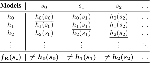
Abstract:The illusion phenomenon of large language models (LLMs) is the core obstacle to their reliable deployment. This article formalizes the large language model as a probabilistic Turing machine by constructing a "computational necessity hierarchy", and for the first time proves the illusions are inevitable on diagonalization, incomputability, and information theory boundaries supported by the new "learner pump lemma". However, we propose two "escape routes": one is to model Retrieval Enhanced Generations (RAGs) as oracle machines, proving their absolute escape through "computational jumps", providing the first formal theory for the effectiveness of RAGs; The second is to formalize continuous learning as an "internalized oracle" mechanism and implement this path through a novel neural game theory framework.Finally, this article proposes a
Abstract:Current pre-trained large language models typically need instruction tuning to align with human preferences. However, instruction tuning data is often quantity-saturated due to the large volume of data collection and fast model iteration, leaving coreset data selection important but underexplored. On the other hand, existing quality-driven data selection methods such as LIMA (NeurIPS 2023 (Zhou et al., 2024)) and AlpaGasus (ICLR 2024 (Chen et al.)) generally ignore the equal importance of data diversity and complexity. In this work, we aim to design a diversity-aware data selection strategy and creatively propose using sparse autoencoders to tackle the challenge of data diversity measure. In addition, sparse autoencoders can also provide more interpretability of model behavior and explain, e.g., the surprising effectiveness of selecting the longest response (ICML 2024 (Zhao et al.)). Using effective data selection, we experimentally prove that models trained on our selected data can outperform other methods in terms of model capabilities, reduce training cost, and potentially gain more control over model behaviors.




Abstract:Recent research has explored that LLM agents are vulnerable to indirect prompt injection (IPI) attacks, where malicious tasks embedded in tool-retrieved information can redirect the agent to take unauthorized actions. Existing defenses against IPI have significant limitations: either require essential model training resources, lack effectiveness against sophisticated attacks, or harm the normal utilities. We present MELON (Masked re-Execution and TooL comparisON), a novel IPI defense. Our approach builds on the observation that under a successful attack, the agent's next action becomes less dependent on user tasks and more on malicious tasks. Following this, we design MELON to detect attacks by re-executing the agent's trajectory with a masked user prompt modified through a masking function. We identify an attack if the actions generated in the original and masked executions are similar. We also include three key designs to reduce the potential false positives and false negatives. Extensive evaluation on the IPI benchmark AgentDojo demonstrates that MELON outperforms SOTA defenses in both attack prevention and utility preservation. Moreover, we show that combining MELON with a SOTA prompt augmentation defense (denoted as MELON-Aug) further improves its performance. We also conduct a detailed ablation study to validate our key designs.
Abstract:Recent advancements in multimodal large language models (MLLMs) have opened new avenues for video understanding. However, achieving high fidelity in zero-shot video tasks remains challenging. Traditional video processing methods rely heavily on fine-tuning to capture nuanced spatial-temporal details, which incurs significant data and computation costs. In contrast, training-free approaches, though efficient, often lack robustness in preserving context-rich features across complex video content. To this end, we propose DYTO, a novel dynamic token merging framework for zero-shot video understanding that adaptively optimizes token efficiency while preserving crucial scene details. DYTO integrates a hierarchical frame selection and a bipartite token merging strategy to dynamically cluster key frames and selectively compress token sequences, striking a balance between computational efficiency with semantic richness. Extensive experiments across multiple benchmarks demonstrate the effectiveness of DYTO, achieving superior performance compared to both fine-tuned and training-free methods and setting a new state-of-the-art for zero-shot video understanding.




Abstract:There is a significant gap between patient needs and available mental health support today. In this paper, we aim to thoroughly examine the potential of using Large Language Models (LLMs) to assist professional psychotherapy. To this end, we propose a new benchmark, CBT-BENCH, for the systematic evaluation of cognitive behavioral therapy (CBT) assistance. We include three levels of tasks in CBT-BENCH: I: Basic CBT knowledge acquisition, with the task of multiple-choice questions; II: Cognitive model understanding, with the tasks of cognitive distortion classification, primary core belief classification, and fine-grained core belief classification; III: Therapeutic response generation, with the task of generating responses to patient speech in CBT therapy sessions. These tasks encompass key aspects of CBT that could potentially be enhanced through AI assistance, while also outlining a hierarchy of capability requirements, ranging from basic knowledge recitation to engaging in real therapeutic conversations. We evaluated representative LLMs on our benchmark. Experimental results indicate that while LLMs perform well in reciting CBT knowledge, they fall short in complex real-world scenarios requiring deep analysis of patients' cognitive structures and generating effective responses, suggesting potential future work.
Abstract:The rapid advancement of Large Language Models (LLMs) and Large Multimodal Models (LMMs) has heightened the demand for AI-based scientific assistants capable of understanding scientific articles and figures. Despite progress, there remains a significant gap in evaluating models' comprehension of professional, graduate-level, and even PhD-level scientific content. Current datasets and benchmarks primarily focus on relatively simple scientific tasks and figures, lacking comprehensive assessments across diverse advanced scientific disciplines. To bridge this gap, we collected a multimodal, multidisciplinary dataset from open-access scientific articles published in Nature Communications journals. This dataset spans 72 scientific disciplines, ensuring both diversity and quality. We created benchmarks with various tasks and settings to comprehensively evaluate LMMs' capabilities in understanding scientific figures and content. Our evaluation revealed that these tasks are highly challenging: many open-source models struggled significantly, and even GPT-4V and GPT-4o faced difficulties. We also explored using our dataset as training resources by constructing visual instruction-following data, enabling the 7B LLaVA model to achieve performance comparable to GPT-4V/o on our benchmark. Additionally, we investigated the use of our interleaved article texts and figure images for pre-training LMMs, resulting in improvements on the material generation task. The source dataset, including articles, figures, constructed benchmarks, and visual instruction-following data, is open-sourced.




