30B-A3B-Instruct, the performance boost is up to 10.67% (97.33% vs. 86.66%). Furthermore, MoDES significantly enhances inference speed, improving the prefilling time by 2.16$\times$ and the decoding time by 1.26$\times$.




Abstract:Distribution Matching Distillation (DMD) distills score-based generative models into efficient one-step generators, without requiring a one-to-one correspondence with the sampling trajectories of their teachers. However, limited model capacity causes one-step distilled models underperform on complex generative tasks, e.g., synthesizing intricate object motions in text-to-video generation. Directly extending DMD to multi-step distillation increases memory usage and computational depth, leading to instability and reduced efficiency. While prior works propose stochastic gradient truncation as a potential solution, we observe that it substantially reduces the generation diversity of multi-step distilled models, bringing it down to the level of their one-step counterparts. To address these limitations, we propose Phased DMD, a multi-step distillation framework that bridges the idea of phase-wise distillation with Mixture-of-Experts (MoE), reducing learning difficulty while enhancing model capacity. Phased DMD is built upon two key ideas: progressive distribution matching and score matching within subintervals. First, our model divides the SNR range into subintervals, progressively refining the model to higher SNR levels, to better capture complex distributions. Next, to ensure the training objective within each subinterval is accurate, we have conducted rigorous mathematical derivations. We validate Phased DMD by distilling state-of-the-art image and video generation models, including Qwen-Image (20B parameters) and Wan2.2 (28B parameters). Experimental results demonstrate that Phased DMD preserves output diversity better than DMD while retaining key generative capabilities. We will release our code and models.
Abstract:Large Vision-Language Models (VLMs) exhibit impressive multi-modal capabilities but suffer from prohibitive computational and memory demands, due to their long visual token sequences and massive parameter sizes. To address these issues, recent works have proposed training-free compression methods. However, existing efforts often suffer from three major limitations: (1) Current approaches do not decompose techniques into comparable modules, hindering fair evaluation across spatial and temporal redundancy. (2) Evaluation confined to simple single-turn tasks, failing to reflect performance in realistic scenarios. (3) Isolated use of individual compression techniques, without exploring their joint potential. To overcome these gaps, we introduce LLMC+, a comprehensive VLM compression benchmark with a versatile, plug-and-play toolkit. LLMC+ supports over 20 algorithms across five representative VLM families and enables systematic study of token-level and model-level compression. Our benchmark reveals that: (1) Spatial and temporal redundancies demand distinct technical strategies. (2) Token reduction methods degrade significantly in multi-turn dialogue and detail-sensitive tasks. (3) Combining token and model compression achieves extreme compression with minimal performance loss. We believe LLMC+ will facilitate fair evaluation and inspire future research in efficient VLM. Our code is available at https://github.com/ModelTC/LightCompress.
Abstract:Video matting is crucial for applications such as film production and virtual reality, yet deploying its computationally intensive models on resource-constrained devices presents challenges. Quantization is a key technique for model compression and acceleration. As an efficient approach, Post-Training Quantization (PTQ) is still in its nascent stages for video matting, facing significant hurdles in maintaining accuracy and temporal coherence. To address these challenges, this paper proposes a novel and general PTQ framework specifically designed for video matting models, marking, to the best of our knowledge, the first systematic attempt in this domain. Our contributions include: (1) A two-stage PTQ strategy that combines block-reconstruction-based optimization for fast, stable initial quantization and local dependency capture, followed by a global calibration of quantization parameters to minimize accuracy loss. (2) A Statistically-Driven Global Affine Calibration (GAC) method that enables the network to compensate for cumulative statistical distortions arising from factors such as neglected BN layer effects, even reducing the error of existing PTQ methods on video matting tasks up to 20%. (3) An Optical Flow Assistance (OFA) component that leverages temporal and semantic priors from frames to guide the PTQ process, enhancing the model's ability to distinguish moving foregrounds in complex scenes and ultimately achieving near full-precision performance even under ultra-low-bit quantization. Comprehensive quantitative and visual results show that our PTQ4VM achieves the state-of-the-art accuracy performance across different bit-widths compared to the existing quantization methods. We highlight that the 4-bit PTQ4VM even achieves performance close to the full-precision counterpart while enjoying 8x FLOP savings.
Abstract:Extensive LLM applications demand efficient structured generations, particularly for LR(1) grammars, to produce outputs in specified formats (e.g., JSON). Existing methods primarily parse LR(1) grammars into a pushdown automaton (PDA), leading to runtime execution overhead for context-dependent token processing, especially inefficient under large inference batches. To address these issues, we propose Pre$^3$ that exploits deterministic pushdown automata (DPDA) to optimize the constrained LLM decoding efficiency. First, by precomputing prefix-conditioned edges during the preprocessing, Pre$^3$ enables ahead-of-time edge analysis and thus makes parallel transition processing possible. Second, by leveraging the prefix-conditioned edges, Pre$^3$ introduces a novel approach that transforms LR(1) transition graphs into DPDA, eliminating the need for runtime path exploration and achieving edge transitions with minimal overhead. Pre$^3$ can be seamlessly integrated into standard LLM inference frameworks, reducing time per output token (TPOT) by up to 40% and increasing throughput by up to 36% in our experiments. Our code is available at https://github.com/ModelTC/lightllm.
