Shammie




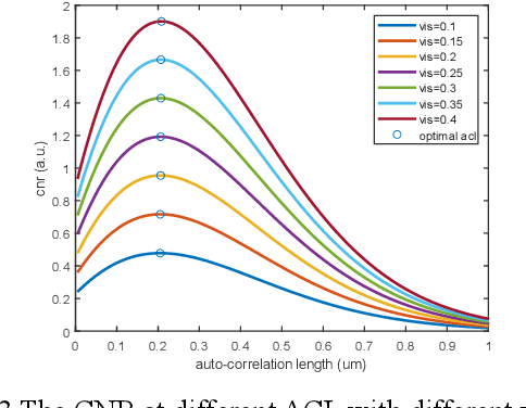
Abstract:Background: X-ray grating-based dark-field imaging can sense the small angle scattering caused by an object's micro-structure. This technique is sensitive to lung's porous alveoli and is able to detect lung disease at an early stage. Up to now, a human-scale dark-field CT has been built for lung imaging. Purpose: This study aimed to develop a more thorough optimization method for dark-field lung CT and summarize principles for system design. Methods: We proposed a metric in the form of contrast-to-noise ratio (CNR) for system parameter optimization, and designed a phantom with concentric circle shape to fit the task of lung disease detection. Finally, we developed the calculation method of the CNR metric, and analyzed the relation between CNR and system parameters. Results: We showed that with other parameters held constant, the CNR first increases and then decreases with the system auto-correlation length (ACL). The optimal ACL is nearly not influenced by system's visibility, and is only related to phantom's property, i.e., scattering material's size and phantom's absorption. For our phantom, the optimal ACL is about 0.21 {\mu}m. As for system geometry, larger source-detector and isocenter-detector distance can increase the system's maximal ACL, helping the system meet the optimal ACL more easily. Conclusions: This study proposed a more reasonable metric and a task-based process for optimization, and demonstrated that the system optimal ACL is only related to the phantom's property.
Abstract:Blind Compressed Image Restoration (CIR) has garnered significant attention due to its practical applications. It aims to mitigate compression artifacts caused by unknown quality factors, particularly with JPEG codecs. Existing works on blind CIR often seek assistance from a quality factor prediction network to facilitate their network to restore compressed images. However, the predicted numerical quality factor lacks spatial information, preventing network adaptability toward image contents. Recent studies in prompt-learning-based image restoration have showcased the potential of prompts to generalize across varied degradation types and degrees. This motivated us to design a prompt-learning-based compressed image restoration network, dubbed PromptCIR, which can effectively restore images from various compress levels. Specifically, PromptCIR exploits prompts to encode compression information implicitly, where prompts directly interact with soft weights generated from image features, thus providing dynamic content-aware and distortion-aware guidance for the restoration process. The light-weight prompts enable our method to adapt to different compression levels, while introducing minimal parameter overhead. Overall, PromptCIR leverages the powerful transformer-based backbone with the dynamic prompt module to proficiently handle blind CIR tasks, winning first place in the NTIRE 2024 challenge of blind compressed image enhancement track. Extensive experiments have validated the effectiveness of our proposed PromptCIR. The code is available at https://github.com/lbc12345/PromptCIR-NTIRE24.
Abstract:With the advent of virtual reality technology, omnidirectional image (ODI) rescaling techniques are increasingly embraced for reducing transmitted and stored file sizes while preserving high image quality. Despite this progress, current ODI rescaling methods predominantly focus on enhancing the quality of images in equirectangular projection (ERP) format, which overlooks the fact that the content viewed on head mounted displays (HMDs) is actually a rendered viewport instead of an ERP image. In this work, we emphasize that focusing solely on ERP quality results in inferior viewport visual experiences for users. Thus, we propose ResVR, which is the first comprehensive framework for the joint Rescaling and Viewport Rendering of ODIs. ResVR allows obtaining LR ERP images for transmission while rendering high-quality viewports for users to watch on HMDs. In our ResVR, a novel discrete pixel sampling strategy is developed to tackle the complex mapping between the viewport and ERP, enabling end-to-end training of ResVR pipeline. Furthermore, a spherical pixel shape representation technique is innovatively derived from spherical differentiation to significantly improve the visual quality of rendered viewports. Extensive experiments demonstrate that our ResVR outperforms existing methods in viewport rendering tasks across different fields of view, resolutions, and view directions while keeping a low transmission overhead.
Abstract:Emotion decoding using Electroencephalography (EEG)-based affective brain-computer interfaces represents a significant area within the field of affective computing. In the present study, we propose a novel non-deep transfer learning method, termed as Manifold-based Domain adaptation with Dynamic Distribution (MDDD). The proposed MDDD includes four main modules: manifold feature transformation, dynamic distribution alignment, classifier learning, and ensemble learning. The data undergoes a transformation onto an optimal Grassmann manifold space, enabling dynamic alignment of the source and target domains. This process prioritizes both marginal and conditional distributions according to their significance, ensuring enhanced adaptation efficiency across various types of data. In the classifier learning, the principle of structural risk minimization is integrated to develop robust classification models. This is complemented by dynamic distribution alignment, which refines the classifier iteratively. Additionally, the ensemble learning module aggregates the classifiers obtained at different stages of the optimization process, which leverages the diversity of the classifiers to enhance the overall prediction accuracy. The experimental results indicate that MDDD outperforms traditional non-deep learning methods, achieving an average improvement of 3.54%, and is comparable to deep learning methods. This suggests that MDDD could be a promising method for enhancing the utility and applicability of aBCIs in real-world scenarios.




