


Abstract:Rapidly improving AI capabilities and autonomy hold significant promise of transformation, but are also driving vigorous debate on how to ensure that AI is safe, i.e., trustworthy, reliable, and secure. Building a trusted ecosystem is therefore essential -- it helps people embrace AI with confidence and gives maximal space for innovation while avoiding backlash. The "2025 Singapore Conference on AI (SCAI): International Scientific Exchange on AI Safety" aimed to support research in this space by bringing together AI scientists across geographies to identify and synthesise research priorities in AI safety. This resulting report builds on the International AI Safety Report chaired by Yoshua Bengio and backed by 33 governments. By adopting a defence-in-depth model, this report organises AI safety research domains into three types: challenges with creating trustworthy AI systems (Development), challenges with evaluating their risks (Assessment), and challenges with monitoring and intervening after deployment (Control).
Abstract:Artificial General Intelligence (AGI) promises transformative benefits but also presents significant risks. We develop an approach to address the risk of harms consequential enough to significantly harm humanity. We identify four areas of risk: misuse, misalignment, mistakes, and structural risks. Of these, we focus on technical approaches to misuse and misalignment. For misuse, our strategy aims to prevent threat actors from accessing dangerous capabilities, by proactively identifying dangerous capabilities, and implementing robust security, access restrictions, monitoring, and model safety mitigations. To address misalignment, we outline two lines of defense. First, model-level mitigations such as amplified oversight and robust training can help to build an aligned model. Second, system-level security measures such as monitoring and access control can mitigate harm even if the model is misaligned. Techniques from interpretability, uncertainty estimation, and safer design patterns can enhance the effectiveness of these mitigations. Finally, we briefly outline how these ingredients could be combined to produce safety cases for AGI systems.
Abstract:Modelling human variation in rating tasks is crucial for enabling AI systems for personalization, pluralistic model alignment, and computational social science. We propose representing individuals using value profiles -- natural language descriptions of underlying values compressed from in-context demonstrations -- along with a steerable decoder model to estimate ratings conditioned on a value profile or other rater information. To measure the predictive information in rater representations, we introduce an information-theoretic methodology. We find that demonstrations contain the most information, followed by value profiles and then demographics. However, value profiles offer advantages in terms of scrutability, interpretability, and steerability due to their compressed natural language format. Value profiles effectively compress the useful information from demonstrations (>70% information preservation). Furthermore, clustering value profiles to identify similarly behaving individuals better explains rater variation than the most predictive demographic groupings. Going beyond test set performance, we show that the decoder models interpretably change ratings according to semantic profile differences, are well-calibrated, and can help explain instance-level disagreement by simulating an annotator population. These results demonstrate that value profiles offer novel, predictive ways to describe individual variation beyond demographics or group information.




Abstract:Aligning AI systems to users' interests requires understanding and incorporating humans' complex values and preferences. Recently, language models (LMs) have been used to gather information about the preferences of human users. This preference data can be used to fine-tune or guide other LMs and/or AI systems. However, LMs have been shown to struggle with crucial aspects of preference learning: quantifying uncertainty, modeling human mental states, and asking informative questions. These challenges have been addressed in other areas of machine learning, such as Bayesian Optimal Experimental Design (BOED), which focus on designing informative queries within a well-defined feature space. But these methods, in turn, are difficult to scale and apply to real-world problems where simply identifying the relevant features can be difficult. We introduce OPEN (Optimal Preference Elicitation with Natural language) a framework that uses BOED to guide the choice of informative questions and an LM to extract features and translate abstract BOED queries into natural language questions. By combining the flexibility of LMs with the rigor of BOED, OPEN can optimize the informativity of queries while remaining adaptable to real-world domains. In user studies, we find that OPEN outperforms existing LM- and BOED-based methods for preference elicitation.




Abstract:Many online content portals allow users to ask questions to supplement their understanding (e.g., of lectures). While information retrieval (IR) systems may provide answers for such user queries, they do not directly assist content creators -- such as lecturers who want to improve their content -- identify segments that _caused_ a user to ask those questions. We introduce the task of backtracing, in which systems retrieve the text segment that most likely caused a user query. We formalize three real-world domains for which backtracing is important in improving content delivery and communication: understanding the cause of (a) student confusion in the Lecture domain, (b) reader curiosity in the News Article domain, and (c) user emotion in the Conversation domain. We evaluate the zero-shot performance of popular information retrieval methods and language modeling methods, including bi-encoder, re-ranking and likelihood-based methods and ChatGPT. While traditional IR systems retrieve semantically relevant information (e.g., details on "projection matrices" for a query "does projecting multiple times still lead to the same point?"), they often miss the causally relevant context (e.g., the lecturer states "projecting twice gets me the same answer as one projection"). Our results show that there is room for improvement on backtracing and it requires new retrieval approaches. We hope our benchmark serves to improve future retrieval systems for backtracing, spawning systems that refine content generation and identify linguistic triggers influencing user queries. Our code and data are open-sourced: https://github.com/rosewang2008/backtracing.
Abstract:Language models (LMs) can be directed to perform target tasks by using labeled examples or natural language prompts. But selecting examples or writing prompts for can be challenging--especially in tasks that involve unusual edge cases, demand precise articulation of nebulous preferences, or require an accurate mental model of LM behavior. We propose to use *LMs themselves* to guide the task specification process. In this paper, we introduce **Generative Active Task Elicitation (GATE)**: a learning framework in which models elicit and infer intended behavior through free-form, language-based interaction with users. We study GATE in three domains: email validation, content recommendation, and moral reasoning. In preregistered experiments, we show that LMs prompted to perform GATE (e.g., by generating open-ended questions or synthesizing informative edge cases) elicit responses that are often more informative than user-written prompts or labels. Users report that interactive task elicitation requires less effort than prompting or example labeling and surfaces novel considerations not initially anticipated by users. Our findings suggest that LM-driven elicitation can be a powerful tool for aligning models to complex human preferences and values.




