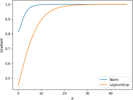
Abstract:Muon updates matrix parameters via the matrix sign of the gradient and has shown strong empirical gains, yet its dynamics and scaling behavior remain unclear in theory. We study Muon in a linear associative memory model with softmax retrieval and a hierarchical frequency spectrum over query-answer pairs, with and without label noise. In this setting, we show that Gradient Descent (GD) learns frequency components at highly imbalanced rates, leading to slow convergence bottlenecked by low-frequency components. In contrast, the Muon optimizer mitigates this imbalance, leading to faster and more uniform progress. Specifically, in the noiseless case, Muon achieves an exponential speedup over GD; in the noisy case with a power-decay frequency spectrum, we derive Muon's optimization scaling law and demonstrate its superior scaling efficiency over GD. Furthermore, we show that Muon can be interpreted as an implicit matrix preconditioner arising from adaptive task alignment and block-symmetric gradient structure. In contrast, the preconditioner with coordinate-wise sign operator could match Muon under oracle access to unknown task representations, which is infeasible for SignGD in practice. Experiments on synthetic long-tail classification and LLaMA-style pre-training corroborate the theory.
Abstract:While data scaling laws of large language models (LLMs) have been widely examined in the one-pass regime with massive corpora, their form under limited data and repeated epochs remains largely unexplored. This paper presents a theoretical analysis of how a common workaround, training for multiple epochs on the same dataset, reshapes the data scaling laws in linear regression. Concretely, we ask: to match the performance of training on a dataset of size $N$ for $K$ epochs, how much larger must a dataset be if the model is trained for only one pass? We quantify this using the \textit{effective reuse rate} of the data, $E(K, N)$, which we define as the multiplicative factor by which the dataset must grow under one-pass training to achieve the same test loss as $K$-epoch training. Our analysis precisely characterizes the scaling behavior of $E(K, N)$ for SGD in linear regression under either strong convexity or Zipf-distributed data: (1) When $K$ is small, we prove that $E(K, N) \approx K$, indicating that every new epoch yields a linear gain; (2) As $K$ increases, $E(K, N)$ plateaus at a problem-dependent value that grows with $N$ ($Θ(\log N)$ for the strongly-convex case), implying that larger datasets can be repeated more times before the marginal benefit vanishes. These theoretical findings point out a neglected factor in a recent empirical study (Muennighoff et al. (2023)), which claimed that training LLMs for up to $4$ epochs results in negligible loss differences compared to using fresh data at each step, \textit{i.e.}, $E(K, N) \approx K$ for $K \le 4$ in our notation. Supported by further empirical validation with LLMs, our results reveal that the maximum $K$ value for which $E(K, N) \approx K$ in fact depends on the data size and distribution, and underscore the need to explicitly model both factors in future studies of scaling laws with data reuse.
Abstract:Current research on Multimodal Retrieval-Augmented Generation (MRAG) enables diverse multimodal inputs but remains limited to single-modality outputs, restricting expressive capacity and practical utility. In contrast, real-world applications often demand both multimodal inputs and multimodal outputs for effective communication and grounded reasoning. Motivated by the recent success of Reinforcement Learning (RL) in complex reasoning tasks for Large Language Models (LLMs), we adopt RL as a principled and effective paradigm to address the multi-step, outcome-driven challenges inherent in multimodal output generation. Here, we introduce M2IO-R1, a novel framework for Multimodal Retrieval-Augmented Multimodal Generation (MRAMG) that supports both multimodal inputs and outputs. Central to our framework is an RL-based inserter, Inserter-R1-3B, trained with Group Relative Policy Optimization to guide image selection and placement in a controllable and semantically aligned manner. Empirical results show that our lightweight 3B inserter achieves strong reasoning capabilities with significantly reduced latency, outperforming baselines in both quality and efficiency.
Abstract:Recent advancements in Retrieval-Augmented Generation (RAG) have shown remarkable performance in enhancing response accuracy and relevance by integrating external knowledge into generative models. However, existing RAG methods primarily focus on providing text-only answers, even in multimodal retrieval-augmented generation scenarios. In this work, we introduce the Multimodal Retrieval-Augmented Multimodal Generation (MRAMG) task, which aims to generate answers that combine both text and images, fully leveraging the multimodal data within a corpus. Despite the importance of this task, there is a notable absence of a comprehensive benchmark to effectively evaluate MRAMG performance. To bridge this gap, we introduce the MRAMG-Bench, a carefully curated, human-annotated dataset comprising 4,346 documents, 14,190 images, and 4,800 QA pairs, sourced from three categories: Web Data, Academic Papers, and Lifestyle. The dataset incorporates diverse difficulty levels and complex multi-image scenarios, providing a robust foundation for evaluating multimodal generation tasks. To facilitate rigorous evaluation, our MRAMG-Bench incorporates a comprehensive suite of both statistical and LLM-based metrics, enabling a thorough analysis of the performance of popular generative models in the MRAMG task. Besides, we propose an efficient multimodal answer generation framework that leverages both LLMs and MLLMs to generate multimodal responses. Our datasets are available at: https://huggingface.co/MRAMG.




