Recommendation is the task of providing personalized suggestions to users based on their preferences and behavior.
Dynamic recommendation systems aim to provide personalized suggestions by modeling temporal user-item interactions across time-series behavioral data. Recent studies have leveraged pre-trained dynamic graph neural networks (GNNs) to learn user-item representations over temporal snapshot graphs. However, fine-tuning GNNs on these graphs often results in generalization issues due to temporal discrepancies between pre-training and fine-tuning stages, limiting the model's ability to capture evolving user preferences. To address this, we propose TarDGR, a task-aware retrieval-augmented framework designed to enhance generalization capability by incorporating task-aware model and retrieval-augmentation. Specifically, TarDGR introduces a Task-Aware Evaluation Mechanism to identify semantically relevant historical subgraphs, enabling the construction of task-specific datasets without manual labeling. It also presents a Graph Transformer-based Task-Aware Model that integrates semantic and structural encodings to assess subgraph relevance. During inference, TarDGR retrieves and fuses task-aware subgraphs with the query subgraph, enriching its representation and mitigating temporal generalization issues. Experiments on multiple large-scale dynamic graph datasets demonstrate that TarDGR consistently outperforms state-of-the-art methods, with extensive empirical evidence underscoring its superior accuracy and generalization capabilities.
Online health resources and large language models (LLMs) are increasingly used as a first point of contact for medical decision-making, yet their reliability in healthcare remains limited by low accuracy, lack of transparency, and susceptibility to unverified information. We introduce a proof-of-concept conversational self-triage system that guides LLMs with 100 clinically validated flowcharts from the American Medical Association, providing a structured and auditable framework for patient decision support. The system leverages a multi-agent framework consisting of a retrieval agent, a decision agent, and a chat agent to identify the most relevant flowchart, interpret patient responses, and deliver personalized, patient-friendly recommendations, respectively. Performance was evaluated at scale using synthetic datasets of simulated conversations. The system achieved 95.29% top-3 accuracy in flowchart retrieval (N=2,000) and 99.10% accuracy in flowchart navigation across varied conversational styles and conditions (N=37,200). By combining the flexibility of free-text interaction with the rigor of standardized clinical protocols, this approach demonstrates the feasibility of transparent, accurate, and generalizable AI-assisted self-triage, with potential to support informed patient decision-making while improving healthcare resource utilization.
Link prediction is a fundamental task in graph machine learning with applications, ranging from social recommendation to knowledge graph completion. Fairness in this setting is critical, as biased predictions can exacerbate societal inequalities. Prior work adopts a dyadic definition of fairness, enforcing fairness through demographic parity between intra-group and inter-group link predictions. However, we show that this dyadic framing can obscure underlying disparities across subgroups, allowing systemic biases to go undetected. Moreover, we argue that demographic parity does not meet desired properties for fairness assessment in ranking-based tasks such as link prediction. We formalize the limitations of existing fairness evaluations and propose a framework that enables a more expressive assessment. Additionally, we propose a lightweight post-processing method combined with decoupled link predictors that effectively mitigates bias and achieves state-of-the-art fairness-utility trade-offs.




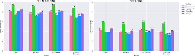
Recommender systems (RS) are currently being studied to mitigate limitations during cold-start conditions by leveraging modality information or introducing Agent concepts based on the exceptional reasoning capabilities of Large Language Models (LLMs). Meanwhile, food and beverage recommender systems have traditionally used knowledge graph and ontology concepts due to the domain's unique data attributes and relationship characteristics. On this background, we propose MARC, a multimodal and multi-task cocktail recommender system based on Agentic Retrieval-Augmented Generation (RAG) utilizing graph database under cold-start conditions. The proposed system generates high-quality, contextually appropriate answers through two core processes: a task recognition router and a reflection process. The graph database was constructed by processing cocktail data from Kaggle, and its effectiveness was evaluated using 200 manually crafted questions. The evaluation used both LLM-as-a-judge and human evaluation to demonstrate that answers generated via the graph database outperformed those from a simple vector database in terms of quality. The code is available at https://github.com/diddbwls/cocktail_rec_agentrag