Abstract:Lectures are a learning experience for both students and teachers. Students learn from teachers about the subject material, while teachers learn from students about how to refine their instruction. However, online student feedback is unstructured and abundant, making it challenging for teachers to learn and improve. We take a step towards tackling this challenge. First, we contribute a dataset for studying this problem: SIGHT is a large dataset of 288 math lecture transcripts and 15,784 comments collected from the Massachusetts Institute of Technology OpenCourseWare (MIT OCW) YouTube channel. Second, we develop a rubric for categorizing feedback types using qualitative analysis. Qualitative analysis methods are powerful in uncovering domain-specific insights, however they are costly to apply to large data sources. To overcome this challenge, we propose a set of best practices for using large language models (LLMs) to cheaply classify the comments at scale. We observe a striking correlation between the model's and humans' annotation: Categories with consistent human annotations (>$0.9$ inter-rater reliability, IRR) also display higher human-model agreement (>$0.7$), while categories with less consistent human annotations ($0.7$-$0.8$ IRR) correspondingly demonstrate lower human-model agreement ($0.3$-$0.5$). These techniques uncover useful student feedback from thousands of comments, costing around $\$0.002$ per comment. We conclude by discussing exciting future directions on using online student feedback and improving automated annotation techniques for qualitative research.
Abstract:AI assistance continues to help advance applications in education, from language learning to intelligent tutoring systems, yet current methods for providing students feedback are still quite limited. Most automatic feedback systems either provide binary correctness feedback, which may not help a student understand how to improve, or require hand-coding feedback templates, which may not generalize to new domains. This can be particularly challenging for physical control tasks, where the rich diversity in student behavior and specialized domains make it challenging to leverage general-purpose assistive tools for providing feedback. We design and build CORGI, a model trained to generate language corrections for physical control tasks, such as learning to ride a bike. CORGI takes in as input a pair of student and expert trajectories, and then generates natural language corrections to help the student improve. We collect and train CORGI over data from three diverse physical control tasks (drawing, steering, and joint movement). Through both automatic and human evaluations, we show that CORGI can (i) generate valid feedback for novel student trajectories, (ii) outperform baselines on domains with novel control dynamics, and (iii) improve student learning in an interactive drawing task.




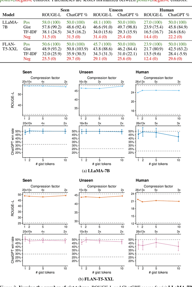
Abstract:Prompting is now the primary way to utilize the multitask capabilities of language models (LMs), but prompts occupy valuable space in the input context window, and re-encoding the same prompt is computationally inefficient. Finetuning and distillation methods allow for specialization of LMs without prompting, but require retraining the model for each task. To avoid this trade-off entirely, we present gisting, which trains an LM to compress prompts into smaller sets of "gist" tokens which can be reused for compute efficiency. Gist models can be easily trained as part of instruction finetuning via a restricted attention mask that encourages prompt compression. On decoder (LLaMA-7B) and encoder-decoder (FLAN-T5-XXL) LMs, gisting enables up to 26x compression of prompts, resulting in up to 40% FLOPs reductions, 4.2% wall time speedups, storage savings, and minimal loss in output quality.




Abstract:Contrastive learning methods have been applied to a range of domains and modalities by training models to identify similar ``views'' of data points. However, specialized scientific modalities pose a challenge for this paradigm, as identifying good views for each scientific instrument is complex and time-intensive. In this paper, we focus on applying contrastive learning approaches to a variety of remote sensing datasets. We show that Viewmaker networks, a recently proposed method for generating views, are promising for producing views in this setting without requiring extensive domain knowledge and trial and error. We apply Viewmaker to four multispectral imaging problems, each with a different format, finding that Viewmaker can outperform cropping- and reflection-based methods for contrastive learning in every case when evaluated on downstream classification tasks. This provides additional evidence that domain-agnostic methods can empower contrastive learning to scale to real-world scientific domains. Open source code can be found at https://github.com/jbayrooti/divmaker.