Abstract:Large Language Models (LLMs) have shown exceptional results on current benchmarks when working individually. The advancement in their capabilities, along with a reduction in parameter size and inference times, has facilitated the use of these models as agents, enabling interactions among multiple models to execute complex tasks. Such collaborations offer several advantages, including the use of specialized models (e.g. coding), improved confidence through multiple computations, and enhanced divergent thinking, leading to more diverse outputs. Thus, the collaborative use of language models is expected to grow significantly in the coming years. In this work, we evaluate the behavior of a network of models collaborating through debate under the influence of an adversary. We introduce pertinent metrics to assess the adversary's effectiveness, focusing on system accuracy and model agreement. Our findings highlight the importance of a model's persuasive ability in influencing others. Additionally, we explore inference-time methods to generate more compelling arguments and evaluate the potential of prompt-based mitigation as a defensive strategy.




Abstract:The advent of Large Language Models (LLMs) has revolutionized text generation, producing outputs that closely mimic human writing. This blurring of lines between machine- and human-written text presents new challenges in distinguishing one from the other a task further complicated by the frequent updates and closed nature of leading proprietary LLMs. Traditional logits-based detection methods leverage surrogate models for identifying LLM-generated content when the exact logits are unavailable from black-box LLMs. However, these methods grapple with the misalignment between the distributions of the surrogate and the often undisclosed target models, leading to performance degradation, particularly with the introduction of new, closed-source models. Furthermore, while current methodologies are generally effective when the source model is identified, they falter in scenarios where the model version remains unknown, or the test set comprises outputs from various source models. To address these limitations, we present Distribution-Aligned LLMs Detection (DALD), an innovative framework that redefines the state-of-the-art performance in black-box text detection even without logits from source LLMs. DALD is designed to align the surrogate model's distribution with that of unknown target LLMs, ensuring enhanced detection capability and resilience against rapid model iterations with minimal training investment. By leveraging corpus samples from publicly accessible outputs of advanced models such as ChatGPT, GPT-4 and Claude-3, DALD fine-tunes surrogate models to synchronize with unknown source model distributions effectively.




Abstract:Instruction Fine-Tuning (IFT) significantly enhances the zero-shot capabilities of pretrained Large Language Models (LLMs). While coding data is known to boost reasoning abilities during LLM pretraining, its role in activating internal reasoning capacities during IFT remains understudied. This paper investigates a key question: How does coding data impact LLMs' reasoning capacities during the IFT stage? To explore this, we thoroughly examine the impact of coding data across different coding data proportions, model families, sizes, and reasoning domains, from various perspectives. Specifically, we create three IFT datasets with increasing coding data proportions, fine-tune six LLM backbones across different families and scales on these datasets, evaluate the tuned models' performance across twelve tasks in three reasoning domains, and analyze the outcomes from three broad-to-granular perspectives: overall, domain-level, and task-specific. Our holistic analysis provides valuable insights in each perspective. First, coding data tuning enhances the overall reasoning capabilities of LLMs across different model families and scales. Moreover, the effect of coding data varies among different domains but shows consistent trends across model families and scales within each domain. Additionally, coding data generally yields comparable task-specific benefits across different model families, with the optimal coding data proportions in IFT datasets being task-specific.




Abstract:This paper introduces v0.5 of the AI Safety Benchmark, which has been created by the MLCommons AI Safety Working Group. The AI Safety Benchmark has been designed to assess the safety risks of AI systems that use chat-tuned language models. We introduce a principled approach to specifying and constructing the benchmark, which for v0.5 covers only a single use case (an adult chatting to a general-purpose assistant in English), and a limited set of personas (i.e., typical users, malicious users, and vulnerable users). We created a new taxonomy of 13 hazard categories, of which 7 have tests in the v0.5 benchmark. We plan to release version 1.0 of the AI Safety Benchmark by the end of 2024. The v1.0 benchmark will provide meaningful insights into the safety of AI systems. However, the v0.5 benchmark should not be used to assess the safety of AI systems. We have sought to fully document the limitations, flaws, and challenges of v0.5. This release of v0.5 of the AI Safety Benchmark includes (1) a principled approach to specifying and constructing the benchmark, which comprises use cases, types of systems under test (SUTs), language and context, personas, tests, and test items; (2) a taxonomy of 13 hazard categories with definitions and subcategories; (3) tests for seven of the hazard categories, each comprising a unique set of test items, i.e., prompts. There are 43,090 test items in total, which we created with templates; (4) a grading system for AI systems against the benchmark; (5) an openly available platform, and downloadable tool, called ModelBench that can be used to evaluate the safety of AI systems on the benchmark; (6) an example evaluation report which benchmarks the performance of over a dozen openly available chat-tuned language models; (7) a test specification for the benchmark.