Abstract:Large language models (LLMs) have become integral to a wide range of applications worldwide, driving an unprecedented global demand for effective multilingual capabilities. Central to achieving robust multilingual performance is the strategic allocation of language proportions within training corpora. However, determining optimal language ratios is highly challenging due to intricate cross-lingual interactions and sensitivity to dataset scale. This paper introduces Climb (Cross-Lingual Interaction-aware Multilingual Balancing), a novel framework designed to systematically optimize multilingual data allocation. At its core, Climb introduces a cross-lingual interaction-aware language ratio, explicitly quantifying each language's effective allocation by capturing inter-language dependencies. Leveraging this ratio, Climb proposes a principled two-step optimization procedure--first equalizing marginal benefits across languages, then maximizing the magnitude of the resulting language allocation vectors--significantly simplifying the inherently complex multilingual optimization problem. Extensive experiments confirm that Climb can accurately measure cross-lingual interactions across various multilingual settings. LLMs trained with Climb-derived proportions consistently achieve state-of-the-art multilingual performance, even achieving competitive performance with open-sourced LLMs trained with more tokens.
Abstract:The data mixture used in the pre-training of a language model is a cornerstone of its final performance. However, a static mixing strategy is suboptimal, as the model's learning preferences for various data domains shift dynamically throughout training. Crucially, observing these evolving preferences in a computationally efficient manner remains a significant challenge. To address this, we propose TiKMiX, a method that dynamically adjusts the data mixture according to the model's evolving preferences. TiKMiX introduces Group Influence, an efficient metric for evaluating the impact of data domains on the model. This metric enables the formulation of the data mixing problem as a search for an optimal, influence-maximizing distribution. We solve this via two approaches: TiKMiX-D for direct optimization, and TiKMiX-M, which uses a regression model to predict a superior mixture. We trained models with different numbers of parameters, on up to 1 trillion tokens. TiKMiX-D exceeds the performance of state-of-the-art methods like REGMIX while using just 20% of the computational resources. TiKMiX-M leads to an average performance gain of 2% across 9 downstream benchmarks. Our experiments reveal that a model's data preferences evolve with training progress and scale, and we demonstrate that dynamically adjusting the data mixture based on Group Influence, a direct measure of these preferences, significantly improves performance by mitigating the underdigestion of data seen with static ratios.
Abstract:Data quality is a critical driver of large language model performance, yet existing model-based selection methods focus almost exclusively on English. We introduce MuRating, a scalable framework that transfers high-quality English data-quality signals into a single rater for 17 target languages. MuRating aggregates multiple English "raters" via pairwise comparisons to learn unified document-quality scores,then projects these judgments through translation to train a multilingual evaluator on monolingual, cross-lingual, and parallel text pairs. Applied to web data, MuRating selects balanced subsets of English and multilingual content to pretrain a 1.2 B-parameter LLaMA model. Compared to strong baselines, including QuRater, AskLLM, DCLM and so on, our approach boosts average accuracy on both English benchmarks and multilingual evaluations, with especially large gains on knowledge-intensive tasks. We further analyze translation fidelity, selection biases, and underrepresentation of narrative material, outlining directions for future work.
Abstract:Multilingual large language models (LLMs) are advancing rapidly, with new models frequently claiming support for an increasing number of languages. However, existing evaluation datasets are limited and lack cross-lingual alignment, leaving assessments of multilingual capabilities fragmented in both language and skill coverage. To address this, we introduce MuBench, a benchmark covering 61 languages and evaluating a broad range of capabilities. We evaluate several state-of-the-art multilingual LLMs and find notable gaps between claimed and actual language coverage, particularly a persistent performance disparity between English and low-resource languages. Leveraging MuBench's alignment, we propose Multilingual Consistency (MLC) as a complementary metric to accuracy for analyzing performance bottlenecks and guiding model improvement. Finally, we pretrain a suite of 1.2B-parameter models on English and Chinese with 500B tokens, varying language ratios and parallel data proportions to investigate cross-lingual transfer dynamics.
Abstract:Adapting large-scale foundation models in multi-task scenarios often suffers from task conflict and oblivion. To mitigate such issues, we propose a novel ''model MoE-ization'' strategy that leads to a conflict- and oblivion-resistant multi-task adaptation method. Given a weight matrix of a pre-trained model, our method applies SVD to it and introduces a learnable router to adjust its singular values based on tasks and samples. Accordingly, the weight matrix becomes a Mixture of Orthogonal Rank-one Experts (MoORE), in which each expert corresponds to the outer product of a left singular vector and the corresponding right one. We can improve the model capacity by imposing a learnable orthogonal transform on the right singular vectors. Unlike low-rank adaptation (LoRA) and its MoE-driven variants, MoORE guarantees the experts' orthogonality and maintains the column space of the original weight matrix. These two properties make the adapted model resistant to the conflicts among the new tasks and the oblivion of its original tasks, respectively. Experiments on various datasets demonstrate that MoORE outperforms existing multi-task adaptation methods consistently, showing its superiority in terms of conflict- and oblivion-resistance. The code of the experiments is available at https://github.com/DaShenZi721/MoORE.