Abstract:Lane detection has evolved highly functional autonomous driving system to understand driving scenes even under complex environments. In this paper, we work towards developing a generalized computer vision system able to detect lanes without using any annotation. We make the following contributions: (i) We illustrate how to perform unsupervised 3D lane segmentation by leveraging the distinctive intensity of lanes on the LiDAR point cloud frames, and then obtain the noisy lane labels in the 2D plane by projecting the 3D points; (ii) We propose a novel self-supervised training scheme, dubbed LaneCorrect, that automatically corrects the lane label by learning geometric consistency and instance awareness from the adversarial augmentations; (iii) With the self-supervised pre-trained model, we distill to train a student network for arbitrary target lane (e.g., TuSimple) detection without any human labels; (iv) We thoroughly evaluate our self-supervised method on four major lane detection benchmarks (including TuSimple, CULane, CurveLanes and LLAMAS) and demonstrate excellent performance compared with existing supervised counterpart, whilst showing more effective results on alleviating the domain gap, i.e., training on CULane and test on TuSimple.




Abstract:The emergent large language/multimodal models facilitate the evolution of mobile agents, especially in the task of mobile UI automation. However, existing evaluation approaches, which rely on human validation or established datasets to compare agent-predicted actions with predefined ones, are unscalable and unfaithful. To overcome these limitations, this paper presents LlamaTouch, a testbed for on-device agent execution and faithful, scalable agent evaluation. By observing that the task execution process only transfers UI states, LlamaTouch employs a novel evaluation approach that only assesses whether an agent traverses all manually annotated, essential application/system states. LlamaTouch comprises three key techniques: (1) On-device task execution that enables mobile agents to interact with real mobile environments for task completion. (2) Fine-grained UI component annotation that merges pixel-level screenshots and textual screen hierarchies to explicitly identify and precisely annotate essential UI components with a rich set of designed annotation primitives. (3) A multi-level state matching algorithm that utilizes exact and fuzzy matching to accurately detect critical information in each screen with unpredictable UI layout/content dynamics. LlamaTouch currently incorporates four mobile agents and 495 UI automation tasks, encompassing both tasks in the widely-used datasets and our self-constructed ones for more diverse mobile applications. Evaluation results demonstrate the LlamaTouch's high faithfulness of evaluation in real environments and its better scalability than human validation. LlamaTouch also enables easy task annotation and integration of new mobile agents. Code and dataset are publicly available at https://github.com/LlamaTouch/LlamaTouch.
Abstract:Lymph node (LN) assessment is a critical, indispensable yet very challenging task in the routine clinical workflow of radiology and oncology. Accurate LN analysis is essential for cancer diagnosis, staging, and treatment planning. Finding scatteredly distributed, low-contrast clinically relevant LNs in 3D CT is difficult even for experienced physicians under high inter-observer variations. Previous automatic LN detection works typically yield limited recall and high false positives (FPs) due to adjacent anatomies with similar image intensities, shapes, or textures (vessels, muscles, esophagus, etc). In this work, we propose a new LN DEtection TRansformer, named LN-DETR, to achieve more accurate performance. By enhancing the 2D backbone with a multi-scale 2.5D feature fusion to incorporate 3D context explicitly, more importantly, we make two main contributions to improve the representation quality of LN queries. 1) Considering that LN boundaries are often unclear, an IoU prediction head and a location debiased query selection are proposed to select LN queries of higher localization accuracy as the decoder query's initialization. 2) To reduce FPs, query contrastive learning is employed to explicitly reinforce LN queries towards their best-matched ground-truth queries over unmatched query predictions. Trained and tested on 3D CT scans of 1067 patients (with 10,000+ labeled LNs) via combining seven LN datasets from different body parts (neck, chest, and abdomen) and pathologies/cancers, our method significantly improves the performance of previous leading methods by > 4-5% average recall at the same FP rates in both internal and external testing. We further evaluate on the universal lesion detection task using NIH DeepLesion benchmark, and our method achieves the top performance of 88.46% averaged recall across 0.5 to 4 FPs per image, compared with other leading reported results.




