Abstract:Text-to-video retrieval essentially aims to train models to align visual content with textual descriptions accurately. Due to the impressive general multimodal knowledge demonstrated by image-text pretrained models such as CLIP, existing work has primarily focused on extending CLIP knowledge for video-text tasks. However, videos typically contain richer information than images. In current video-text datasets, textual descriptions can only reflect a portion of the video content, leading to partial misalignment in video-text matching. Therefore, directly aligning text representations with video representations can result in incorrect supervision, ignoring the inequivalence of information. In this work, we propose T2VParser to extract multiview semantic representations from text and video, achieving adaptive semantic alignment rather than aligning the entire representation. To extract corresponding representations from different modalities, we introduce Adaptive Decomposition Tokens, which consist of a set of learnable tokens shared across modalities. The goal of T2VParser is to emphasize precise alignment between text and video while retaining the knowledge of pretrained models. Experimental results demonstrate that T2VParser achieves accurate partial alignment through effective cross-modal content decomposition. The code is available at https://github.com/Lilidamowang/T2VParser.




Abstract:Encrypted traffic classification is highly challenging in network security due to the need for extracting robust features from content-agnostic traffic data. Existing approaches face critical issues: (i) Distribution drift, caused by reliance on the closedworld assumption, limits adaptability to realworld, shifting patterns; (ii) Dependence on labeled data restricts applicability where such data is scarce or unavailable. Large language models (LLMs) have demonstrated remarkable potential in offering generalizable solutions across a wide range of tasks, achieving notable success in various specialized fields. However, their effectiveness in traffic analysis remains constrained by challenges in adapting to the unique requirements of the traffic domain. In this paper, we introduce a novel traffic representation model named Encrypted Traffic Out-of-Distribution Instruction Tuning with LLM (ETooL), which integrates LLMs with knowledge of traffic structures through a self-supervised instruction tuning paradigm. This framework establishes connections between textual information and traffic interactions. ETooL demonstrates more robust classification performance and superior generalization in both supervised and zero-shot traffic classification tasks. Notably, it achieves significant improvements in F1 scores: APP53 (I.I.D.) to 93.19%(6.62%) and 92.11%(4.19%), APP53 (O.O.D.) to 74.88%(18.17%) and 72.13%(15.15%), and ISCX-Botnet (O.O.D.) to 95.03%(9.16%) and 81.95%(12.08%). Additionally, we construct NETD, a traffic dataset designed to support dynamic distributional shifts, and use it to validate ETooL's effectiveness under varying distributional conditions. Furthermore, we evaluate the efficiency gains achieved through ETooL's instruction tuning approach.
Abstract:Zero-Shot Composed Image Retrieval (ZS-CIR) involves diverse tasks with a broad range of visual content manipulation intent across domain, scene, object, and attribute. The key challenge for ZS-CIR tasks is to modify a reference image according to manipulation text to accurately retrieve a target image, especially when the reference image is missing essential target content. In this paper, we propose a novel prediction-based mapping network, named PrediCIR, to adaptively predict the missing target visual content in reference images in the latent space before mapping for accurate ZS-CIR. Specifically, a world view generation module first constructs a source view by omitting certain visual content of a target view, coupled with an action that includes the manipulation intent derived from existing image-caption pairs. Then, a target content prediction module trains a world model as a predictor to adaptively predict the missing visual information guided by user intention in manipulating text at the latent space. The two modules map an image with the predicted relevant information to a pseudo-word token without extra supervision. Our model shows strong generalization ability on six ZS-CIR tasks. It obtains consistent and significant performance boosts ranging from 1.73% to 4.45% over the best methods and achieves new state-of-the-art results on ZS-CIR. Our code is available at https://github.com/Pter61/predicir.
Abstract:Zero-shot learning (ZSL) aims to train a model on seen classes and recognize unseen classes by knowledge transfer through shared auxiliary information. Recent studies reveal that documents from encyclopedias provide helpful auxiliary information. However, existing methods align noisy documents, entangled in visual and non-visual descriptions, with image regions, yet solely depend on implicit learning. These models fail to filter non-visual noise reliably and incorrectly align non-visual words to image regions, which is harmful to knowledge transfer. In this work, we propose a novel multi-attribute document supervision framework to remove noises at both document collection and model learning stages. With the help of large language models, we introduce a novel prompt algorithm that automatically removes non-visual descriptions and enriches less-described documents in multiple attribute views. Our proposed model, MADS, extracts multi-view transferable knowledge with information decoupling and semantic interactions for semantic alignment at local and global levels. Besides, we introduce a model-agnostic focus loss to explicitly enhance attention to visually discriminative information during training, also improving existing methods without additional parameters. With comparable computation costs, MADS consistently outperforms the SOTA by 7.2% and 8.2% on average in three benchmarks for document-based ZSL and GZSL settings, respectively. Moreover, we qualitatively offer interpretable predictions from multiple attribute views.




