additional authors not shown




Abstract:Abstract reasoning from minimal examples remains a core unsolved problem for frontier foundation models such as GPT-5 and Grok 4. These models still fail to infer structured transformation rules from a handful of examples, which is a key hallmark of human intelligence. The Abstraction and Reasoning Corpus for Artificial General Intelligence (ARC-AGI) provides a rigorous testbed for this capability, demanding conceptual rule induction and transfer to novel tasks. Most existing methods treat ARC-AGI as a purely textual reasoning task, overlooking the fact that humans rely heavily on visual abstraction when solving such puzzles. However, our pilot experiments reveal a paradox: naively rendering ARC-AGI grids as images degrades performance due to imprecise rule execution. This leads to our central hypothesis that vision and language possess complementary strengths across distinct reasoning stages: vision supports global pattern abstraction and verification, whereas language specializes in symbolic rule formulation and precise execution. Building on this insight, we introduce two synergistic strategies: (1) Vision-Language Synergy Reasoning (VLSR), which decomposes ARC-AGI into modality-aligned subtasks; and (2) Modality-Switch Self-Correction (MSSC), which leverages vision to verify text-based reasoning for intrinsic error correction. Extensive experiments demonstrate that our approach yields up to a 4.33% improvement over text-only baselines across diverse flagship models and multiple ARC-AGI tasks. Our findings suggest that unifying visual abstraction with linguistic reasoning is a crucial step toward achieving generalizable, human-like intelligence in future foundation models. Source code will be released soon.



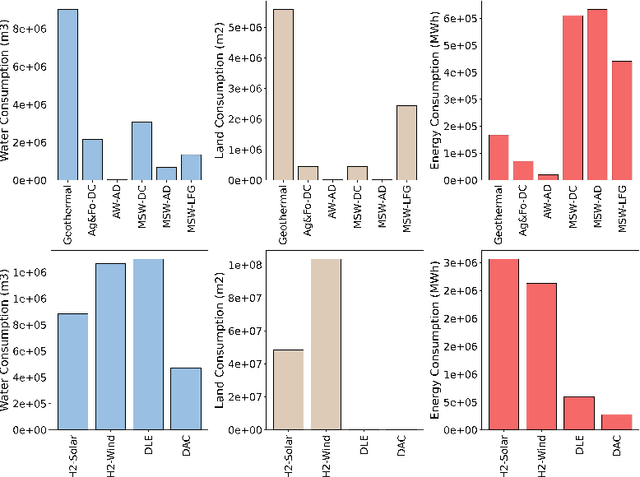
Abstract:Transitioning to sustainable and resilient energy systems requires navigating complex and interdependent trade-offs across environmental, social, and resource dimensions. Neglecting these trade-offs can lead to unintended consequences across sectors. However, existing assessments often evaluate emerging energy pathways and their impacts in silos, overlooking critical interactions such as regional resource competition and cumulative impacts. We present an integrated modeling framework that couples agent-based modeling and Life Cycle Assessment (LCA) to simulate how energy transition pathways interact with regional resource competition, ecological constraints, and community-level burdens. We apply the model to a case study in Southern California. The results demonstrate how integrated and multiscale decision making can shape energy pathway deployment and reveal spatially explicit trade-offs under scenario-driven constraints. This modeling framework can further support more adaptive and resilient energy transition planning on spatial and institutional scales.
Abstract:Spatial understanding remains a weakness of Large Vision-Language Models (LVLMs). Existing supervised fine-tuning (SFT) and recent reinforcement learning with verifiable rewards (RLVR) pipelines depend on costly supervision, specialized tools, or constrained environments that limit scale. We introduce Spatial-SSRL, a self-supervised RL paradigm that derives verifiable signals directly from ordinary RGB or RGB-D images. Spatial-SSRL automatically formulates five pretext tasks that capture 2D and 3D spatial structure: shuffled patch reordering, flipped patch recognition, cropped patch inpainting, regional depth ordering, and relative 3D position prediction. These tasks provide ground-truth answers that are easy to verify and require no human or LVLM annotation. Training on our tasks substantially improves spatial reasoning while preserving general visual capabilities. On seven spatial understanding benchmarks in both image and video settings, Spatial-SSRL delivers average accuracy gains of 4.63% (3B) and 3.89% (7B) over the Qwen2.5-VL baselines. Our results show that simple, intrinsic supervision enables RLVR at scale and provides a practical route to stronger spatial intelligence in LVLMs.
Abstract:Reinforcement learning with verifiable rewards (RLVR) has emerged as a powerful paradigm for enhancing the reasoning capabilities of large language models (LLMs). Unlike traditional RL approaches, RLVR leverages rule-based feedback to guide LLMs in generating and refining complex reasoning chains -- a process critically dependent on effective exploration strategies. While prior work has demonstrated RLVR's empirical success, the fundamental mechanisms governing LLMs' exploration behaviors remain underexplored. This technical report presents a systematic investigation of exploration capacities in RLVR, covering four main aspects: (1) exploration space shaping, where we develop quantitative metrics to characterize LLMs' capability boundaries; (2) entropy-performance exchange, analyzed across training stages, individual instances, and token-level patterns; and (3) RL performance optimization, examining methods to effectively translate exploration gains into measurable improvements. By unifying previously identified insights with new empirical evidence, this work aims to provide a foundational framework for advancing RLVR systems.
Abstract:In this paper, we investigate code-integrated reasoning, where models generate code when necessary and integrate feedback by executing it through a code interpreter. To acquire this capability, models must learn when and how to use external code tools effectively, which is supported by tool-augmented reinforcement learning (RL) through interactive learning. Despite its benefits, tool-augmented RL can still suffer from potential instability in the learning dynamics. In light of this challenge, we present a systematic approach to improving the training effectiveness and stability of tool-augmented RL for code-integrated reasoning. Specifically, we develop enhanced training strategies that balance exploration and stability, progressively building tool-use capabilities while improving reasoning performance. Through extensive experiments on five mainstream mathematical reasoning benchmarks, our model demonstrates significant performance improvements over multiple competitive baselines. Furthermore, we conduct an in-depth analysis of the mechanism and effect of code-integrated reasoning, revealing several key insights, such as the extension of model's capability boundaries and the simultaneous improvement of reasoning efficiency through code integration. All data and code for reproducing this work are available at: https://github.com/RUCAIBox/CIR.




