Abstract:This paper investigates numerical solution methods for the Schatten-$p$ quasi-norm regularized problem with $p \in [0,1]$, which has been widely studied for finding low-rank solutions of linear inverse problems and gained successful applications in various mathematics and applied science fields. We propose a dynamic proximal gradient algorithm that, through the use of the Cayley transformation, avoids computationally expensive singular value decompositions at each iteration, thereby significantly reducing the computational complexity. The algorithm incorporates two step size selection strategies: an adaptive backtracking search and an explicit step size rule. We establish the sublinear convergence of the proposed algorithm for all $p \in [0,1]$ within the framework of the Kurdyka-Lojasiewicz property. Notably, under mild assumptions, we show that the generated sequence converges to a stationary point of the objective function of the problem. For the special case when $p=1$, the linear convergence is further proved under the strict complementarity-type regularity condition commonly used in the linear convergence analysis of the forward-backward splitting algorithms. Preliminary numerical results validate the superior computational efficiency of the proposed algorithm.




Abstract:The real-time detection of small objects in complex scenes, such as the unmanned aerial vehicle (UAV) photography captured by drones, has dual challenges of detecting small targets (<32 pixels) and maintaining real-time efficiency on resource-constrained platforms. While YOLO-series detectors have achieved remarkable success in real-time large object detection, they suffer from significantly higher false negative rates for drone-based detection where small objects dominate, compared to large object scenarios. This paper proposes HierLight-YOLO, a hierarchical feature fusion and lightweight model that enhances the real-time detection of small objects, based on the YOLOv8 architecture. We propose the Hierarchical Extended Path Aggregation Network (HEPAN), a multi-scale feature fusion method through hierarchical cross-level connections, enhancing the small object detection accuracy. HierLight-YOLO includes two innovative lightweight modules: Inverted Residual Depthwise Convolution Block (IRDCB) and Lightweight Downsample (LDown) module, which significantly reduce the model's parameters and computational complexity without sacrificing detection capabilities. Small object detection head is designed to further enhance spatial resolution and feature fusion to tackle the tiny object (4 pixels) detection. Comparison experiments and ablation studies on the VisDrone2019 benchmark demonstrate state-of-the-art performance of HierLight-YOLO.
Abstract:Emotion decoding using Electroencephalography (EEG)-based affective brain-computer interfaces represents a significant area within the field of affective computing. In the present study, we propose a novel non-deep transfer learning method, termed as Manifold-based Domain adaptation with Dynamic Distribution (MDDD). The proposed MDDD includes four main modules: manifold feature transformation, dynamic distribution alignment, classifier learning, and ensemble learning. The data undergoes a transformation onto an optimal Grassmann manifold space, enabling dynamic alignment of the source and target domains. This process prioritizes both marginal and conditional distributions according to their significance, ensuring enhanced adaptation efficiency across various types of data. In the classifier learning, the principle of structural risk minimization is integrated to develop robust classification models. This is complemented by dynamic distribution alignment, which refines the classifier iteratively. Additionally, the ensemble learning module aggregates the classifiers obtained at different stages of the optimization process, which leverages the diversity of the classifiers to enhance the overall prediction accuracy. The experimental results indicate that MDDD outperforms traditional non-deep learning methods, achieving an average improvement of 3.54%, and is comparable to deep learning methods. This suggests that MDDD could be a promising method for enhancing the utility and applicability of aBCIs in real-world scenarios.



Abstract:In this paper, we discuss the statistical properties of the $\ell_q$ optimization methods $(0<q\leq 1)$, including the $\ell_q$ minimization method and the $\ell_q$ regularization method, for estimating a sparse parameter from noisy observations in high-dimensional linear regression with either a deterministic or random design. For this purpose, we introduce a general $q$-restricted eigenvalue condition (REC) and provide its sufficient conditions in terms of several widely-used regularity conditions such as sparse eigenvalue condition, restricted isometry property, and mutual incoherence property. By virtue of the $q$-REC, we exhibit the stable recovery property of the $\ell_q$ optimization methods for either deterministic or random designs by showing that the $\ell_2$ recovery bound $O(\epsilon^2)$ for the $\ell_q$ minimization method and the oracle inequality and $\ell_2$ recovery bound $O(\lambda^{\frac{2}{2-q}}s)$ for the $\ell_q$ regularization method hold respectively with high probability. The results in this paper are nonasymptotic and only assume the weak $q$-REC. The preliminary numerical results verify the established statistical property and demonstrate the advantages of the $\ell_q$ regularization method over some existing sparse optimization methods.



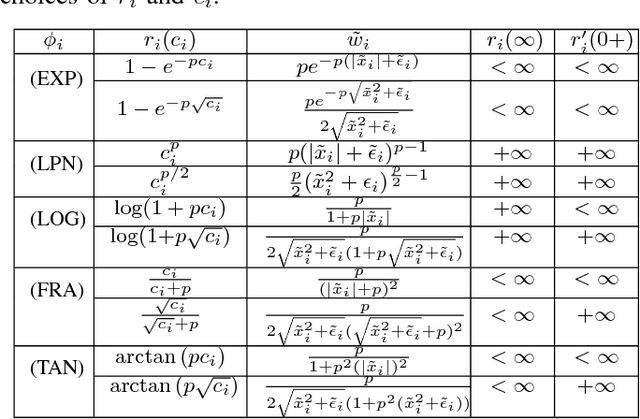
Abstract:We present a general formulation of nonconvex and nonsmooth sparse optimization problems with a convexset constraint, which takes into account most existing types of nonconvex sparsity-inducing terms. It thus brings strong applicability to a wide range of applications. We further design a general algorithmic framework of adaptively iterative reweighted algorithms for solving the nonconvex and nonsmooth sparse optimization problems. This is achieved by solving a sequence of weighted convex penalty subproblems with adaptively updated weights. The first-order optimality condition is then derived and the global convergence results are provided under loose assumptions. This makes our theoretical results a practical tool for analyzing a family of various iteratively reweighted algorithms. In particular, for the iteratively reweighed $\ell_1$-algorithm, global convergence analysis is provided for cases with diminishing relaxation parameter. For the iteratively reweighed $\ell_2$-algorithm, adaptively decreasing relaxation parameter is applicable and the existence of the cluster point to the algorithm is established. The effectiveness and efficiency of our proposed formulation and the algorithms are demonstrated in numerical experiments in various sparse optimization problems.