Reinforcement learning algorithms often suffer from slow convergence due to sparse reward signals, particularly in complex environments where feedback is delayed or infrequent. This paper introduces the Psychological Regret Model (PRM), a novel approach that accelerates learning by incorporating regret-based feedback signals after each decision step. Rather than waiting for terminal rewards, PRM computes a regret signal based on the difference between the expected value of the optimal action and the value of the action taken in each state. This transforms sparse rewards into dense feedback signals through a step-wise scoring framework, enabling faster convergence. We demonstrate that PRM achieves stable performance approximately 36\% faster than traditional Proximal Policy Optimization (PPO) in benchmark environments such as Lunar Lander. Our results indicate that PRM is particularly effective in continuous control tasks and environments with delayed feedback, making it suitable for real-world applications such as robotics, finance, and adaptive education where rapid policy adaptation is critical. The approach formalizes human-inspired counterfactual thinking as a computable regret signal, bridging behavioral economics and reinforcement learning.
Non-prehensile manipulation using onboard sensing presents a fundamental challenge: the manipulated object occludes the sensor's field of view, creating occluded regions that can lead to collisions. We propose CURA-PPO, a reinforcement learning framework that addresses this challenge by explicitly modeling uncertainty under partial observability. By predicting collision possibility as a distribution, we extract both risk and uncertainty to guide the robot's actions. The uncertainty term encourages active perception, enabling simultaneous manipulation and information gathering to resolve occlusions. When combined with confidence maps that capture observation reliability, our approach enables safe navigation despite severe sensor occlusion. Extensive experiments across varying object sizes and obstacle configurations demonstrate that CURA-PPO achieves up to 3X higher success rates than the baselines, with learned behaviors that handle occlusions. Our method provides a practical solution for autonomous manipulation in cluttered environments using only onboard sensing.
Reinforcement learning (RL) is widely used for humanoid control, with on-policy methods such as Proximal Policy Optimization (PPO) enabling robust training via large-scale parallel simulation and, in some cases, zero-shot deployment to real robots. However, the low sample efficiency of on-policy algorithms limits safe adaptation to new environments. Although off-policy RL and model-based RL have shown improved sample efficiency, the gap between large-scale pretraining and efficient finetuning on humanoids still exists. In this paper, we find that off-policy Soft Actor-Critic (SAC), with large-batch update and a high Update-To-Data (UTD) ratio, reliably supports large-scale pretraining of humanoid locomotion policies, achieving zero-shot deployment on real robots. For adaptation, we demonstrate that these SAC-pretrained policies can be finetuned in new environments and out-of-distribution tasks using model-based methods. Data collection in the new environment executes a deterministic policy while stochastic exploration is instead confined to a physics-informed world model. This separation mitigates the risks of random exploration during adaptation while preserving exploratory coverage for improvement. Overall, the approach couples the wall-clock efficiency of large-scale simulation during pretraining with the sample efficiency of model-based learning during fine-tuning.
Training reinforcement learning (RL) policies for legged robots remains challenging due to high-dimensional continuous actions, hardware constraints, and limited exploration. Existing methods for locomotion and whole-body control work well for position-based control with environment-specific heuristics (e.g., reward shaping, curriculum design, and manual initialization), but are less effective for torque-based control, where sufficiently exploring the action space and obtaining informative gradient signals for training is significantly more difficult. We introduce Growing Policy Optimization (GPO), a training framework that applies a time-varying action transformation to restrict the effective action space in the early stage, thereby encouraging more effective data collection and policy learning, and then progressively expands it to enhance exploration and achieve higher expected return. We prove that this transformation preserves the PPO update rule and introduces only bounded, vanishing gradient distortion, thereby ensuring stable training. We evaluate GPO on both quadruped and hexapod robots, including zero-shot deployment of simulation-trained policies on hardware. Policies trained with GPO consistently achieve better performance. These results suggest that GPO provides a general, environment-agnostic optimization framework for learning legged locomotion.