Abstract:In this work, we investigate a particular implicit bias in the gradient descent training process, which we term "Feature Averaging", and argue that it is one of the principal factors contributing to non-robustness of deep neural networks. Despite the existence of multiple discriminative features capable of classifying data, neural networks trained by gradient descent exhibit a tendency to learn the average (or certain combination) of these features, rather than distinguishing and leveraging each feature individually. In particular, we provide a detailed theoretical analysis of the training dynamics of gradient descent in a two-layer ReLU network for a binary classification task, where the data distribution consists of multiple clusters with orthogonal cluster center vectors. We rigorously prove that gradient descent converges to the regime of feature averaging, wherein the weights associated with each hidden-layer neuron represent an average of the cluster centers (each center corresponding to a distinct feature). It leads the network classifier to be non-robust due to an attack that aligns with the negative direction of the averaged features. Furthermore, we prove that, with the provision of more granular supervised information, a two-layer multi-class neural network is capable of learning individual features, from which one can derive a binary classifier with the optimal robustness under our setting. Besides, we also conduct extensive experiments using synthetic datasets, MNIST and CIFAR-10 to substantiate the phenomenon of feature averaging and its role in adversarial robustness of neural networks. We hope the theoretical and empirical insights can provide a deeper understanding of the impact of the gradient descent training on feature learning process, which in turn influences the robustness of the network, and how more detailed supervision may enhance model robustness.




Abstract:Adversarial training is a widely-applied approach to training deep neural networks to be robust against adversarial perturbation. However, although adversarial training has achieved empirical success in practice, it still remains unclear why adversarial examples exist and how adversarial training methods improve model robustness. In this paper, we provide a theoretical understanding of adversarial examples and adversarial training algorithms from the perspective of feature learning theory. Specifically, we focus on a multiple classification setting, where the structured data can be composed of two types of features: the robust features, which are resistant to perturbation but sparse, and the non-robust features, which are susceptible to perturbation but dense. We train a two-layer smoothed ReLU convolutional neural network to learn our structured data. First, we prove that by using standard training (gradient descent over the empirical risk), the network learner primarily learns the non-robust feature rather than the robust feature, which thereby leads to the adversarial examples that are generated by perturbations aligned with negative non-robust feature directions. Then, we consider the gradient-based adversarial training algorithm, which runs gradient ascent to find adversarial examples and runs gradient descent over the empirical risk at adversarial examples to update models. We show that the adversarial training method can provably strengthen the robust feature learning and suppress the non-robust feature learning to improve the network robustness. Finally, we also empirically validate our theoretical findings with experiments on real-image datasets, including MNIST, CIFAR10 and SVHN.
Abstract:Adversarial training is a standard method to train deep neural networks to be robust to adversarial perturbation. Similar to surprising $\textit{clean generalization}$ ability in the standard deep learning setting, neural networks trained by adversarial training also generalize well for $\textit{unseen clean data}$. However, in constrast with clean generalization, while adversarial training method is able to achieve low $\textit{robust training error}$, there still exists a significant $\textit{robust generalization gap}$, which promotes us exploring what mechanism leads to both $\textit{clean generalization and robust overfitting (CGRO)}$ during learning process. In this paper, we provide a theoretical understanding of this CGRO phenomenon in adversarial training. First, we propose a theoretical framework of adversarial training, where we analyze $\textit{feature learning process}$ to explain how adversarial training leads network learner to CGRO regime. Specifically, we prove that, under our patch-structured dataset, the CNN model provably partially learns the true feature but exactly memorizes the spurious features from training-adversarial examples, which thus results in clean generalization and robust overfitting. For more general data assumption, we then show the efficiency of CGRO classifier from the perspective of $\textit{representation complexity}$. On the empirical side, to verify our theoretical analysis in real-world vision dataset, we investigate the $\textit{dynamics of loss landscape}$ during training. Moreover, inspired by our experiments, we prove a robust generalization bound based on $\textit{global flatness}$ of loss landscape, which may be an independent interest.


