



Abstract:Precise modeling of lane topology is essential for autonomous driving, as it directly impacts navigation and control decisions. Existing methods typically represent each lane with a single query and infer topological connectivity based on the similarity between lane queries. However, this kind of design struggles to accurately model complex lane structures, leading to unreliable topology prediction. In this view, we propose a Fine-Grained lane topology reasoning framework (TopoFG). It divides the procedure from bird's-eye-view (BEV) features to topology prediction via fine-grained queries into three phases, i.e., Hierarchical Prior Extractor (HPE), Region-Focused Decoder (RFD), and Robust Boundary-Point Topology Reasoning (RBTR). Specifically, HPE extracts global spatial priors from the BEV mask and local sequential priors from in-lane keypoint sequences to guide subsequent fine-grained query modeling. RFD constructs fine-grained queries by integrating the spatial and sequential priors. It then samples reference points in RoI regions of the mask and applies cross-attention with BEV features to refine the query representations of each lane. RBTR models lane connectivity based on boundary-point query features and further employs a topological denoising strategy to reduce matching ambiguity. By integrating spatial and sequential priors into fine-grained queries and applying a denoising strategy to boundary-point topology reasoning, our method precisely models complex lane structures and delivers trustworthy topology predictions. Extensive experiments on the OpenLane-V2 benchmark demonstrate that TopoFG achieves new state-of-the-art performance, with an OLS of 48.0 on subsetA and 45.4 on subsetB.
Abstract:Dense video captioning jointly localizes and captions salient events in untrimmed videos. Recent methods primarily focus on leveraging additional prior knowledge and advanced multi-task architectures to achieve competitive performance. However, these pipelines rely on implicit modeling that uses frame-level or fragmented video features, failing to capture the temporal coherence across event sequences and comprehensive semantics within visual contexts. To address this, we propose an explicit temporal-semantic modeling framework called Context-Aware Cross-Modal Interaction (CACMI), which leverages both latent temporal characteristics within videos and linguistic semantics from text corpus. Specifically, our model consists of two core components: Cross-modal Frame Aggregation aggregates relevant frames to extract temporally coherent, event-aligned textual features through cross-modal retrieval; and Context-aware Feature Enhancement utilizes query-guided attention to integrate visual dynamics with pseudo-event semantics. Extensive experiments on the ActivityNet Captions and YouCook2 datasets demonstrate that CACMI achieves the state-of-the-art performance on dense video captioning task.
Abstract:For embodied agents to effectively understand and interact within the world around them, they require a nuanced comprehension of human actions grounded in physical space. Current action recognition models, often relying on RGB video, learn superficial correlations between patterns and action labels, so they struggle to capture underlying physical interaction dynamics and human poses in complex scenes. We propose a model architecture that grounds action recognition in physical space by fusing two powerful, complementary representations: V-JEPA 2's contextual, predictive world dynamics and CoMotion's explicit, occlusion-tolerant human pose data. Our model is validated on both the InHARD and UCF-19-Y-OCC benchmarks for general action recognition and high-occlusion action recognition, respectively. Our model outperforms three other baselines, especially within complex, occlusive scenes. Our findings emphasize a need for action recognition to be supported by spatial understanding instead of statistical pattern recognition.




Abstract:The sequential recommendation system utilizes historical user interactions to predict preferences. Effectively integrating diverse user behavior patterns with rich multimodal information of items to enhance the accuracy of sequential recommendations is an emerging and challenging research direction. This paper focuses on the problem of multi-modal multi-behavior sequential recommendation, aiming to address the following challenges: (1) the lack of effective characterization of modal preferences across different behaviors, as user attention to different item modalities varies depending on the behavior; (2) the difficulty of effectively mitigating implicit noise in user behavior, such as unintended actions like accidental clicks; (3) the inability to handle modality noise in multi-modal representations, which further impacts the accurate modeling of user preferences. To tackle these issues, we propose a novel Multi-Modal Multi-Behavior Sequential Recommendation model (M$^3$BSR). This model first removes noise in multi-modal representations using a Conditional Diffusion Modality Denoising Layer. Subsequently, it utilizes deep behavioral information to guide the denoising of shallow behavioral data, thereby alleviating the impact of noise in implicit feedback through Conditional Diffusion Behavior Denoising. Finally, by introducing a Multi-Expert Interest Extraction Layer, M$^3$BSR explicitly models the common and specific interests across behaviors and modalities to enhance recommendation performance. Experimental results indicate that M$^3$BSR significantly outperforms existing state-of-the-art methods on benchmark datasets.




