Abstract:Recent advances in video generation produce visually realistic content, yet the absence of synchronized audio severely compromises immersion. To address key challenges in video-to-audio generation, including multimodal data scarcity, modality imbalance and limited audio quality in existing methods, we propose HunyuanVideo-Foley, an end-to-end text-video-to-audio framework that synthesizes high-fidelity audio precisely aligned with visual dynamics and semantic context. Our approach incorporates three core innovations: (1) a scalable data pipeline curating 100k-hour multimodal datasets through automated annotation; (2) a representation alignment strategy using self-supervised audio features to guide latent diffusion training, efficiently improving audio quality and generation stability; (3) a novel multimodal diffusion transformer resolving modal competition, containing dual-stream audio-video fusion through joint attention, and textual semantic injection via cross-attention. Comprehensive evaluations demonstrate that HunyuanVideo-Foley achieves new state-of-the-art performance across audio fidelity, visual-semantic alignment, temporal alignment and distribution matching. The demo page is available at: https://szczesnys.github.io/hunyuanvideo-foley/.
Abstract:Although GRPO substantially enhances flow matching models in human preference alignment of image generation, methods such as FlowGRPO still exhibit inefficiency due to the necessity of sampling and optimizing over all denoising steps specified by the Markov Decision Process (MDP). In this paper, we propose $\textbf{MixGRPO}$, a novel framework that leverages the flexibility of mixed sampling strategies through the integration of stochastic differential equations (SDE) and ordinary differential equations (ODE). This streamlines the optimization process within the MDP to improve efficiency and boost performance. Specifically, MixGRPO introduces a sliding window mechanism, using SDE sampling and GRPO-guided optimization only within the window, while applying ODE sampling outside. This design confines sampling randomness to the time-steps within the window, thereby reducing the optimization overhead, and allowing for more focused gradient updates to accelerate convergence. Additionally, as time-steps beyond the sliding window are not involved in optimization, higher-order solvers are supported for sampling. So we present a faster variant, termed $\textbf{MixGRPO-Flash}$, which further improves training efficiency while achieving comparable performance. MixGRPO exhibits substantial gains across multiple dimensions of human preference alignment, outperforming DanceGRPO in both effectiveness and efficiency, with nearly 50% lower training time. Notably, MixGRPO-Flash further reduces training time by 71%. Codes and models are available at $\href{https://github.com/Tencent-Hunyuan/MixGRPO}{MixGRPO}$.
Abstract:Numerous efforts have been made to extend the ``next token prediction'' paradigm to visual contents, aiming to create a unified approach for both image generation and understanding. Nevertheless, attempts to generate images through autoregressive modeling with discrete tokens have been plagued by issues such as low visual fidelity, distorted outputs, and failure to adhere to complex instructions when rendering intricate details. These shortcomings are likely attributed to cumulative errors during autoregressive inference or information loss incurred during the discretization process. Probably due to this challenge, recent research has increasingly shifted toward jointly training image generation with diffusion objectives and language generation with autoregressive objectives, moving away from unified modeling approaches. In this work, we demonstrate that reinforcement learning can effectively mitigate artifacts and largely enhance the generation quality of a discrete autoregressive modeling method, thereby enabling seamless integration of image and language generation. Our framework comprises a semantic image tokenizer, a unified autoregressive model for both language and images, and an offline diffusion decoder for image generation, termed X-Omni. X-Omni achieves state-of-the-art performance in image generation tasks using a 7B language model, producing images with high aesthetic quality while exhibiting strong capabilities in following instructions and rendering long texts.