Abstract:Quality and diversity are two critical metrics for the training data of large language models (LLMs), positively impacting performance. Existing studies often optimize these metrics separately, typically by first applying quality filtering and then adjusting data proportions. However, these approaches overlook the inherent trade-off between quality and diversity, necessitating their joint consideration. Given a fixed training quota, it is essential to evaluate both the quality of each data point and its complementary effect on the overall dataset. In this paper, we introduce a unified data selection framework called QuaDMix, which automatically optimizes the data distribution for LLM pretraining while balancing both quality and diversity. Specifically, we first propose multiple criteria to measure data quality and employ domain classification to distinguish data points, thereby measuring overall diversity. QuaDMix then employs a unified parameterized data sampling function that determines the sampling probability of each data point based on these quality and diversity related labels. To accelerate the search for the optimal parameters involved in the QuaDMix framework, we conduct simulated experiments on smaller models and use LightGBM for parameters searching, inspired by the RegMix method. Our experiments across diverse models and datasets demonstrate that QuaDMix achieves an average performance improvement of 7.2% across multiple benchmarks. These results outperform the independent strategies for quality and diversity, highlighting the necessity and ability to balance data quality and diversity.
Abstract:Advances in high-throughput sequencing technology have led to significant progress in measuring gene expressions at the single-cell level. The amount of publicly available single-cell RNA-seq (scRNA-seq) data is already surpassing 50M records for humans with each record measuring 20,000 genes. This highlights the need for unsupervised representation learning to fully ingest these data, yet classical transformer architectures are prohibitive to train on such data in terms of both computation and memory. To address this challenge, we propose a novel asymmetric encoder-decoder transformer for scRNA-seq data, called xTrimoGene$^\alpha$ (or xTrimoGene for short), which leverages the sparse characteristic of the data to scale up the pre-training. This scalable design of xTrimoGene reduces FLOPs by one to two orders of magnitude compared to classical transformers while maintaining high accuracy, enabling us to train the largest transformer models over the largest scRNA-seq dataset today. Our experiments also show that the performance of xTrimoGene improves as we scale up the model sizes, and it also leads to SOTA performance over various downstream tasks, such as cell type annotation, perturb-seq effect prediction, and drug combination prediction. xTrimoGene model is now available for use as a service via the following link: https://api.biomap.com/xTrimoGene/apply.
Abstract:Integrating first-order logic constraints (FOLCs) with neural networks is a crucial but challenging problem since it involves modeling intricate correlations to satisfy the constraints. This paper proposes a novel neural layer, LogicMP, whose layers perform mean-field variational inference over an MLN. It can be plugged into any off-the-shelf neural network to encode FOLCs while retaining modularity and efficiency. By exploiting the structure and symmetries in MLNs, we theoretically demonstrate that our well-designed, efficient mean-field iterations effectively mitigate the difficulty of MLN inference, reducing the inference from sequential calculation to a series of parallel tensor operations. Empirical results in three kinds of tasks over graphs, images, and text show that LogicMP outperforms advanced competitors in both performance and efficiency.




Abstract:Drug combination therapy is a well-established strategy for disease treatment with better effectiveness and less safety degradation. However, identifying novel drug combinations through wet-lab experiments is resource intensive due to the vast combinatorial search space. Recently, computational approaches, specifically deep learning models have emerged as an efficient way to discover synergistic combinations. While previous methods reported fair performance, their models usually do not take advantage of multi-modal data and they are unable to handle new drugs or cell lines. In this study, we collected data from various datasets covering various drug-related aspects. Then, we take advantage of large-scale pre-training models to generate informative representations and features for drugs, proteins, and diseases. Based on that, a message-passing graph is built on top to propagate information together with graph structure learning flexibility. This is first introduced in the biological networks and enables us to generate pseudo-relations in the graph. Our framework achieves state-of-the-art results in comparison with other deep learning-based methods on synergistic prediction benchmark datasets. We are also capable of inferencing new drug combination data in a test on an independent set released by AstraZeneca, where 10% of improvement over previous methods is observed. In addition, we're robust against unseen drugs and surpass almost 15% AU ROC compared to the second-best model. We believe our framework contributes to both the future wet-lab discovery of novel drugs and the building of promising guidance for precise combination medicine.




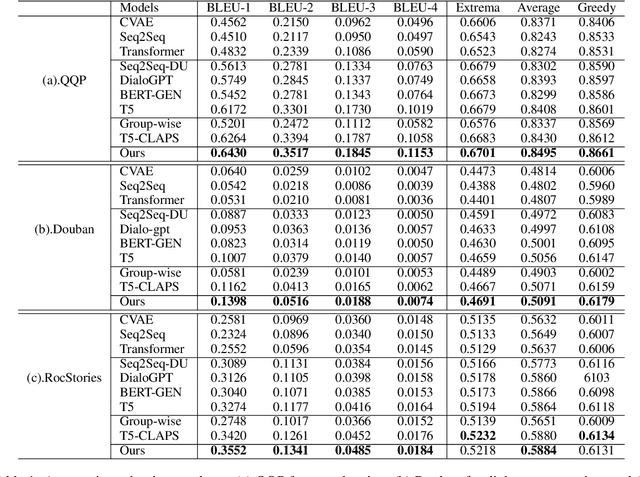
Abstract:Contrastive learning has achieved impressive success in generation tasks to militate the "exposure bias" problem and discriminatively exploit the different quality of references. Existing works mostly focus on contrastive learning on the instance-level without discriminating the contribution of each word, while keywords are the gist of the text and dominant the constrained mapping relationships. Hence, in this work, we propose a hierarchical contrastive learning mechanism, which can unify hybrid granularities semantic meaning in the input text. Concretely, we first propose a keyword graph via contrastive correlations of positive-negative pairs to iteratively polish the keyword representations. Then, we construct intra-contrasts within instance-level and keyword-level, where we assume words are sampled nodes from a sentence distribution. Finally, to bridge the gap between independent contrast levels and tackle the common contrast vanishing problem, we propose an inter-contrast mechanism that measures the discrepancy between contrastive keyword nodes respectively to the instance distribution. Experiments demonstrate that our model outperforms competitive baselines on paraphrasing, dialogue generation, and storytelling tasks.