Abstract:Recent advancements in 3D generation are predominantly propelled by improvements in 3D-aware image diffusion models which are pretrained on Internet-scale image data and fine-tuned on massive 3D data, offering the capability of producing highly consistent multi-view images. However, due to the scarcity of synchronized multi-view video data, it is impractical to adapt this paradigm to 4D generation directly. Despite that, the available video and 3D data are adequate for training video and multi-view diffusion models that can provide satisfactory dynamic and geometric priors respectively. In this paper, we present Diffusion$^2$, a novel framework for dynamic 3D content creation that leverages the knowledge about geometric consistency and temporal smoothness from these models to directly sample dense multi-view and multi-frame images which can be employed to optimize continuous 4D representation. Specifically, we design a simple yet effective denoising strategy via score composition of video and multi-view diffusion models based on the probability structure of the images to be generated. Owing to the high parallelism of the image generation and the efficiency of the modern 4D reconstruction pipeline, our framework can generate 4D content within few minutes. Furthermore, our method circumvents the reliance on 4D data, thereby having the potential to benefit from the scalability of the foundation video and multi-view diffusion models. Extensive experiments demonstrate the efficacy of our proposed framework and its capability to flexibly adapt to various types of prompts.




Abstract:Automated generation of feedback on programming assignments holds significant benefits for programming education, especially when it comes to advanced assignments. Automated Program Repair techniques, especially Large Language Model based approaches, have gained notable recognition for their potential to fix introductory assignments. However, the programs used for evaluation are relatively simple. It remains unclear how existing approaches perform in repairing programs from higher-level programming courses. To address these limitations, we curate a new advanced student assignment dataset named Defects4DS from a higher-level programming course. Subsequently, we identify the challenges related to fixing bugs in advanced assignments. Based on the analysis, we develop a framework called PaR that is powered by the LLM. PaR works in three phases: Peer Solution Selection, Multi-Source Prompt Generation, and Program Repair. Peer Solution Selection identifies the closely related peer programs based on lexical, semantic, and syntactic criteria. Then Multi-Source Prompt Generation adeptly combines multiple sources of information to create a comprehensive and informative prompt for the last Program Repair stage. The evaluation on Defects4DS and another well-investigated ITSP dataset reveals that PaR achieves a new state-of-the-art performance, demonstrating impressive improvements of 19.94% and 15.2% in repair rate compared to prior state-of-the-art LLM- and symbolic-based approaches, respectively




Abstract:The rise of Large Language Models (LLMs) has significantly advanced many applications on software engineering tasks, particularly in code generation. Despite the promising performance, LLMs are prone to generate hallucinations, which means LLMs might produce outputs that deviate from users' intent, exhibit internal inconsistencies, or misalign with the factual knowledge, making the deployment of LLMs potentially risky in a wide range of applications. Existing work mainly focuses on investing the hallucination in the domain of natural language generation (NLG), leaving a gap in understanding the types and extent of hallucinations in the context of code generation. To bridge the gap, we conducted a thematic analysis of the LLM-generated code to summarize and categorize the hallucinations present in it. Our study established a comprehensive taxonomy of hallucinations in LLM-generated code, encompassing 5 primary categories of hallucinations depending on the conflicting objectives and varying degrees of deviation observed in code generation. Furthermore, we systematically analyzed the distribution of hallucinations, exploring variations among different LLMs and their correlation with code correctness. Based on the results, we proposed HalluCode, a benchmark for evaluating the performance of code LLMs in recognizing hallucinations. Hallucination recognition and mitigation experiments with HalluCode and HumanEval show existing LLMs face great challenges in recognizing hallucinations, particularly in identifying their types, and are hardly able to mitigate hallucinations. We believe our findings will shed light on future research about hallucination evaluation, detection, and mitigation, ultimately paving the way for building more effective and reliable code LLMs in the future.