Abstract:Video diffusion models (DMs) have enabled high-quality video synthesis. Yet, their substantial computational and memory demands pose serious challenges to real-world deployment, even on high-end GPUs. As a commonly adopted solution, quantization has proven notable success in reducing cost for image DMs, while its direct application to video DMs remains ineffective. In this paper, we present QVGen, a novel quantization-aware training (QAT) framework tailored for high-performance and inference-efficient video DMs under extremely low-bit quantization (e.g., 4-bit or below). We begin with a theoretical analysis demonstrating that reducing the gradient norm is essential to facilitate convergence for QAT. To this end, we introduce auxiliary modules ($\Phi$) to mitigate large quantization errors, leading to significantly enhanced convergence. To eliminate the inference overhead of $\Phi$, we propose a rank-decay strategy that progressively eliminates $\Phi$. Specifically, we repeatedly employ singular value decomposition (SVD) and a proposed rank-based regularization $\mathbf{\gamma}$ to identify and decay low-contributing components. This strategy retains performance while zeroing out inference overhead. Extensive experiments across $4$ state-of-the-art (SOTA) video DMs, with parameter sizes ranging from $1.3$B $\sim14$B, show that QVGen is the first to reach full-precision comparable quality under 4-bit settings. Moreover, it significantly outperforms existing methods. For instance, our 3-bit CogVideoX-2B achieves improvements of $+25.28$ in Dynamic Degree and $+8.43$ in Scene Consistency on VBench.
Abstract:Training Long-Context Large Language Models (LLMs) is challenging, as hybrid training with long-context and short-context data often leads to workload imbalances. Existing works mainly use data packing to alleviate this issue but fail to consider imbalanced attention computation and wasted communication overhead. This paper proposes Hierarchical Balance Packing (HBP), which designs a novel batch-construction method and training recipe to address those inefficiencies. In particular, the HBP constructs multi-level data packing groups, each optimized with a distinct packing length. It assigns training samples to their optimal groups and configures each group with the most effective settings, including sequential parallelism degree and gradient checkpointing configuration. To effectively utilize multi-level groups of data, we design a dynamic training pipeline specifically tailored to HBP, including curriculum learning, adaptive sequential parallelism, and stable loss. Our extensive experiments demonstrate that our method significantly reduces training time over multiple datasets and open-source models while maintaining strong performance. For the largest DeepSeek-V2 (236B) MOE model, our method speeds up the training by 2.4$\times$ with competitive performance.
Abstract:With the increased attention to model efficiency, post-training sparsity (PTS) has become more and more prevalent because of its effectiveness and efficiency. However, there remain questions on better practice of PTS algorithms and the sparsification ability of models, which hinders the further development of this area. Therefore, a benchmark to comprehensively investigate the issues above is urgently needed. In this paper, we propose the first comprehensive post-training sparsity benchmark called PTSBench towards algorithms and models. We benchmark 10+ PTS general-pluggable fine-grained techniques on 3 typical tasks using over 40 off-the-shelf model architectures. Through extensive experiments and analyses, we obtain valuable conclusions and provide several insights from both algorithms and model aspects. Our PTSBench can provide (1) new observations for a better understanding of the PTS algorithms, (2) in-depth and comprehensive evaluations for the sparsification ability of models, and (3) a well-structured and easy-integrate open-source framework. We hope this work will provide illuminating conclusions and advice for future studies of post-training sparsity methods and sparsification-friendly model design. The code for our PTSBench is released at \href{https://github.com/ModelTC/msbench}{https://github.com/ModelTC/msbench}.
Abstract:Diffusion Transformers (DiTs) have gained prominence for outstanding scalability and extraordinary performance in generative tasks. However, their considerable inference costs impede practical deployment. The feature cache mechanism, which involves storing and retrieving redundant computations across timesteps, holds promise for reducing per-step inference time in diffusion models. Most existing caching methods for DiT are manually designed. Although the learning-based approach attempts to optimize strategies adaptively, it suffers from discrepancies between training and inference, which hampers both the performance and acceleration ratio. Upon detailed analysis, we pinpoint that these discrepancies primarily stem from two aspects: (1) Prior Timestep Disregard, where training ignores the effect of cache usage at earlier timesteps, and (2) Objective Mismatch, where the training target (align predicted noise in each timestep) deviates from the goal of inference (generate the high-quality image). To alleviate these discrepancies, we propose HarmoniCa, a novel method that Harmonizes training and inference with a novel learning-based Caching framework built upon Step-Wise Denoising Training (SDT) and Image Error Proxy-Guided Objective (IEPO). Compared to the traditional training paradigm, the newly proposed SDT maintains the continuity of the denoising process, enabling the model to leverage information from prior timesteps during training, similar to the way it operates during inference. Furthermore, we design IEPO, which integrates an efficient proxy mechanism to approximate the final image error caused by reusing the cached feature. Therefore, IEPO helps balance final image quality and cache utilization, resolving the issue of training that only considers the impact of cache usage on the predicted output at each timestep.




Abstract:Large language models (LLMs) have achieved remarkable advancements in natural language processing, showcasing exceptional performance across various tasks. However, the expensive memory and computational requirements present significant challenges for their practical deployment. Low-bit quantization has emerged as a critical approach to mitigate these challenges by reducing the bit-width of model parameters, activations, and gradients, thus decreasing memory usage and computational demands. This paper presents a comprehensive survey of low-bit quantization methods tailored for LLMs, covering the fundamental principles, system implementations, and algorithmic strategies. An overview of basic concepts and new data formats specific to low-bit LLMs is first introduced, followed by a review of frameworks and systems that facilitate low-bit LLMs across various hardware platforms. Then, we categorize and analyze techniques and toolkits for efficient low-bit training and inference of LLMs. Finally, we conclude with a discussion of future trends and potential advancements of low-bit LLMs. Our systematic overview from basic, system, and algorithm perspectives can offer valuable insights and guidelines for future works to enhance the efficiency and applicability of LLMs through low-bit quantization.