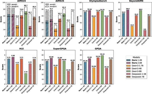
Abstract:Modern LLMs are trained to "think" primarily via explicit text generation, such as chain-of-thought (CoT), which defers reasoning to post-training and under-leverages pre-training data. We present and open-source Ouro, named after the recursive Ouroboros, a family of pre-trained Looped Language Models (LoopLM) that instead build reasoning into the pre-training phase through (i) iterative computation in latent space, (ii) an entropy-regularized objective for learned depth allocation, and (iii) scaling to 7.7T tokens. Ouro 1.4B and 2.6B models enjoy superior performance that match the results of up to 12B SOTA LLMs across a wide range of benchmarks. Through controlled experiments, we show this advantage stems not from increased knowledge capacity, but from superior knowledge manipulation capabilities. We also show that LoopLM yields reasoning traces more aligned with final outputs than explicit CoT. We hope our results show the potential of LoopLM as a novel scaling direction in the reasoning era. Our model could be found in: http://ouro-llm.github.io.




Abstract:We introduce Drivelology, a unique linguistic phenomenon characterised as "nonsense with depth", utterances that are syntactically coherent yet pragmatically paradoxical, emotionally loaded, or rhetorically subversive. While such expressions may resemble surface-level nonsense, they encode implicit meaning requiring contextual inference, moral reasoning, or emotional interpretation. We find that current large language models (LLMs), despite excelling at many natural language processing (NLP) tasks, consistently fail to grasp the layered semantics of Drivelological text. To investigate this, we construct a small but diverse benchmark dataset of over 1,200 meticulously curated examples, with select instances in English, Mandarin, Spanish, French, Japanese, and Korean. Annotation was especially challenging: each of the examples required careful expert review to verify that it truly reflected Drivelological characteristics. The process involved multiple rounds of discussion and adjudication to address disagreements, highlighting the subtle and subjective nature of the Drivelology. We evaluate a range of LLMs on classification, generation, and reasoning tasks. Our results reveal clear limitations of LLMs: models often confuse Drivelology with shallow nonsense, produce incoherent justifications, or miss the implied rhetorical function altogether. These findings highlight a deeper representational gap in LLMs' pragmatic understanding and challenge the assumption that statistical fluency implies cognitive comprehension. We release our dataset and code to facilitate further research in modelling linguistic depth beyond surface-level coherence.




Abstract:Recent advancements in aligning large language models via reinforcement learning have achieved remarkable gains in solving complex reasoning problems, but at the cost of expensive on-policy rollouts and limited exploration of diverse reasoning paths. In this work, we introduce TreePO, involving a self-guided rollout algorithm that views sequence generation as a tree-structured searching process. Composed of dynamic tree sampling policy and fixed-length segment decoding, TreePO leverages local uncertainty to warrant additional branches. By amortizing computation across common prefixes and pruning low-value paths early, TreePO essentially reduces the per-update compute burden while preserving or enhancing exploration diversity. Key contributions include: (1) a segment-wise sampling algorithm that alleviates the KV cache burden through contiguous segments and spawns new branches along with an early-stop mechanism; (2) a tree-based segment-level advantage estimation that considers both global and local proximal policy optimization. and (3) analysis on the effectiveness of probability and quality-driven dynamic divergence and fallback strategy. We empirically validate the performance gain of TreePO on a set reasoning benchmarks and the efficiency saving of GPU hours from 22\% up to 43\% of the sampling design for the trained models, meanwhile showing up to 40\% reduction at trajectory-level and 35\% at token-level sampling compute for the existing models. While offering a free lunch of inference efficiency, TreePO reveals a practical path toward scaling RL-based post-training with fewer samples and less compute. Home page locates at https://m-a-p.ai/TreePO.




