Abstract:Navigation instruction generation for visually impaired (VI) individuals (NIG-VI) is critical yet relatively underexplored. This study, hence, focuses on producing precise, in-situ, step-by-step navigation instructions that are practically usable by VI users. Concretely, we propose LaF-GRPO (LLM-as-Follower GRPO), where an LLM simulates VI user responses to generate rewards guiding the Vision-Language Model (VLM) post-training. This enhances instruction usability while reducing costly real-world data needs. To facilitate training and testing, we introduce NIG4VI, a 27k-sample open-sourced benchmark. It provides diverse navigation scenarios with accurate spatial coordinates, supporting detailed, open-ended in-situ instruction generation. Experiments on NIG4VI show the effectiveness of LaF-GRPO by quantitative metrics (e.g., Zero-(LaF-GRPO) boosts BLEU +14\%; SFT+(LaF-GRPO) METEOR 0.542 vs. GPT-4o's 0.323) and yields more intuitive, safer instructions. Code and benchmark are available at \href{https://github.com/YiyiyiZhao/NIG4VI}{https://github.com/YiyiyiZhao/NIG4VI}.




Abstract:Recent advancements in reasoning have significantly enhanced the capabilities of Large Language Models (LLMs) and Multimodal Large Language Models (MLLMs) across diverse tasks. However, excessive reliance on chain-of-thought (CoT) reasoning can impair model performance and brings unnecessarily lengthened outputs, reducing efficiency. Our work reveals that prolonged reasoning does not universally improve accuracy and even degrade performance on simpler tasks. To address this, we propose Certainty-based Adaptive Reasoning (CAR), a novel framework that dynamically switches between short answers and long-form reasoning based on the model perplexity. CAR first generates a short answer and evaluates its perplexity, triggering reasoning only when the model exhibits low confidence (i.e., high perplexity). Experiments across diverse multimodal VQA/KIE benchmarks and text reasoning datasets show that CAR outperforms both short-answer and long-form reasoning approaches, striking an optimal balance between accuracy and efficiency.
Abstract:High-Dynamic-Range Wide-Color-Gamut (HDR-WCG) technology is becoming increasingly prevalent, intensifying the demand for converting Standard Dynamic Range (SDR) content to HDR. Existing methods primarily rely on fixed tone mapping operators, which are inadequate for handling SDR inputs with diverse styles commonly found in real-world scenarios. To address this challenge, we propose a generalized SDR-to-HDR method that handles diverse styles in real-world SDR content, termed Realistic Style Disentangled Representation Learning (RealRep). By disentangling luminance and chrominance, we analyze the intrinsic differences between contents with varying styles and propose a disentangled multi-view style representation learning method. This approach captures the guidance prior of true luminance and chrominance distributions across different styles, even when the SDR style distributions exhibit significant variations, thereby establishing a robust embedding space for inverse tone mapping. Motivated by the difficulty of directly utilizing degradation representation priors, we further introduce the Degradation-Domain Aware Controlled Mapping Network (DDACMNet), a two-stage framework that performs adaptive hierarchical mapping guided by a control-aware normalization mechanism. DDACMNet dynamically modulates the mapping process via degradation-conditioned hierarchical features, enabling robust adaptation across diverse degradation domains. Extensive experiments show that RealRep consistently outperforms state-of-the-art methods with superior generalization and perceptually faithful HDR color gamut reconstruction.
Abstract:This paper provides a review of the NTIRE 2025 challenge on real-world face restoration, highlighting the proposed solutions and the resulting outcomes. The challenge focuses on generating natural, realistic outputs while maintaining identity consistency. Its goal is to advance state-of-the-art solutions for perceptual quality and realism, without imposing constraints on computational resources or training data. The track of the challenge evaluates performance using a weighted image quality assessment (IQA) score and employs the AdaFace model as an identity checker. The competition attracted 141 registrants, with 13 teams submitting valid models, and ultimately, 10 teams achieved a valid score in the final ranking. This collaborative effort advances the performance of real-world face restoration while offering an in-depth overview of the latest trends in the field.




Abstract:Industrial image anomaly detection (IAD) is a pivotal topic with huge value. Due to anomaly's nature, real anomalies in a specific modern industrial domain (i.e. domain-specific anomalies) are usually too rare to collect, which severely hinders IAD. Thus, zero-shot anomaly synthesis (ZSAS), which synthesizes pseudo anomaly images without any domain-specific anomaly, emerges as a vital technique for IAD. However, existing solutions are either unable to synthesize authentic pseudo anomalies, or require cumbersome training. Thus, we focus on ZSAS and propose a brand-new paradigm that can realize both authentic and training-free ZSAS. It is based on a chronically-ignored fact: Although domain-specific anomalies are rare, real anomalies from other domains (i.e. cross-domain anomalies) are actually abundant and directly applicable to ZSAS. Specifically, our new ZSAS paradigm makes three-fold contributions: First, we propose a novel method named Cross-domain Anomaly Injection (CAI), which directly exploits cross-domain anomalies to enable highly authentic ZSAS in a training-free manner. Second, to supply CAI with sufficient cross-domain anomalies, we build the first domain-agnostic anomaly dataset within our best knowledge, which provides ZSAS with abundant real anomaly patterns. Third, we propose a CAI-guided Diffusion Mechanism, which further breaks the quantity limit of real anomalies and enable unlimited anomaly synthesis. Our head-to-head comparison with existing ZSAS solutions justifies our paradigm's superior performance for IAD and demonstrates it as an effective and pragmatic ZSAS solution.