Abstract:Current large-scale diffusion models represent a giant leap forward in conditional image synthesis, capable of interpreting diverse cues like text, human poses, and edges. However, their reliance on substantial computational resources and extensive data collection remains a bottleneck. On the other hand, the integration of existing diffusion models, each specialized for different controls and operating in unique latent spaces, poses a challenge due to incompatible image resolutions and latent space embedding structures, hindering their joint use. Addressing these constraints, we present "PanGu-Draw", a novel latent diffusion model designed for resource-efficient text-to-image synthesis that adeptly accommodates multiple control signals. We first propose a resource-efficient Time-Decoupling Training Strategy, which splits the monolithic text-to-image model into structure and texture generators. Each generator is trained using a regimen that maximizes data utilization and computational efficiency, cutting data preparation by 48% and reducing training resources by 51%. Secondly, we introduce "Coop-Diffusion", an algorithm that enables the cooperative use of various pre-trained diffusion models with different latent spaces and predefined resolutions within a unified denoising process. This allows for multi-control image synthesis at arbitrary resolutions without the necessity for additional data or retraining. Empirical validations of Pangu-Draw show its exceptional prowess in text-to-image and multi-control image generation, suggesting a promising direction for future model training efficiencies and generation versatility. The largest 5B T2I PanGu-Draw model is released on the Ascend platform. Project page: $\href{https://pangu-draw.github.io}{this~https~URL}$




Abstract:Vector Quantization (VQ) is an appealing model compression method to obtain a tiny model with less accuracy loss. While methods to obtain better codebooks and codes under fixed clustering dimensionality have been extensively studied, optimizations of the vectors in favour of clustering performance are not carefully considered, especially via the reduction of vector dimensionality. This paper reports our recent progress on the combination of dimensionality compression and vector quantization, proposing a Low-Rank Representation Vector Quantization ($\text{LR}^2\text{VQ}$) method that outperforms previous VQ algorithms in various tasks and architectures. $\text{LR}^2\text{VQ}$ joins low-rank representation with subvector clustering to construct a new kind of building block that is directly optimized through end-to-end training over the task loss. Our proposed design pattern introduces three hyper-parameters, the number of clusters $k$, the size of subvectors $m$ and the clustering dimensionality $\tilde{d}$. In our method, the compression ratio could be directly controlled by $m$, and the final accuracy is solely determined by $\tilde{d}$. We recognize $\tilde{d}$ as a trade-off between low-rank approximation error and clustering error and carry out both theoretical analysis and experimental observations that empower the estimation of the proper $\tilde{d}$ before fine-tunning. With a proper $\tilde{d}$, we evaluate $\text{LR}^2\text{VQ}$ with ResNet-18/ResNet-50 on ImageNet classification datasets, achieving 2.8\%/1.0\% top-1 accuracy improvements over the current state-of-the-art VQ-based compression algorithms with 43$\times$/31$\times$ compression factor.




Abstract:The superior performance of modern deep networks usually comes at the price of a costly training procedure. In this paper, we present a novel curriculum learning approach for the efficient training of visual backbones (e.g., vision Transformers). The proposed method is inspired by the phenomenon that deep networks mainly learn to recognize some 'easier-to-learn' discriminative patterns within each example at earlier stages of training, e.g., the lower-frequency components of images and the original information before data augmentation. Driven by this observation, we propose a curriculum where the model always leverages all the training data at each epoch, while the curriculum starts with only exposing the 'easier-to-learn' patterns of each example, and introduces gradually more difficult patterns. To implement this idea, we 1) introduce a cropping operation in the Fourier spectrum of the inputs, which enables the model to learn from only the lower-frequency components efficiently, and 2) demonstrate that exposing the features of original images amounts to adopting weaker data augmentation. Our resulting algorithm, EfficientTrain, is simple, general, yet surprisingly effective. For example, it reduces the training time of a wide variety of popular models (e.g., ConvNeXts, DeiT, PVT, and Swin/CSWin Transformers) by more than ${1.5\times}$ on ImageNet-1K/22K without sacrificing the accuracy. It is effective for self-supervised learning (i.e., MAE) as well. Code is available at https://github.com/LeapLabTHU/EfficientTrain.




