Abstract:Multi-turn jailbreak attacks have emerged as a critical threat to Large Language Models (LLMs), bypassing safety mechanisms by progressively constructing adversarial contexts from scratch and incrementally refining prompts. However, existing methods suffer from the inefficiency of incremental context construction that requires step-by-step LLM interaction, and often stagnate in suboptimal regions due to surface-level optimization. In this paper, we characterize the Intent-Context Coupling phenomenon, revealing that LLM safety constraints are significantly relaxed when a malicious intent is coupled with a semantically congruent context pattern. Driven by this insight, we propose ICON, an automated multi-turn jailbreak framework that efficiently constructs an authoritative-style context via prior-guided semantic routing. Specifically, ICON first routes the malicious intent to a congruent context pattern (e.g., Scientific Research) and instantiates it into an attack prompt sequence. This sequence progressively builds the authoritative-style context and ultimately elicits prohibited content. In addition, ICON incorporates a Hierarchical Optimization Strategy that combines local prompt refinement with global context switching, preventing the attack from stagnating in ineffective contexts. Experimental results across eight SOTA LLMs demonstrate the effectiveness of ICON, achieving a state-of-the-art average Attack Success Rate (ASR) of 97.1\%. Code is available at https://github.com/xwlin-roy/ICON.
Abstract:Smart contracts are crucial programs on blockchains, and their immutability post-deployment makes functional correctness vital. Despite progress in code completion models, benchmarks for Solidity, the primary smart contract language, are lacking. Existing metrics like BLEU do not adequately assess the functional correctness of generated smart contracts. To fill this gap, we introduce SolBench, a benchmark for evaluating the functional correctness of Solidity smart contracts generated by code completion models. SolBench includes 4,178 functions from 1,155 Ethereum-deployed contracts. Testing advanced models revealed challenges in generating correct code without context, as Solidity functions rely on context-defined variables and interfaces. To address this, we propose a Retrieval-Augmented Code Repair framework. In this framework, an executor verifies functional correctness, and if necessary, an LLM repairs the code using retrieved snippets informed by executor traces. We conduct a comprehensive evaluation of both closed-source and open-source LLMs across various model sizes and series to assess their performance in smart contract completion. The results show that code repair and retrieval techniques effectively enhance the correctness of smart contract completion while reducing computational costs.
Abstract:In the realm of task-oriented dialogue systems, a robust intent detection mechanism must effectively handle malformed utterances encountered in real-world scenarios. This study presents a novel fine-tuning framework for large language models (LLMs) aimed at enhancing in-distribution (ID) intent classification and out-of-distribution (OOD) intent detection, which utilizes semantic matching with prototypes derived from ID class names. By harnessing the highly distinguishable representations of LLMs, we construct semantic prototypes for each ID class using a diversity-grounded prompt tuning approach. We rigorously test our framework in a challenging OOD context, where ID and OOD classes are semantically close yet distinct, referred to as \emph{near} OOD detection. For a thorough assessment, we benchmark our method against the prevalent fine-tuning approaches. The experimental findings reveal that our method demonstrates superior performance in both few-shot ID intent classification and near-OOD intent detection tasks.



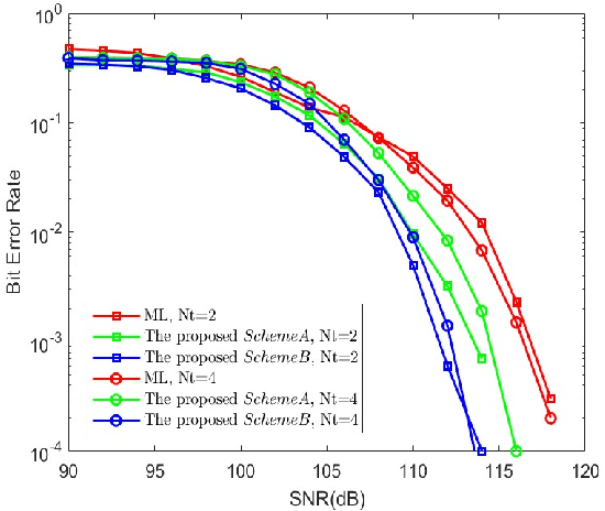
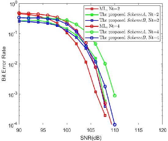
Abstract:Differential spatial modulation (DSM) exploits the time dimension to facilitate the differential modulation, which can perfectly avoid the challenge in acquiring of heavily entangled channel state information of visible light communication (VLC) system. However, it has huge search space and high complexity for large number of transmitters. In this paper, a novel vector correction (VC)-based orthogonal matching pursuit (OMP) detection algorithm is proposed to reduce the complexity, which exploits the sparsity and relativity of all transmitters, and then employs a novel correction criterion by correcting the index vectors of the error estimation for improving the demodulation performance. To overcome the local optimum dilemma in the atoms searching, an OMP-assisted genetic algorithm is also proposed to further improve the bit error rate (BER) performance of the VLC-DSM system. Simulation results demonstrate that the proposed schemes can significantly reduce the computational complexity at least by 62.5% while achieving an excellent BER performance as compared with traditional maximum likelihood based receiver.
Abstract:Intensity-modulation and direct-detection (IM/DD) transmission is widely adopted for high-speed optical transmission scenarios due to its cost-effectiveness and simplicity. However, as the data rate increases, the fiber chromatic dispersion (CD) would induce a serious power fading effect, and direct detection could generate inter-symbol interference (ISI). Moreover, the ISI becomes more severe with the increase of fiber length, thereby highly restricting the transmission distance of IM/DD systems. This paper proposes a dual-tap optical-digital feedforward equalization (DT-ODFE) scheme, which could effectively compensate for CD-induced power fading while maintaining low cost and simplicity. A theoretical channel response is formulated for IM/DD transmission, incorporating a dual-tap optical equalizer, and the theoretical analysis reveals that for an IM/DD transmission using 1371nm over 10km standard single-mode fiber (SSMF), frequency notch is removed from 33.7GHz to 46GHz. Simulation results show that the DT- ODFE achieves an SNR gain of 2.3dB over IM/DD systems with symbol-space feedforward equalizer (FFE) alone. As the fiber length increases to 15 km, DT- ODFE performs well, while FFE, decision-feedback equalizer (DFE) and Volterra nonlinear equalizers (VNLE) all fail to compensate for the power fading and the 7% hard-decision FEC limit is not satisfied. For 200 Gb/s/$\lambda$ PAM-4 over 15km SSMF, results show that the signal-to-noise ratio (SNR) of the proposed DT- ODFE with optimal coefficients satisfies the 7% hard-decision FEC limit, which uncovers the great potential of the DT- ODFE for high-speed IM/DD systems in LR/FR scenarios.