Abstract:Animation has gained significant interest in the recent film and TV industry. Despite the success of advanced video generation models like Sora, Kling, and CogVideoX in generating natural videos, they lack the same effectiveness in handling animation videos. Evaluating animation video generation is also a great challenge due to its unique artist styles, violating the laws of physics and exaggerated motions. In this paper, we present a comprehensive system, AniSora, designed for animation video generation, which includes a data processing pipeline, a controllable generation model, and an evaluation dataset. Supported by the data processing pipeline with over 10M high-quality data, the generation model incorporates a spatiotemporal mask module to facilitate key animation production functions such as image-to-video generation, frame interpolation, and localized image-guided animation. We also collect an evaluation benchmark of 948 various animation videos, the evaluation on VBench and human double-blind test demonstrates consistency in character and motion, achieving state-of-the-art results in animation video generation. Our evaluation benchmark will be publicly available at https://github.com/bilibili/Index-anisora.




Abstract:Animation has gained significant interest in the recent film and TV industry. Despite the success of advanced video generation models like Sora, Kling, and CogVideoX in generating natural videos, they lack the same effectiveness in handling animation videos. Evaluating animation video generation is also a great challenge due to its unique artist styles, violating the laws of physics and exaggerated motions. In this paper, we present a comprehensive system, AniSora, designed for animation video generation, which includes a data processing pipeline, a controllable generation model, and an evaluation dataset. Supported by the data processing pipeline with over 10M high-quality data, the generation model incorporates a spatiotemporal mask module to facilitate key animation production functions such as image-to-video generation, frame interpolation, and localized image-guided animation. We also collect an evaluation benchmark of 948 various animation videos, the evaluation on VBench and human double-blind test demonstrates consistency in character and motion, achieving state-of-the-art results in animation video generation. %We also collect an evaluation benchmark of 948 various animation videos, with specifically developed metrics for animation video generation. Our model access API and evaluation benchmark will be publicly available.




Abstract:Industrial parks are critical to urban economic growth. Yet, their development often encounters challenges stemming from imbalances between industrial requirements and urban services, underscoring the need for strategic planning and operations. This paper introduces IndustryScopeKG, a pioneering large-scale multi-modal, multi-level industrial park knowledge graph, which integrates diverse urban data including street views, corporate, socio-economic, and geospatial information, capturing the complex relationships and semantics within industrial parks. Alongside this, we present the IndustryScopeGPT framework, which leverages Large Language Models (LLMs) with Monte Carlo Tree Search to enhance tool-augmented reasoning and decision-making in Industrial Park Planning and Operation (IPPO). Our work significantly improves site recommendation and functional planning, demonstrating the potential of combining LLMs with structured datasets to advance industrial park management. This approach sets a new benchmark for intelligent IPPO research and lays a robust foundation for advancing urban industrial development. The dataset and related code are available at https://github.com/Tongji-KGLLM/IndustryScope.




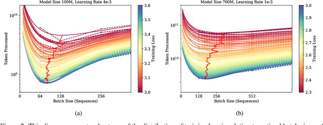
Abstract:The scaling of large language models (LLMs) is a critical research area for the efficiency and effectiveness of model training and deployment. Our work investigates the transferability and discrepancies of scaling laws between Dense Models and Mixture of Experts (MoE) models. Through a combination of theoretical analysis and extensive experiments, including consistent loss scaling, optimal batch size and learning rate scaling, and resource allocation strategies scaling, our findings reveal that the power-law scaling framework also applies to MoE Models, indicating that the fundamental principles governing the scaling behavior of these models are preserved, even though the architecture differs. Additionally, MoE Models demonstrate superior generalization, resulting in lower testing losses with the same training compute budget compared to Dense Models. These findings indicate the scaling consistency and transfer generalization capabilities of MoE Models, providing new insights for optimizing MoE Model training and deployment strategies.




Abstract:Artificial intelligence (AI) plays a crucial role in autonomous driving (AD) research, propelling its development towards intelligence and efficiency. Currently, the development of AD technology follows two main technical paths: modularization and end-to-end. Modularization decompose the driving task into modules such as perception, prediction, planning, and control, and train them separately. Due to the inconsistency of training objectives between modules, the integrated effect suffers from bias. End-to-end attempts to address this issue by utilizing a single model that directly maps from sensor data to control signals. This path has limited learning capabilities in a comprehensive set of features and struggles to handle unpredictable long-tail events and complex urban traffic scenarios. In the face of challenges encountered in both paths, many researchers believe that large language models (LLMs) with powerful reasoning capabilities and extensive knowledge understanding may be the solution, expecting LLMs to provide AD systems with deeper levels of understanding and decision-making capabilities. In light of the challenges faced by both paths, many researchers believe that LLMs, with their powerful reasoning abilities and extensive knowledge, could offer a solution. To understand if LLMs could enhance AD, this paper conducts a thorough analysis of the potential applications of LLMs in AD systems, including exploring their optimization strategies in both modular and end-to-end approaches, with a particular focus on how LLMs can tackle the problems and challenges present in current solutions. Furthermore, we discuss an important question: Can LLM-based artificial general intelligence (AGI) be a key to achieve high-level AD? We further analyze the potential limitations and challenges that LLMs may encounter in promoting the development of AD technology.