Abstract:With the rapid development of large language models, the generation of fake news has become increasingly effortless, posing a growing societal threat and underscoring the urgent need for reliable detection methods. Early efforts to identify LLM-generated fake news have predominantly focused on the textual content itself; however, because much of that content may appear coherent and factually consistent, the subtle traces of falsification are often difficult to uncover. Through distributional divergence analysis, we uncover prompt-induced linguistic fingerprints: statistically distinct probability shifts between LLM-generated real and fake news when maliciously prompted. Based on this insight, we propose a novel method named Linguistic Fingerprints Extraction (LIFE). By reconstructing word-level probability distributions, LIFE can find discriminative patterns that facilitate the detection of LLM-generated fake news. To further amplify these fingerprint patterns, we also leverage key-fragment techniques that accentuate subtle linguistic differences, thereby improving detection reliability. Our experiments show that LIFE achieves state-of-the-art performance in LLM-generated fake news and maintains high performance in human-written fake news. The code and data are available at https://anonymous.4open.science/r/LIFE-E86A.
Abstract:Numerous benchmarks have been built to evaluate the domain-specific abilities of large language models (LLMs), highlighting the need for effective and efficient benchmark construction. Existing domain-specific benchmarks primarily focus on the scaling law, relying on massive corpora for supervised fine-tuning or generating extensive question sets for broad coverage. However, the impact of corpus and question-answer (QA) set design on the precision and recall of domain-specific LLMs remains unexplored. In this paper, we address this gap and demonstrate that the scaling law is not always the optimal principle for benchmark construction in specific domains. Instead, we propose Comp-Comp, an iterative benchmarking framework based on a comprehensiveness-compactness principle. Here, comprehensiveness ensures semantic recall of the domain, while compactness enhances precision, guiding both corpus and QA set construction. To validate our framework, we conducted a case study in a well-renowned university, resulting in the creation of XUBench, a large-scale and comprehensive closed-domain benchmark. Although we use the academic domain as the case in this work, our Comp-Comp framework is designed to be extensible beyond academia, providing valuable insights for benchmark construction across various domains.
Abstract:Dialectal Arabic (DA) poses a persistent challenge for natural language processing (NLP), as most everyday communication in the Arab world occurs in dialects that diverge significantly from Modern Standard Arabic (MSA). This linguistic divide limits access to digital services and educational resources and impedes progress in Arabic machine translation. This paper presents two core contributions to advancing DA-MSA translation for the Levantine, Egyptian, and Gulf dialects, particularly in low-resource and computationally constrained settings: a comprehensive evaluation of training-free prompting techniques, and the development of a resource-efficient fine-tuning pipeline. Our evaluation of prompting strategies across six large language models (LLMs) found that few-shot prompting consistently outperformed zero-shot, chain-of-thought, and our proposed Ara-TEaR method. GPT-4o achieved the highest performance across all prompting settings. For fine-tuning, a quantized Gemma2-9B model achieved a CHrF++ score of 49.88, outperforming zero-shot GPT-4o (44.58). Joint multi-dialect trained models outperformed single-dialect counterparts by over 10% CHrF++, and 4-bit quantization reduced memory usage by 60% with less than 1% performance loss. The results and insights of our experiments offer a practical blueprint for improving dialectal inclusion in Arabic NLP, showing that high-quality DA-MSA machine translation is achievable even with limited resources and paving the way for more inclusive language technologies.




Abstract:Humour, as a complex language form, is derived from myriad aspects of life, whilst existing work on computational humour has focussed almost exclusively on short pun-based jokes. In this work, we investigate whether the ability of Large Language Models (LLMs) to explain humour depends on the particular humour form. We compare models on simple puns and more complex topical humour that requires knowledge of real-world entities and events. In doing so, we curate a dataset of 600 jokes split across 4 joke types and manually write high-quality explanations. These jokes include heterographic and homographic puns, contemporary internet humour, and topical jokes, where understanding relies on reasoning beyond "common sense", rooted instead in world knowledge regarding news events and pop culture. Using this dataset, we compare the zero-shot abilities of a range of LLMs to accurately and comprehensively explain jokes of different types, identifying key research gaps in the task of humour explanation. We find that none of the tested models (inc. reasoning models) are capable of reliably generating adequate explanations of all joke types, further highlighting the narrow focus of most works in computational humour on overly simple joke forms.
Abstract:Reinforcement Learning from Verifiable Rewards (RLVR) improves the reasoning abilities of Large Language Models (LLMs) but it struggles with unstable exploration. We propose FR3E (First Return, Entropy-Eliciting Explore), a structured exploration framework that identifies high-uncertainty decision points in reasoning trajectories and performs targeted rollouts to construct semantically grounded intermediate feedback. Our method provides targeted guidance without relying on dense supervision. Empirical results on mathematical reasoning benchmarks(AIME24) show that FR3E promotes more stable training, produces longer and more coherent responses, and increases the proportion of fully correct trajectories. These results highlight the framework's effectiveness in improving LLM reasoning through more robust and structured exploration.




Abstract:Large Language Models (LLMs) have demonstrated impressive reasoning capabilities, especially when guided by explicit chain-of-thought (CoT) reasoning that verbalizes intermediate steps. While CoT improves both interpretability and accuracy, its dependence on natural language reasoning limits the model's expressive bandwidth. Latent reasoning tackles this bottleneck by performing multi-step inference entirely in the model's continuous hidden state, eliminating token-level supervision. To advance latent reasoning research, this survey provides a comprehensive overview of the emerging field of latent reasoning. We begin by examining the foundational role of neural network layers as the computational substrate for reasoning, highlighting how hierarchical representations support complex transformations. Next, we explore diverse latent reasoning methodologies, including activation-based recurrence, hidden state propagation, and fine-tuning strategies that compress or internalize explicit reasoning traces. Finally, we discuss advanced paradigms such as infinite-depth latent reasoning via masked diffusion models, which enable globally consistent and reversible reasoning processes. By unifying these perspectives, we aim to clarify the conceptual landscape of latent reasoning and chart future directions for research at the frontier of LLM cognition. An associated GitHub repository collecting the latest papers and repos is available at: https://github.com/multimodal-art-projection/LatentCoT-Horizon/.




Abstract:Large Language Models (LLMs) are traditionally viewed as black-box algorithms, therefore reducing trustworthiness and obscuring potential approaches to increasing performance on downstream tasks. In this work, we apply an effective LLM decomposition method using a dictionary-learning approach with sparse autoencoders. This helps extract monosemantic features from polysemantic LLM neurons. Remarkably, our work identifies model-internal misunderstanding, allowing the automatic reformulation of the prompts with additional annotations to improve the interpretation by LLMs. Moreover, this approach demonstrates a significant performance improvement in downstream tasks, such as mathematical reasoning and metaphor detection.