Abstract:It is well-known that modern neural networks are vulnerable to adversarial examples. To mitigate this problem, a series of robust learning algorithms have been proposed. However, although the robust training error can be near zero via some methods, all existing algorithms lead to a high robust generalization error. In this paper, we provide a theoretical understanding of this puzzling phenomenon from the perspective of expressive power for deep neural networks. Specifically, for binary classification problems with well-separated data, we show that, for ReLU networks, while mild over-parameterization is sufficient for high robust training accuracy, there exists a constant robust generalization gap unless the size of the neural network is exponential in the data dimension $d$. Even if the data is linear separable, which means achieving low clean generalization error is easy, we can still prove an $\exp({\Omega}(d))$ lower bound for robust generalization. Moreover, we establish an improved upper bound of $\exp({\mathcal{O}}(k))$ for the network size to achieve low robust generalization error when the data lies on a manifold with intrinsic dimension $k$ ($k \ll d$). Nonetheless, we also have a lower bound that grows exponentially with respect to $k$ -- the curse of dimensionality is inevitable. By demonstrating an exponential separation between the network size for achieving low robust training and generalization error, our results reveal that the hardness of robust generalization may stem from the expressive power of practical models.




Abstract:Pruning well-trained neural networks is effective to achieve a promising accuracy-efficiency trade-off in computer vision regimes. However, most of existing pruning algorithms only focus on the classification task defined on the source domain. Different from the strong transferability of the original model, a pruned network is hard to transfer to complicated downstream tasks such as object detection arXiv:arch-ive/2012.04643. In this paper, we show that the image-level pretrain task is not capable of pruning models for diverse downstream tasks. To mitigate this problem, we introduce image reconstruction, a pixel-level task, into the traditional pruning framework. Concretely, an autoencoder is trained based on the original model, and then the pruning process is optimized with both autoencoder and classification losses. The empirical study on benchmark downstream tasks shows that the proposed method can outperform state-of-the-art results explicitly.




Abstract:The neural network with $1$-Lipschitz property based on $\ell_\infty$-dist neuron has a theoretical guarantee in certified $\ell_\infty$ robustness. However, due to the inherent difficulties in the training of the network, the certified accuracy of previous work is limited. In this paper, we propose two approaches to deal with these difficuties. Aiming at the characteristics of the training process based on $\ell_\infty$-norm neural network, we introduce the EMA method to improve the training process. Considering the randomness of the training algorithm, we propose an ensemble method based on trained base models that have the $1$-Lipschitz property and gain significant improvement in the small parameter network. Moreover, we give the theoretical analysis of the ensemble method based on the $1$-Lipschitz property on the certified robustness, which ensures the effectiveness and stability of the algorithm. Our code is available at https://github.com/Theia-4869/EMA-and-Ensemble-Lip-Networks.