Abstract:In this paper, we propose a Collaboration of Experts (CoE) framework to pool together the expertise of multiple networks towards a common aim. Each expert is an individual network with expertise on a unique portion of the dataset, which enhances the collective capacity. Given a sample, an expert is selected by the delegator, which simultaneously outputs a rough prediction to support early termination. To fulfill this framework, we propose three modules to impel each model to play its role, namely weight generation module (WGM), label generation module (LGM) and variance calculation module (VCM). Our method achieves the state-of-the-art performance on ImageNet, 80.7% top-1 accuracy with 194M FLOPs. Combined with PWLU activation function and CondConv, CoE further achieves the accuracy of 80.0% with only 100M FLOPs for the first time. More importantly, our method is hardware friendly and achieves a 3-6x speedup compared with some existing conditional computation approaches.




Abstract:The choice of activation functions is crucial for modern deep neural networks. Popular hand-designed activation functions like Rectified Linear Unit(ReLU) and its variants show promising performance in various tasks and models. Swish, the automatically discovered activation function, has been proposed and outperforms ReLU on many challenging datasets. However, it has two main drawbacks. First, the tree-based search space is highly discrete and restricted, which is difficult for searching. Second, the sample-based searching method is inefficient, making it infeasible to find specialized activation functions for each dataset or neural architecture. To tackle these drawbacks, we propose a new activation function called Piecewise Linear Unit(PWLU), which incorporates a carefully designed formulation and learning method. It can learn specialized activation functions and achieves SOTA performance on large-scale datasets like ImageNet and COCO. For example, on ImageNet classification dataset, PWLU improves 0.9%/0.53%/1.0%/1.7%/1.0% top-1 accuracy over Swish for ResNet-18/ResNet-50/MobileNet-V2/MobileNet-V3/EfficientNet-B0. PWLU is also easy to implement and efficient at inference, which can be widely applied in real-world applications.




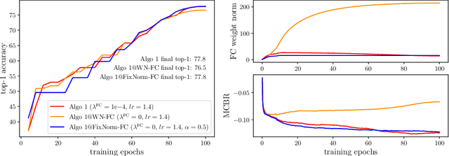
Abstract:Weight decay is a widely used technique for training Deep Neural Networks(DNN). It greatly affects generalization performance but the underlying mechanisms are not fully understood. Recent works show that for layers followed by normalizations, weight decay mainly affects the effective learning rate. However, despite normalizations have been extensively adopted in modern DNNs, layers such as the final fully-connected layer do not satisfy this precondition. For these layers, the effects of weight decay are still unclear. In this paper, we comprehensively investigate the mechanisms of weight decay and find that except for influencing effective learning rate, weight decay has another distinct mechanism that is equally important: affecting generalization performance by controlling cross-boundary risk. These two mechanisms together give a more comprehensive explanation for the effects of weight decay. Based on this discovery, we propose a new training method called FixNorm, which discards weight decay and directly controls the two mechanisms. We also propose a simple yet effective method to tune hyperparameters of FixNorm, which can find near-optimal solutions in a few trials. On ImageNet classification task, training EfficientNet-B0 with FixNorm achieves 77.7%, which outperforms the original baseline by a clear margin. Surprisingly, when scaling MobileNetV2 to the same FLOPS and applying the same tricks with EfficientNet-B0, training with FixNorm achieves 77.4%, which is only 0.3% lower. A series of SOTA results show the importance of well-tuned training procedures, and further verify the effectiveness of our approach. We set up more well-tuned baselines using FixNorm, to facilitate fair comparisons in the community.




Abstract:Neural network architecture design mostly focuses on the new convolutional operator or special topological structure of network block, little attention is drawn to the configuration of stacking each block, called Block Stacking Style (BSS). Recent studies show that BSS may also have an unneglectable impact on networks, thus we design an efficient algorithm to search it automatically. The proposed method, AutoBSS, is a novel AutoML algorithm based on Bayesian optimization by iteratively refining and clustering Block Stacking Style Code (BSSC), which can find optimal BSS in a few trials without biased evaluation. On ImageNet classification task, ResNet50/MobileNetV2/EfficientNet-B0 with our searched BSS achieve 79.29%/74.5%/77.79%, which outperform the original baselines by a large margin. More importantly, experimental results on model compression, object detection and instance segmentation show the strong generalizability of the proposed AutoBSS, and further verify the unneglectable impact of BSS on neural networks.