Abstract:Recent advances in large language models (LLMs) enable agentic systems trained with reinforcement learning (RL) over multi-turn interaction trajectories, but practical deployment is bottlenecked by rapidly growing textual histories that inflate token budgets and memory usage. We introduce AgentOCR, a framework that exploits the superior information density of visual tokens by representing the accumulated observation-action history as a compact rendered image. To make multi-turn rollouts scalable, AgentOCR proposes segment optical caching. By decomposing history into hashable segments and maintaining a visual cache, this mechanism eliminates redundant re-rendering. Beyond fixed rendering, AgentOCR introduces agentic self-compression, where the agent actively emits a compression rate and is trained with compression-aware reward to adaptively balance task success and token efficiency. We conduct extensive experiments on challenging agentic benchmarks, ALFWorld and search-based QA. Remarkably, results demonstrate that AgentOCR preserves over 95\% of text-based agent performance while substantially reducing token consumption (>50\%), yielding consistent token and memory efficiency. Our further analysis validates a 20x rendering speedup from segment optical caching and the effective strategic balancing of self-compression.
Abstract:We present a central-peripheral vision-inspired framework (CVP), a simple yet effective multimodal model for spatial reasoning that draws inspiration from the two types of human visual fields -- central vision and peripheral vision. Existing approaches primarily rely on unstructured representations, such as point clouds, voxels, or patch features, and inject scene context implicitly via coordinate embeddings. However, this often results in limited spatial reasoning capabilities due to the lack of explicit, high-level structural understanding. To address this limitation, we introduce two complementary components into a Large Multimodal Model-based architecture: target-affinity token, analogous to central vision, that guides the model's attention toward query-relevant objects; and allocentric grid, akin to peripheral vision, that captures global scene context and spatial arrangements. These components work in tandem to enable structured, context-aware understanding of complex 3D environments. Experiments show that CVP achieves state-of-the-art performance across a range of 3D scene understanding benchmarks.
Abstract:Document parsing is a core task in document intelligence, supporting applications such as information extraction, retrieval-augmented generation, and automated document analysis. However, real-world documents often feature complex layouts with multi-level tables, embedded images or formulas, and cross-page structures, which remain challenging for existing OCR systems. We introduce MonkeyOCR v1.5, a unified vision-language framework that enhances both layout understanding and content recognition through a two-stage pipeline. The first stage employs a large multimodal model to jointly predict layout and reading order, leveraging visual information to ensure sequential consistency. The second stage performs localized recognition of text, formulas, and tables within detected regions, maintaining high visual fidelity while reducing error propagation. To address complex table structures, we propose a visual consistency-based reinforcement learning scheme that evaluates recognition quality via render-and-compare alignment, improving structural accuracy without manual annotations. Additionally, two specialized modules, Image-Decoupled Table Parsing and Type-Guided Table Merging, are introduced to enable reliable parsing of tables containing embedded images and reconstruction of tables crossing pages or columns. Comprehensive experiments on OmniDocBench v1.5 demonstrate that MonkeyOCR v1.5 achieves state-of-the-art performance, outperforming PPOCR-VL and MinerU 2.5 while showing exceptional robustness in visually complex document scenarios. A trial link can be found at https://github.com/Yuliang-Liu/MonkeyOCR .
Abstract:In-context learning (ICL) has emerged as a powerful paradigm for Large Visual Language Models (LVLMs), enabling them to leverage a few examples directly from input contexts. However, the effectiveness of this approach is heavily reliant on the selection of demonstrations, a process that is NP-hard. Traditional strategies, including random, similarity-based sampling and infoscore-based sampling, often lead to inefficiencies or suboptimal performance, struggling to balance both efficiency and effectiveness in demonstration selection. In this paper, we propose a novel demonstration selection framework named Coreset-based Dual Retrieval (CoDR). We show that samples within a diverse subset achieve a higher expected mutual information. To implement this, we introduce a cluster-pruning method to construct a diverse coreset that aligns more effectively with the query while maintaining diversity. Additionally, we develop a dual retrieval mechanism that enhances the selection process by achieving global demonstration selection while preserving efficiency. Experimental results demonstrate that our method significantly improves the ICL performance compared to the existing strategies, providing a robust solution for effective and efficient demonstration selection.




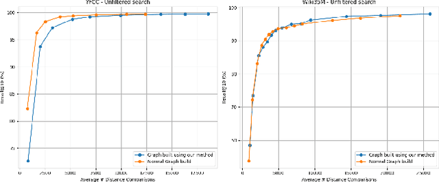
Abstract:Filtered Approximate Nearest Neighbor (ANN) search retrieves the closest vectors for a query vector from a dataset. It enforces that a specified set of discrete labels $S$ for the query must be included in the labels of each retrieved vector. Existing graph-based methods typically incorporate filter awareness by assigning fixed penalties or prioritizing nodes based on filter satisfaction. However, since these methods use fixed, data in- dependent penalties, they often fail to generalize across datasets with diverse label and vector distributions. In this work, we propose a principled alternative that learns the optimal trade-off between vector distance and filter match directly from the data, rather than relying on fixed penalties. We formulate this as a constrained linear optimization problem, deriving weights that better reflect the underlying filter distribution and more effectively address the filtered ANN search problem. These learned weights guide both the search process and index construction, leading to graph structures that more effectively capture the underlying filter distribution and filter semantics. Our experiments demonstrate that adapting the distance function to the data significantly im- proves accuracy by 5-10% over fixed-penalty methods, providing a more flexible and generalizable framework for the filtered ANN search problem.