Accurate alignment of multi-degree-of-freedom rehabilitation robots is essential for safe and effective patient training. This paper proposes a two-stage calibration framework for a self-designed three-degree-of-freedom (3-DOF) ankle rehabilitation robot. First, a Kronecker-product-based open-loop calibration method is developed to cast the input-output alignment into a linear parameter identification problem, which in turn defines the associated experimental design objective through the resulting information matrix. Building on this formulation, calibration posture selection is posed as a combinatorial design-of-experiments problem guided by a D-optimality criterion, i.e., selecting a small subset of postures that maximises the determinant of the information matrix. To enable practical selection under constraints, a Proximal Policy Optimization (PPO) agent is trained in simulation to choose 4 informative postures from a candidate set of 50. Across simulation and real-robot evaluations, the learned policy consistently yields substantially more informative posture combinations than random selection: the mean determinant of the information matrix achieved by PPO is reported to be more than two orders of magnitude higher with reduced variance. In addition, real-world results indicate that a parameter vector identified from only four D-optimality-guided postures provides stronger cross-episode prediction consistency than estimates obtained from a larger but unstructured set of 50 postures. The proposed framework therefore improves calibration efficiency while maintaining robust parameter estimation, offering practical guidance for high-precision alignment of multi-DOF rehabilitation robots.
This paper addresses the challenge of human-guided navigation for mobile collaborative robots under simultaneous proximity regulation and safety constraints. We introduce Adaptive Reinforcement and Model Predictive Control Switching (ARMS), a hybrid learning-control framework that integrates a reinforcement learning follower trained with Proximal Policy Optimization (PPO) and an analytical one-step Model Predictive Control (MPC) formulated as a quadratic program safety filter. To enable robust perception under partial observability and non-stationary human motion, ARMS employs a decoupled sensing architecture with a Long Short-Term Memory (LSTM) temporal encoder for the human-robot relative state and a spatial encoder for 360-degree LiDAR scans. The core contribution is a learned adaptive neural switcher that performs context-aware soft action fusion between the two controllers, favoring conservative, constraint-aware QP-based control in low-risk regions while progressively shifting control authority to the learned follower in highly cluttered or constrained scenarios where maneuverability is critical, and reverting to the follower action when the QP becomes infeasible. Extensive evaluations against Pure Pursuit, Dynamic Window Approach (DWA), and an RL-only baseline demonstrate that ARMS achieves an 82.5 percent success rate in highly cluttered environments, outperforming DWA and RL-only approaches by 7.1 percent and 3.1 percent, respectively, while reducing average computational latency by 33 percent to 5.2 milliseconds compared to a multi-step MPC baseline. Additional simulation transfer in Gazebo and initial real-world deployment results further indicate the practicality and robustness of ARMS for safe and efficient human-robot collaboration. Source code and a demonstration video are available at https://github.com/21ning/ARMS.git.
Recently, video-based world models that learn to simulate the dynamics have gained increasing attention in robot learning. However, current approaches primarily emphasize visual generative quality while overlooking physical fidelity, dynamic consistency, and task logic, especially for contact-rich manipulation tasks, which limits their applicability to downstream tasks. To this end, we introduce ReWorld, a framework aimed to employ reinforcement learning to align the video-based embodied world models with physical realism, task completion capability, embodiment plausibility and visual quality. Specifically, we first construct a large-scale (~235K) video preference dataset and employ it to train a hierarchical reward model designed to capture multi-dimensional reward consistent with human preferences. We further propose a practical alignment algorithm that post-trains flow-based world models using this reward through a computationally efficient PPO-style algorithm. Comprehensive experiments and theoretical analysis demonstrate that ReWorld significantly improves the physical fidelity, logical coherence, embodiment and visual quality of generated rollouts, outperforming previous methods.