Abstract:In this work, we present Qwen3, the latest version of the Qwen model family. Qwen3 comprises a series of large language models (LLMs) designed to advance performance, efficiency, and multilingual capabilities. The Qwen3 series includes models of both dense and Mixture-of-Expert (MoE) architectures, with parameter scales ranging from 0.6 to 235 billion. A key innovation in Qwen3 is the integration of thinking mode (for complex, multi-step reasoning) and non-thinking mode (for rapid, context-driven responses) into a unified framework. This eliminates the need to switch between different models--such as chat-optimized models (e.g., GPT-4o) and dedicated reasoning models (e.g., QwQ-32B)--and enables dynamic mode switching based on user queries or chat templates. Meanwhile, Qwen3 introduces a thinking budget mechanism, allowing users to allocate computational resources adaptively during inference, thereby balancing latency and performance based on task complexity. Moreover, by leveraging the knowledge from the flagship models, we significantly reduce the computational resources required to build smaller-scale models, while ensuring their highly competitive performance. Empirical evaluations demonstrate that Qwen3 achieves state-of-the-art results across diverse benchmarks, including tasks in code generation, mathematical reasoning, agent tasks, etc., competitive against larger MoE models and proprietary models. Compared to its predecessor Qwen2.5, Qwen3 expands multilingual support from 29 to 119 languages and dialects, enhancing global accessibility through improved cross-lingual understanding and generation capabilities. To facilitate reproducibility and community-driven research and development, all Qwen3 models are publicly accessible under Apache 2.0.
Abstract:To develop effective sequential recommender systems, numerous methods have been proposed to model historical user behaviors. Despite the effectiveness, these methods share the same fast thinking paradigm. That is, for making recommendations, these methods typically encodes user historical interactions to obtain user representations and directly match these representations with candidate item representations. However, due to the limited capacity of traditional lightweight recommendation models, this one-step inference paradigm often leads to suboptimal performance. To tackle this issue, we present a novel slow thinking recommendation model, named STREAM-Rec. Our approach is capable of analyzing historical user behavior, generating a multi-step, deliberative reasoning process, and ultimately delivering personalized recommendations. In particular, we focus on two key challenges: (1) identifying the suitable reasoning patterns in recommender systems, and (2) exploring how to effectively stimulate the reasoning capabilities of traditional recommenders. To this end, we introduce a three-stage training framework. In the first stage, the model is pretrained on large-scale user behavior data to learn behavior patterns and capture long-range dependencies. In the second stage, we design an iterative inference algorithm to annotate suitable reasoning traces by progressively refining the model predictions. This annotated data is then used to fine-tune the model. Finally, in the third stage, we apply reinforcement learning to further enhance the model generalization ability. Extensive experiments validate the effectiveness of our proposed method.
Abstract:Large reasoning models (LRMs) like OpenAI-o1 and DeepSeek-R1 have demonstrated remarkable capabilities in complex reasoning tasks through the utilization of long Chain-of-thought (CoT). However, these models often suffer from hallucinations and inefficiencies due to their reliance solely on internal reasoning processes. In this paper, we introduce START (Self-Taught Reasoner with Tools), a novel tool-integrated long CoT reasoning LLM that significantly enhances reasoning capabilities by leveraging external tools. Through code execution, START is capable of performing complex computations, self-checking, exploring diverse methods, and self-debugging, thereby addressing the limitations of LRMs. The core innovation of START lies in its self-learning framework, which comprises two key techniques: 1) Hint-infer: We demonstrate that inserting artificially designed hints (e.g., ``Wait, maybe using Python here is a good idea.'') during the inference process of a LRM effectively stimulates its ability to utilize external tools without the need for any demonstration data. Hint-infer can also serve as a simple and effective sequential test-time scaling method; 2) Hint Rejection Sampling Fine-Tuning (Hint-RFT): Hint-RFT combines Hint-infer and RFT by scoring, filtering, and modifying the reasoning trajectories with tool invocation generated by a LRM via Hint-infer, followed by fine-tuning the LRM. Through this framework, we have fine-tuned the QwQ-32B model to achieve START. On PhD-level science QA (GPQA), competition-level math benchmarks (AMC23, AIME24, AIME25), and the competition-level code benchmark (LiveCodeBench), START achieves accuracy rates of 63.6%, 95.0%, 66.7%, 47.1%, and 47.3%, respectively. It significantly outperforms the base QwQ-32B and achieves performance comparable to the state-of-the-art open-weight model R1-Distill-Qwen-32B and the proprietary model o1-Preview.




