



Abstract:Real-world enterprise text-to-SQL workflows often involve complex cloud or local data across various database systems, multiple SQL queries in various dialects, and diverse operations from data transformation to analytics. We introduce Spider 2.0, an evaluation framework comprising 632 real-world text-to-SQL workflow problems derived from enterprise-level database use cases. The databases in Spider 2.0 are sourced from real data applications, often containing over 1,000 columns and stored in local or cloud database systems such as BigQuery and Snowflake. We show that solving problems in Spider 2.0 frequently requires understanding and searching through database metadata, dialect documentation, and even project-level codebases. This challenge calls for models to interact with complex SQL workflow environments, process extremely long contexts, perform intricate reasoning, and generate multiple SQL queries with diverse operations, often exceeding 100 lines, which goes far beyond traditional text-to-SQL challenges. Our evaluations indicate that based on o1-preview, our code agent framework successfully solves only 17.0% of the tasks, compared with 91.2% on Spider 1.0 and 73.0% on BIRD. Our results on Spider 2.0 show that while language models have demonstrated remarkable performance in code generation -- especially in prior text-to-SQL benchmarks -- they require significant improvement in order to achieve adequate performance for real-world enterprise usage. Progress on Spider 2.0 represents crucial steps towards developing intelligent, autonomous, code agents for real-world enterprise settings. Our code, baseline models, and data are available at https://spider2-sql.github.io.




Abstract:Data science and engineering workflows often span multiple stages, from warehousing to orchestration, using tools like BigQuery, dbt, and Airbyte. As vision language models (VLMs) advance in multimodal understanding and code generation, VLM-based agents could potentially automate these workflows by generating SQL queries, Python code, and GUI operations. This automation can improve the productivity of experts while democratizing access to large-scale data analysis. In this paper, we introduce Spider2-V, the first multimodal agent benchmark focusing on professional data science and engineering workflows, featuring 494 real-world tasks in authentic computer environments and incorporating 20 enterprise-level professional applications. These tasks, derived from real-world use cases, evaluate the ability of a multimodal agent to perform data-related tasks by writing code and managing the GUI in enterprise data software systems. To balance realistic simulation with evaluation simplicity, we devote significant effort to developing automatic configurations for task setup and carefully crafting evaluation metrics for each task. Furthermore, we supplement multimodal agents with comprehensive documents of these enterprise data software systems. Our empirical evaluation reveals that existing state-of-the-art LLM/VLM-based agents do not reliably automate full data workflows (14.0% success). Even with step-by-step guidance, these agents still underperform in tasks that require fine-grained, knowledge-intensive GUI actions (16.2%) and involve remote cloud-hosted workspaces (10.6%). We hope that Spider2-V paves the way for autonomous multimodal agents to transform the automation of data science and engineering workflow. Our code and data are available at https://spider2-v.github.io.
Abstract:Large Language Models (LLMs) applied to code-related applications have emerged as a prominent field, attracting significant interest from both academia and industry. However, as new and improved LLMs are developed, existing evaluation benchmarks (e.g., HumanEval, MBPP) are no longer sufficient for assessing their capabilities. In this work, we propose LiveCodeBench, a comprehensive and contamination-free evaluation of LLMs for code, which continuously collects new problems over time from contests across three competition platforms, namely LeetCode, AtCoder, and CodeForces. Notably, our benchmark also focuses on a broader range of code related capabilities, such as self-repair, code execution, and test output prediction, beyond just code generation. Currently, LiveCodeBench hosts four hundred high-quality coding problems that were published between May 2023 and February 2024. We have evaluated 9 base LLMs and 20 instruction-tuned LLMs on LiveCodeBench. We present empirical findings on contamination, holistic performance comparisons, potential overfitting in existing benchmarks as well as individual model comparisons. We will release all prompts and model completions for further community analysis, along with a general toolkit for adding new scenarios and model




Abstract:We introduce Syntax-Aware Fill-In-the-Middle (SAFIM), a new benchmark for evaluating Large Language Models (LLMs) on the code Fill-in-the-Middle (FIM) task. This benchmark focuses on syntax-aware completions of program structures such as code blocks and conditional expressions, and includes 17,720 examples from multiple programming languages, sourced from recent code submissions after April 2022 to minimize data contamination. SAFIM provides a robust framework with various prompt designs and novel syntax-aware post-processing techniques, facilitating accurate and fair comparisons across LLMs. Our comprehensive evaluation of 15 LLMs shows that FIM pretraining not only enhances FIM proficiency but also improves Left-to-Right (L2R) inference using LLMs. Our findings challenge conventional beliefs and suggest that pretraining methods and data quality have more impact than model size. SAFIM thus serves as a foundational platform for future research in effective pretraining strategies for code LLMs. The evaluation toolkit and dataset are available at https://github.com/gonglinyuan/safim, and the leaderboard is available at https://safimbenchmark.com.
Abstract:We introduce DS-1000, a code generation benchmark with a thousand data science problems spanning seven Python libraries, such as NumPy and Pandas. Compared to prior works, DS-1000 incorporates three core features. First, our problems reflect diverse, realistic, and practical use cases since we collected them from StackOverflow. Second, our automatic evaluation is highly specific (reliable) -- across all Codex-002-predicted solutions that our evaluation accept, only 1.8% of them are incorrect; we achieve this with multi-criteria metrics, checking both functional correctness by running test cases and surface-form constraints by restricting API usages or keywords. Finally, we proactively defend against memorization by slightly modifying our problems to be different from the original StackOverflow source; consequently, models cannot answer them correctly by memorizing the solutions from pre-training. The current best public system (Codex-002) achieves 43.3% accuracy, leaving ample room for improvement. We release our benchmark at https://ds1000-code-gen.github.io.