Abstract:Out-of-distribution (OOD) detection plays a vital role in enhancing the reliability of machine learning (ML) models. The emergence of large language models (LLMs) has catalyzed a paradigm shift within the ML community, showcasing their exceptional capabilities across diverse natural language processing tasks. While existing research has probed OOD detection with relative small-scale Transformers like BERT, RoBERTa and GPT-2, the stark differences in scales, pre-training objectives, and inference paradigms call into question the applicability of these findings to LLMs. This paper embarks on a pioneering empirical investigation of OOD detection in the domain of LLMs, focusing on LLaMA series ranging from 7B to 65B in size. We thoroughly evaluate commonly-used OOD detectors, scrutinizing their performance in both zero-grad and fine-tuning scenarios. Notably, we alter previous discriminative in-distribution fine-tuning into generative fine-tuning, aligning the pre-training objective of LLMs with downstream tasks. Our findings unveil that a simple cosine distance OOD detector demonstrates superior efficacy, outperforming other OOD detectors. We provide an intriguing explanation for this phenomenon by highlighting the isotropic nature of the embedding spaces of LLMs, which distinctly contrasts with the anisotropic property observed in smaller BERT family models. The new insight enhances our understanding of how LLMs detect OOD data, thereby enhancing their adaptability and reliability in dynamic environments.
Abstract:This paper focuses on the joint design of transmit waveforms and receive filters for airborne multiple-input-multiple-output (MIMO) radar systems in spectrally crowded environments. The purpose is to maximize the output signal-to-interference-plus-noise-ratio (SINR) in the presence of signal-dependent clutter. To improve the practicability of the radar waveforms, both a multi-spectral constraint and a peak-to-average-power ratio (PAPR) constraint are imposed. A cyclic method is derived to iteratively optimize the transmit waveforms and receive filters. In particular, to tackle the encountered non-convex constrained fractional programming in designing the waveforms (for fixed filters), we resort to the Dinkelbach's transform, minorization-maximization (MM), and leverage the alternating direction method of multipliers (ADMM). We highlight that the proposed algorithm can iterate from an infeasible initial point and the waveforms at convergence not only satisfy the stringent constraints, but also attain superior performance.
Abstract:Reconfigurable intelligent surface (RIS) refers to a signal reflection surface containing a large number of low-cost passive reflecting elements. RIS can improve the performance of radar and communication systems by dynamically modulating the wireless channels. In this paper, we consider the co-design for improving the co-existence between multiple-input-multiple-output (MIMO) radar and MIMO communication system with the aid of RIS.The design purpose is to improve the radar detection performance and guarantee the communication capability. Due to the unimodular constraint on the RIS coefficients and the constant-envelope constraint on the radar transmit waveforms, the associated optimization problem is non-convex.To tackle this problem, we develop a cyclic method based on minorization-maximization, semi-definite programming, and alternating direction method of multipliers. Numerical examples verify the effectiveness of the proposed algorithm.




Abstract:Nearest neighbor search supports important applications in many domains, such as database, machine learning, computer vision. Since the computational cost for accurate search is too high, the community turned to the research of approximate nearest neighbor search (ANNS). Among them, graph-based algorithm is one of the most important branches. Research by Fu et al. shows that the algorithms based on Monotonic Search Network (MSNET), such as NSG and NSSG, have achieved the state-of-the-art search performance in efficiency. The MSNET is dedicated to achieving monotonic search with minimal out-degree of nodes to pursue high efficiency. However, the current MSNET designs did not optimize the probability of the monotonic search, and the lower bound of the probability is only 50%. If they fail in monotonic search stage, they have to suffer tremendous backtracking cost to achieve the required accuracy. This will cause performance problems in search efficiency. To address this problem, we propose (r,p)-MSNET, which achieves guaranteed probability on monotonic search. Due to the high building complexity of a strict (r,p)-MSNET, we propose TBSG, which is an approximation with low complexity. Experiment conducted on four million-scaled datasets show that TBSG outperforms existing state-of-the-art graph-based algorithms in search efficiency. Our code has been released on Github.