Abstract:Video understanding in multimodal language models remains limited by context length: models often miss key transition frames and struggle to maintain coherence across long time scales. To address this, we adapt Native Sparse Attention (NSA) to video-language models. Our method, VideoNSA, adapts Qwen2.5-VL through end-to-end training on a 216K video instruction dataset. We employ a hardware-aware hybrid approach to attention, preserving dense attention for text, while employing NSA for video. Compared to token-compression and training-free sparse baselines, VideoNSA achieves improved performance on long-video understanding, temporal reasoning, and spatial benchmarks. Further ablation analysis reveals four key findings: (1) reliable scaling to 128K tokens; (2) an optimal global-local attention allocation at a fixed budget; (3) task-dependent branch usage patterns; and (4) the learnable combined sparse attention help induce dynamic attention sinks.




Abstract:This paper introduces GUI-Owl, a foundational GUI agent model that achieves state-of-the-art performance among open-source end-to-end models on ten GUI benchmarks across desktop and mobile environments, covering grounding, question answering, planning, decision-making, and procedural knowledge. GUI-Owl-7B achieves 66.4 on AndroidWorld and 29.4 on OSWorld. Building on this, we propose Mobile-Agent-v3, a general-purpose GUI agent framework that further improves performance to 73.3 on AndroidWorld and 37.7 on OSWorld, setting a new state-of-the-art for open-source GUI agent frameworks. GUI-Owl incorporates three key innovations: (1) Large-scale Environment Infrastructure: a cloud-based virtual environment spanning Android, Ubuntu, macOS, and Windows, enabling our Self-Evolving GUI Trajectory Production framework. This generates high-quality interaction data via automated query generation and correctness validation, leveraging GUI-Owl to refine trajectories iteratively, forming a self-improving loop. It supports diverse data pipelines and reduces manual annotation. (2) Diverse Foundational Agent Capabilities: by integrating UI grounding, planning, action semantics, and reasoning patterns, GUI-Owl supports end-to-end decision-making and can act as a modular component in multi-agent systems. (3) Scalable Environment RL: we develop a scalable reinforcement learning framework with fully asynchronous training for real-world alignment. We also introduce Trajectory-aware Relative Policy Optimization (TRPO) for online RL, achieving 34.9 on OSWorld. GUI-Owl and Mobile-Agent-v3 are open-sourced at https://github.com/X-PLUG/MobileAgent.




Abstract:We propose YOLO-Count, a differentiable open-vocabulary object counting model that tackles both general counting challenges and enables precise quantity control for text-to-image (T2I) generation. A core contribution is the 'cardinality' map, a novel regression target that accounts for variations in object size and spatial distribution. Leveraging representation alignment and a hybrid strong-weak supervision scheme, YOLO-Count bridges the gap between open-vocabulary counting and T2I generation control. Its fully differentiable architecture facilitates gradient-based optimization, enabling accurate object count estimation and fine-grained guidance for generative models. Extensive experiments demonstrate that YOLO-Count achieves state-of-the-art counting accuracy while providing robust and effective quantity control for T2I systems.
Abstract:We propose DepR, a depth-guided single-view scene reconstruction framework that integrates instance-level diffusion within a compositional paradigm. Instead of reconstructing the entire scene holistically, DepR generates individual objects and subsequently composes them into a coherent 3D layout. Unlike previous methods that use depth solely for object layout estimation during inference and therefore fail to fully exploit its rich geometric information, DepR leverages depth throughout both training and inference. Specifically, we introduce depth-guided conditioning to effectively encode shape priors into diffusion models. During inference, depth further guides DDIM sampling and layout optimization, enhancing alignment between the reconstruction and the input image. Despite being trained on limited synthetic data, DepR achieves state-of-the-art performance and demonstrates strong generalization in single-view scene reconstruction, as shown through evaluations on both synthetic and real-world datasets.
Abstract:We present Megrez2, a novel lightweight and high-performance language model architecture optimized for device native deployment. Megrez2 introduces a novel cross-layer expert sharing mechanism, which significantly reduces total parameter count by reusing expert modules across adjacent transformer layers while maintaining most of the model's capacity. It also incorporates pre-gated routing, enabling memory-efficient expert loading and faster inference. As the first instantiation of the Megrez2 architecture, we introduce the Megrez2-Preview model, which is pre-trained on a 5-trillion-token corpus and further enhanced through supervised fine-tuning and reinforcement learning with verifiable rewards. With only 3B activated and 7.5B stored parameters, Megrez2-Preview demonstrates competitive or superior performance compared to larger models on a wide range of tasks, including language understanding, instruction following, mathematical reasoning, and code generation. These results highlight the effectiveness of the Megrez2 architecture to achieve a balance between accuracy, efficiency, and deployability, making it a strong candidate for real-world, resource-constrained applications.