Abstract:To tackle the threat of fake news, the task of detecting and grounding multi-modal media manipulation DGM4 has received increasing attention. However, most state-of-the-art methods fail to explore the fine-grained consistency within local content, usually resulting in an inadequate perception of detailed forgery and unreliable results. In this paper, we propose a novel approach named Contextual-Semantic Consistency Learning (CSCL) to enhance the fine-grained perception ability of forgery for DGM4. Two branches for image and text modalities are established, each of which contains two cascaded decoders, i.e., Contextual Consistency Decoder (CCD) and Semantic Consistency Decoder (SCD), to capture within-modality contextual consistency and across-modality semantic consistency, respectively. Both CCD and SCD adhere to the same criteria for capturing fine-grained forgery details. To be specific, each module first constructs consistency features by leveraging additional supervision from the heterogeneous information of each token pair. Then, the forgery-aware reasoning or aggregating is adopted to deeply seek forgery cues based on the consistency features. Extensive experiments on DGM4 datasets prove that CSCL achieves new state-of-the-art performance, especially for the results of grounding manipulated content. Codes and weights are avaliable at https://github.com/liyih/CSCL.
Abstract:The substantial training cost of diffusion models hinders their deployment. Immiscible Diffusion recently showed that reducing diffusion trajectory mixing in the noise space via linear assignment accelerates training by simplifying denoising. To extend immiscible diffusion beyond the inefficient linear assignment under high batch sizes and high dimensions, we refine this concept to a broader miscibility reduction at any layer and by any implementation. Specifically, we empirically demonstrate the bijective nature of the denoising process with respect to immiscible diffusion, ensuring its preservation of generative diversity. Moreover, we provide thorough analysis and show step-by-step how immiscibility eases denoising and improves efficiency. Extending beyond linear assignment, we propose a family of implementations including K-nearest neighbor (KNN) noise selection and image scaling to reduce miscibility, achieving up to >4x faster training across diverse models and tasks including unconditional/conditional generation, image editing, and robotics planning. Furthermore, our analysis of immiscibility offers a novel perspective on how optimal transport (OT) enhances diffusion training. By identifying trajectory miscibility as a fundamental bottleneck, we believe this work establishes a potentially new direction for future research into high-efficiency diffusion training. The code is available at https://github.com/yhli123/Immiscible-Diffusion.
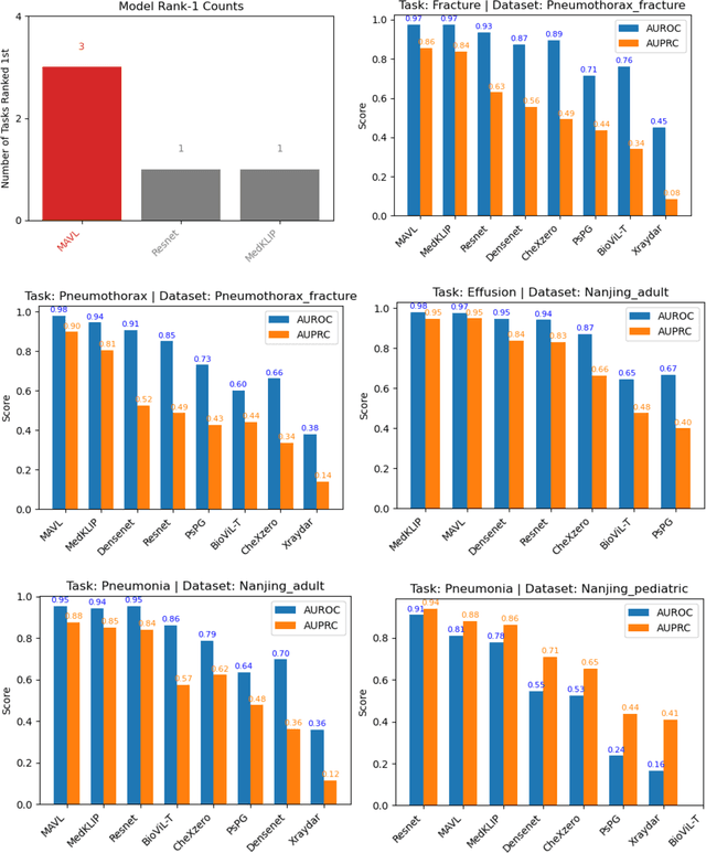
Abstract:Foundation models leveraging vision-language pretraining have shown promise in chest X-ray (CXR) interpretation, yet their real-world performance across diverse populations and diagnostic tasks remains insufficiently evaluated. This study benchmarks the diagnostic performance and generalizability of foundation models versus traditional convolutional neural networks (CNNs) on multinational CXR datasets. We evaluated eight CXR diagnostic models - five vision-language foundation models and three CNN-based architectures - across 37 standardized classification tasks using six public datasets from the USA, Spain, India, and Vietnam, and three private datasets from hospitals in China. Performance was assessed using AUROC, AUPRC, and other metrics across both shared and dataset-specific tasks. Foundation models outperformed CNNs in both accuracy and task coverage. MAVL, a model incorporating knowledge-enhanced prompts and structured supervision, achieved the highest performance on public (mean AUROC: 0.82; AUPRC: 0.32) and private (mean AUROC: 0.95; AUPRC: 0.89) datasets, ranking first in 14 of 37 public and 3 of 4 private tasks. All models showed reduced performance on pediatric cases, with average AUROC dropping from 0.88 +/- 0.18 in adults to 0.57 +/- 0.29 in children (p = 0.0202). These findings highlight the value of structured supervision and prompt design in radiologic AI and suggest future directions including geographic expansion and ensemble modeling for clinical deployment. Code for all evaluated models is available at https://drive.google.com/drive/folders/1B99yMQm7bB4h1sVMIBja0RfUu8gLktCE