Abstract:Vision-language models (VLMs) have made significant progress in image classification by training with large-scale paired image-text data. Their performances largely depend on the prompt quality. While recent methods show that visual descriptions generated by large language models (LLMs) enhance the generalization of VLMs, class-specific prompts may be inaccurate or lack discrimination due to the hallucination in LLMs. In this paper, we aim to find visually discriminative prompts for fine-grained categories with minimal supervision and no human-in-the-loop. An evolution-based algorithm is proposed to progressively optimize language prompts from task-specific templates to class-specific descriptions. Unlike optimizing templates, the search space shows an explosion in class-specific candidate prompts. This increases prompt generation costs, iterative times, and the overfitting problem. To this end, we first introduce several simple yet effective edit-based and evolution-based operations to generate diverse candidate prompts by one-time query of LLMs. Then, two sampling strategies are proposed to find a better initial search point and reduce traversed categories, saving iteration costs. Moreover, we apply a novel fitness score with entropy constraints to mitigate overfitting. In a challenging one-shot image classification setting, our method outperforms existing textual prompt-based methods and improves LLM-generated description methods across 13 datasets. Meanwhile, we demonstrate that our optimal prompts improve adapter-based methods and transfer effectively across different backbones.




Abstract:Composed Image Retrieval (CIR) aims to retrieve target images that closely resemble a reference image while integrating user-specified textual modifications, thereby capturing user intent more precisely. Existing training-free zero-shot CIR (ZS-CIR) methods often employ a two-stage process: they first generate a caption for the reference image and then use Large Language Models for reasoning to obtain a target description. However, these methods suffer from missing critical visual details and limited reasoning capabilities, leading to suboptimal retrieval performance. To address these challenges, we propose a novel, training-free one-stage method, One-Stage Reflective Chain-of-Thought Reasoning for ZS-CIR (OSrCIR), which employs Multimodal Large Language Models to retain essential visual information in a single-stage reasoning process, eliminating the information loss seen in two-stage methods. Our Reflective Chain-of-Thought framework further improves interpretative accuracy by aligning manipulation intent with contextual cues from reference images. OSrCIR achieves performance gains of 1.80% to 6.44% over existing training-free methods across multiple tasks, setting new state-of-the-art results in ZS-CIR and enhancing its utility in vision-language applications. Our code will be available at https://github.com/Pter61/osrcir2024/.




Abstract:Zero-Shot Composed Image Retrieval (ZS-CIR) supports diverse tasks with a broad range of visual content manipulation intentions that can be related to domain, scene, object, and attribute. A key challenge for ZS-CIR is to accurately map image representation to a pseudo-word token that captures the manipulation intention relevant image information for generalized CIR. However, existing methods between the retrieval and pre-training stages lead to significant redundancy in the pseudo-word tokens. In this paper, we propose a novel denoising image-to-word mapping approach, named Denoise-I2W, for mapping images into denoising pseudo-word tokens that, without intention-irrelevant visual information, enhance accurate ZS-CIR. Specifically, a pseudo triplet construction module first automatically constructs pseudo triples (\textit{i.e.,} a pseudo-reference image, a pseudo-manipulation text, and a target image) for pre-training the denoising mapping network. Then, a pseudo-composed mapping module maps the pseudo-reference image to a pseudo-word token and combines it with the pseudo-manipulation text with manipulation intention. This combination aligns with the target image, facilitating denoising intention-irrelevant visual information for mapping. Our proposed Denoise-I2W is a model-agnostic and annotation-free approach. It demonstrates strong generalization capabilities across three state-of-the-art ZS-CIR models on four benchmark datasets. By integrating Denoise-I2W with existing best models, we obtain consistent and significant performance boosts ranging from 1.45\% to 4.17\% over the best methods without increasing inference costs. and achieve new state-of-the-art results on ZS-CIR. Our code is available at \url{https://github.com/Pter61/denoise-i2w-tmm}.