Human-like dexterous hands with multiple fingers offer human-level manipulation capabilities, but training control policies that can directly deploy on real hardware remains difficult due to contact-rich physics and imperfect actuation. We close this gap with a practical sim-to-real reinforcement learning (RL) framework that utilizes dense tactile feedback combined with joint torque sensing to explicitly regulate physical interactions. To enable effective sim-to-real transfer, we introduce (i) a computationally fast tactile simulation that computes distances between dense virtual tactile units and the object via parallel forward kinematics, providing high-rate, high-resolution touch signals needed by RL; (ii) a current-to-torque calibration that eliminates the need for torque sensors on dexterous hands by mapping motor current to joint torque; and (iii) actuator dynamics modeling to bridge the actuation gaps with randomization of non-ideal effects such as backlash, torque-speed saturation. Using an asymmetric actor-critic PPO pipeline trained entirely in simulation, our policies deploy directly to a five-finger hand. The resulting policies demonstrated two essential skills: (1) command-based, controllable grasp force tracking, and (2) reorientation of objects in the hand, both of which were robustly executed without fine-tuning on the robot. By combining tactile and torque in the observation space with effective sensing/actuation modeling, our system provides a practical solution to achieve reliable dexterous manipulation. To our knowledge, this is the first demonstration of controllable grasping on a multi-finger dexterous hand trained entirely in simulation and transferred zero-shot on real hardware.
Aerial manipulators, which combine robotic arms with multi-rotor drones, face strict constraints on arm weight and mechanical complexity. In this work, we study a lightweight 2-degree-of-freedom (DoF) arm mounted on a quadrotor via a differential mechanism, capable of full six-DoF end-effector pose control. While the minimal design enables simplicity and reduced payload, it also introduces challenges such as underactuation and sensitivity to external disturbances, including manipulation of heavy loads and pushing tasks. To address these, we employ reinforcement learning, training a Proximal Policy Optimization (PPO) agent in simulation to generate feedforward commands for quadrotor acceleration and body rates, along with joint angle targets. These commands are tracked by an incremental nonlinear dynamic inversion (INDI) attitude controller and a PID joint controller, respectively. Flight experiments demonstrate centimeter-level position accuracy and degree-level orientation precision, with robust performance under external force disturbances. The results highlight the potential of learning-based control strategies for enabling contact-rich aerial manipulation using simple, lightweight platforms.




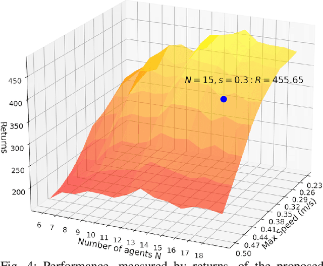
Identifying the leader within a robotic swarm is crucial, especially in adversarial contexts where leader concealment is necessary for mission success. This work introduces the interactive Swarm Leader Identification (iSLI) problem, a novel approach where an adversarial probing agent identifies a swarm's leader by physically interacting with its members. We formulate the iSLI problem as a Partially Observable Markov Decision Process (POMDP) and employ Deep Reinforcement Learning, specifically Proximal Policy Optimization (PPO), to train the prober's policy. The proposed approach utilizes a novel neural network architecture featuring a Timed Graph Relationformer (TGR) layer combined with a Simplified Structured State Space Sequence (S5) model. The TGR layer effectively processes graph-based observations of the swarm, capturing temporal dependencies and fusing relational information using a learned gating mechanism to generate informative representations for policy learning. Extensive simulations demonstrate that our TGR-based model outperforms baseline graph neural network architectures and exhibits significant zero-shot generalization capabilities across varying swarm sizes and speeds different from those used during training. The trained prober achieves high accuracy in identifying the leader, maintaining performance even in out-of-training distribution scenarios, and showing appropriate confidence levels in its predictions. Real-world experiments with physical robots further validate the approach, confirming successful sim-to-real transfer and robustness to dynamic changes, such as unexpected agent disconnections.