Abstract:Real-world natural language processing (NLP) models need to be continually updated to fix the prediction errors in out-of-distribution (OOD) data streams while overcoming catastrophic forgetting. However, existing continual learning (CL) problem setups cannot cover such a realistic and complex scenario. In response to this, we propose a new CL problem formulation dubbed continual model refinement (CMR). Compared to prior CL settings, CMR is more practical and introduces unique challenges (boundary-agnostic and non-stationary distribution shift, diverse mixtures of multiple OOD data clusters, error-centric streams, etc.). We extend several existing CL approaches to the CMR setting and evaluate them extensively. For benchmarking and analysis, we propose a general sampling algorithm to obtain dynamic OOD data streams with controllable non-stationarity, as well as a suite of metrics measuring various aspects of online performance. Our experiments and detailed analysis reveal the promise and challenges of the CMR problem, supporting that studying CMR in dynamic OOD streams can benefit the longevity of deployed NLP models in production.




Abstract:Code is seldom written in a single left-to-right pass and is instead repeatedly edited and refined. We introduce InCoder, a unified generative model that can perform program synthesis (via left-to-right generation) as well as editing (via infilling). InCoder is trained to generate code files from a large corpus of permissively licensed code, where regions of code have been randomly masked and moved to the end of each file, allowing code infilling with bidirectional context. Our model is the first generative model that is able to directly perform zero-shot code infilling, which we evaluate on challenging tasks such as type inference, comment generation, and variable re-naming. We find that the ability to condition on bidirectional context substantially improves performance on these tasks, while still performing comparably on standard program synthesis benchmarks in comparison to left-to-right only models pretrained at similar scale. The InCoder models and code are publicly released. https://sites.google.com/view/incoder-code-models




Abstract:Many search systems work with large amounts of natural language data, e.g., search queries, user profiles, and documents. Building a successful search system requires a thorough understanding of textual data semantics, where deep learning based natural language processing techniques (deep NLP) can be of great help. In this paper, we introduce a comprehensive study for applying deep NLP techniques to five representative tasks in search systems: query intent prediction (classification), query tagging (sequential tagging), document ranking (ranking), query auto completion (language modeling), and query suggestion (sequence to sequence). We also introduce BERT pre-training as a sixth task that can be applied to many of the other tasks. Through the model design and experiments of the six tasks, readers can find answers to four important questions: (1). When is deep NLP helpful/not helpful in search systems? (2). How to address latency challenges? (3). How to ensure model robustness? This work builds on existing efforts of LinkedIn search, and is tested at scale on LinkedIn's commercial search engines. We believe our experiences can provide useful insights for the industry and research communities.




Abstract:Many search systems work with large amounts of natural language data, e.g., search queries, user profiles and documents, where deep learning based natural language processing techniques (deep NLP) can be of great help. In this paper, we introduce a comprehensive study of applying deep NLP techniques to five representative tasks in search engines. Through the model design and experiments of the five tasks, readers can find answers to three important questions: (1) When is deep NLP helpful/not helpful in search systems? (2) How to address latency challenges? (3) How to ensure model robustness? This work builds on existing efforts of LinkedIn search, and is tested at scale on a commercial search engine. We believe our experiences can provide useful insights for the industry and research communities.




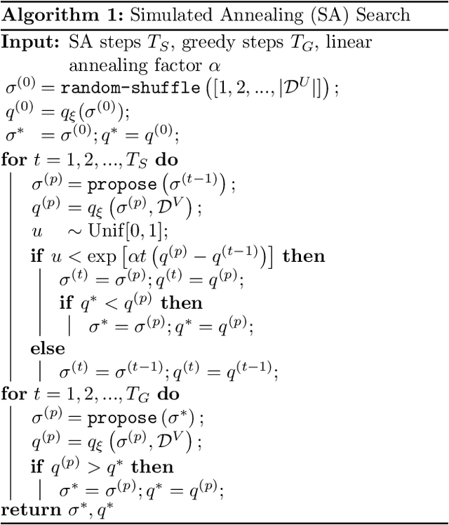
Abstract:Active learning (AL) algorithms may achieve better performance with fewer data because the model guides the data selection process. While many algorithms have been proposed, there is little study on what the optimal AL algorithm looks like, which would help researchers understand where their models fall short and iterate on the design. In this paper, we present a simulated annealing algorithm to search for this optimal oracle and analyze it for several different tasks. We present several qualitative and quantitative insights into the optimal behavior and contrast this behavior with those of various heuristics. When augmented by with one particular insight, heuristics perform consistently better. We hope that our findings can better inform future active learning research. The code for the experiments is available at https://github.com/YilunZhou/optimal-active-learning.