Abstract:Fusing multi-modality inputs from different sensors is an effective way to improve the performance of 3D object detection. However, current methods overlook two important conflicts: point-pixel misalignment and sub-task suppression. The former means a pixel feature from the opaque object is projected to multiple point features of the same ray in the world space, and the latter means the classification prediction and bounding box regression may cause mutual suppression. In this paper, we propose a novel method named Conflict Resolution Network (CoreNet) to address the aforementioned issues. Specifically, we first propose a dual-stream transformation module to tackle point-pixel misalignment. It consists of ray-based and point-based 2D-to-BEV transformations. Both of them achieve approximately unique mapping from the image space to the world space. Moreover, we introduce a task-specific predictor to tackle sub-task suppression. It uses the dual-branch structure which adopts class-specific query and Bbox-specific query to corresponding sub-tasks. Each task-specific query is constructed of task-specific feature and general feature, which allows the heads to adaptively select information of interest based on different sub-tasks. Experiments on the large-scale nuScenes dataset demonstrate the superiority of our proposed CoreNet, by achieving 75.6\% NDS and 73.3\% mAP on the nuScenes test set without test-time augmentation and model ensemble techniques. The ample ablation study also demonstrates the effectiveness of each component. The code is released on https://github.com/liyih/CoreNet.




Abstract:In radar-camera 3D object detection, the radar point clouds are sparse and noisy, which causes difficulties in fusing camera and radar modalities. To solve this, we introduce a novel query-based detection method named Radar-Camera Transformer (RCTrans). Specifically, we first design a Radar Dense Encoder to enrich the sparse valid radar tokens, and then concatenate them with the image tokens. By doing this, we can fully explore the 3D information of each interest region and reduce the interference of empty tokens during the fusing stage. We then design a Pruning Sequential Decoder to predict 3D boxes based on the obtained tokens and random initialized queries. To alleviate the effect of elevation ambiguity in radar point clouds, we gradually locate the position of the object via a sequential fusion structure. It helps to get more precise and flexible correspondences between tokens and queries. A pruning training strategy is adopted in the decoder, which can save much time during inference and inhibit queries from losing their distinctiveness. Extensive experiments on the large-scale nuScenes dataset prove the superiority of our method, and we also achieve new state-of-the-art radar-camera 3D detection results. Our implementation is available at https://github.com/liyih/RCTrans.




Abstract:Human pose plays a crucial role in the digital age. While recent works have achieved impressive progress in understanding and generating human poses, they often support only a single modality of control signals and operate in isolation, limiting their application in real-world scenarios. This paper presents UniPose, a framework employing Large Language Models (LLMs) to comprehend, generate, and edit human poses across various modalities, including images, text, and 3D SMPL poses. Specifically, we apply a pose tokenizer to convert 3D poses into discrete pose tokens, enabling seamless integration into the LLM within a unified vocabulary. To further enhance the fine-grained pose perception capabilities, we facilitate UniPose with a mixture of visual encoders, among them a pose-specific visual encoder. Benefiting from a unified learning strategy, UniPose effectively transfers knowledge across different pose-relevant tasks, adapts to unseen tasks, and exhibits extended capabilities. This work serves as the first attempt at building a general-purpose framework for pose comprehension, generation, and editing. Extensive experiments highlight UniPose's competitive and even superior performance across various pose-relevant tasks.