Abstract:Recent work shows that documents from encyclopedias serve as helpful auxiliary information for zero-shot learning. Existing methods align the entire semantics of a document with corresponding images to transfer knowledge. However, they disregard that semantic information is not equivalent between them, resulting in a suboptimal alignment. In this work, we propose a novel network to extract multi-view semantic concepts from documents and images and align the matching rather than entire concepts. Specifically, we propose a semantic decomposition module to generate multi-view semantic embeddings from visual and textual sides, providing the basic concepts for partial alignment. To alleviate the issue of information redundancy among embeddings, we propose the local-to-semantic variance loss to capture distinct local details and multiple semantic diversity loss to enforce orthogonality among embeddings. Subsequently, two losses are introduced to partially align visual-semantic embedding pairs according to their semantic relevance at the view and word-to-patch levels. Consequently, we consistently outperform state-of-the-art methods under two document sources in three standard benchmarks for document-based zero-shot learning. Qualitatively, we show that our model learns the interpretable partial association.




Abstract:In recent years, phishing scams have become the most serious type of crime involved in Ethereum, the second-largest blockchain platform. The existing phishing scams detection technology on Ethereum mostly uses traditional machine learning or network representation learning to mine the key information from the transaction network to identify phishing addresses. However, these methods adopt the last transaction record or even completely ignore these records, and only manual-designed features are taken for the node representation. In this paper, we propose a Temporal Transaction Aggregation Graph Network (TTAGN) to enhance phishing scams detection performance on Ethereum. Specifically, in the temporal edges representation module, we model the temporal relationship of historical transaction records between nodes to construct the edge representation of the Ethereum transaction network. Moreover, the edge representations around the node are aggregated to fuse topological interactive relationships into its representation, also named as trading features, in the edge2node module. We further combine trading features with common statistical and structural features obtained by graph neural networks to identify phishing addresses. Evaluated on real-world Ethereum phishing scams datasets, our TTAGN (92.8% AUC, and 81.6% F1score) outperforms the state-of-the-art methods, and the effectiveness of temporal edges representation and edge2node module is also demonstrated.




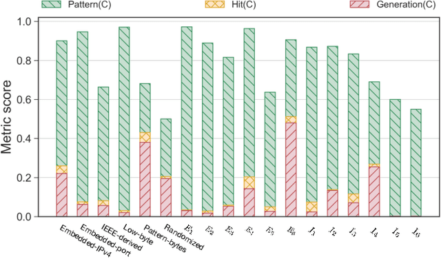
Abstract:Global IPv6 scanning has always been a challenge for researchers because of the limited network speed and computational power. Target generation algorithms are recently proposed to overcome the problem for Internet assessments by predicting a candidate set to scan. However, IPv6 custom address configuration emerges diverse addressing patterns discouraging algorithmic inference. Widespread IPv6 alias could also mislead the algorithm to discover aliased regions rather than valid host targets. In this paper, we introduce 6GAN, a novel architecture built with Generative Adversarial Net (GAN) and reinforcement learning for multi-pattern target generation. 6GAN forces multiple generators to train with a multi-class discriminator and an alias detector to generate non-aliased active targets with different addressing pattern types. The rewards from the discriminator and the alias detector help supervise the address sequence decision-making process. After adversarial training, 6GAN's generators could keep a strong imitating ability for each pattern and 6GAN's discriminator obtains outstanding pattern discrimination ability with a 0.966 accuracy. Experiments indicate that our work outperformed the state-of-the-art target generation algorithms by reaching a higher-quality candidate set.