Abstract:In this report, we present the third technical report on the development of slow-thinking models as part of the STILL project. As the technical pathway becomes clearer, scaling RL training has become a central technique for implementing such reasoning models. We systematically experiment with and document the effects of various factors influencing RL training, conducting experiments on both base models and fine-tuned models. Specifically, we demonstrate that our RL training approach consistently improves the Qwen2.5-32B base models, enhancing both response length and test accuracy. Furthermore, we show that even when a model like DeepSeek-R1-Distill-Qwen-1.5B has already achieved a high performance level, it can be further refined through RL training, reaching an accuracy of 39.33% on AIME 2024. Beyond RL training, we also explore the use of tool manipulation, finding that it significantly boosts the reasoning performance of large reasoning models. This approach achieves a remarkable accuracy of 86.67% with greedy search on AIME 2024, underscoring its effectiveness in enhancing model capabilities. We release our resources at the STILL project website: https://github.com/RUCAIBox/Slow_Thinking_with_LLMs.




Abstract:Process Reward Models (PRMs) emerge as a promising approach for process supervision in mathematical reasoning of Large Language Models (LLMs), which aim to identify and mitigate intermediate errors in the reasoning processes. However, the development of effective PRMs faces significant challenges, particularly in data annotation and evaluation methodologies. In this paper, through extensive experiments, we demonstrate that commonly used Monte Carlo (MC) estimation-based data synthesis for PRMs typically yields inferior performance and generalization compared to LLM-as-a-judge and human annotation methods. MC estimation relies on completion models to evaluate current-step correctness, leading to inaccurate step verification. Furthermore, we identify potential biases in conventional Best-of-N (BoN) evaluation strategies for PRMs: (1) The unreliable policy models generate responses with correct answers but flawed processes, leading to a misalignment between the evaluation criteria of BoN and the PRM objectives of process verification. (2) The tolerance of PRMs of such responses leads to inflated BoN scores. (3) Existing PRMs have a significant proportion of minimum scores concentrated on the final answer steps, revealing the shift from process to outcome-based assessment in BoN Optimized PRMs. To address these challenges, we develop a consensus filtering mechanism that effectively integrates MC estimation with LLM-as-a-judge and advocates a more comprehensive evaluation framework that combines response-level and step-level metrics. Based on the mechanisms, we significantly improve both model performance and data efficiency in the BoN evaluation and the step-wise error identification task. Finally, we release a new state-of-the-art PRM that outperforms existing open-source alternatives and provides practical guidelines for future research in building process supervision models.