Despite massive investments in scale, deep models for click-through rate (CTR) prediction often exhibit rapidly diminishing returns - a stark contrast to the smooth, predictable gains seen in large language models. We identify the root cause as a structural misalignment: Transformers assume sequential compositionality, while CTR data demand combinatorial reasoning over high-cardinality semantic fields. Unstructured attention spreads capacity indiscriminately, amplifying noise under extreme sparsity and breaking scalable learning. To restore alignment, we introduce the Field-Aware Transformer (FAT), which embeds field-based interaction priors into attention through decomposed content alignment and cross-field modulation. This design ensures model complexity scales with the number of fields F, not the total vocabulary size n >> F, leading to tighter generalization and, critically, observed power-law scaling in AUC as model width increases. We present the first formal scaling law for CTR models, grounded in Rademacher complexity, that explains and predicts this behavior. On large-scale benchmarks, FAT improves AUC by up to +0.51% over state-of-the-art methods. Deployed online, it delivers +2.33% CTR and +0.66% RPM. Our work establishes that effective scaling in recommendation arises not from size, but from structured expressivity-architectural coherence with data semantics.




Users of government employment websites commonly face engagement and accessibility challenges linked to navigational complexity, a dearth of language options, and a lack of personalized support. This paper introduces JobSphere, an AI-powered career assistant that is redefining the employment platform in Punjab called PGRKAM. JobSphere employs Retrieval-Augmented Generation (RAG) architecture, and it is multilingual, available in English, Hindi and Punjabi. JobSphere technique uses 4-bit quantization, allowing the platform to deploy on consumer-grade GPUs (i.e., NVIDIA RTX 3050 4GB), making the implementation 89% cheaper than that of cloud-based systems. Key innovations include voice-enabled interaction with the assistant, automated mock tests, resume parsing with skills recognition, and embed-based job recommendation that achieves a precision@10 score of 68%. An evaluation of JobSphere's implementation reveals 94% factual accuracy, a median response time of 1.8 seconds, and a System Usability Scale score of 78.5/100, a 50% improvement compared to the baseline PGRKAM platform context. In conclusion, JobSphere effectively fills significant accessibility gaps for Punjab/Hindi-speaking users in rural locations, while also affirming the users access to trusted job content provided by government agencies.
In the era of information explosion, Recommender Systems (RS) are essential for alleviating information overload and providing personalized user experiences. Recent advances in diffusion-based generative recommenders have shown promise in capturing the dynamic nature of user preferences. These approaches explore a broader range of user interests by progressively perturbing the distribution of user-item interactions and recovering potential preferences from noise, enabling nuanced behavioral understanding. However, existing diffusion-based approaches predominantly operate in continuous space through encoded graph-based historical interactions, which may compromise potential information loss and suffer from computational inefficiency. As such, we propose CDRec, a novel Continuous-time Discrete-space Diffusion Recommendation framework, which models user behavior patterns through discrete diffusion on historical interactions over continuous time. The discrete diffusion algorithm operates via discrete element operations (e.g., masking) while incorporating domain knowledge through transition matrices, producing more meaningful diffusion trajectories. Furthermore, the continuous-time formulation enables flexible adaptive sampling. To better adapt discrete diffusion models to recommendations, CDRec introduces: (1) a novel popularity-aware noise schedule that generates semantically meaningful diffusion trajectories, and (2) an efficient training framework combining consistency parameterization for fast sampling and a contrastive learning objective guided by multi-hop collaborative signals for personalized recommendation. Extensive experiments on real-world datasets demonstrate CDRec's superior performance in both recommendation accuracy and computational efficiency.
Sequential Recommenders, which exploit dynamic user intents through interaction sequences, is vulnerable to adversarial attacks. While existing attacks primarily rely on data poisoning, they require large-scale user access or fake profiles thus lacking practicality. In this paper, we focus on the Profile Pollution Attack that subtly contaminates partial user interactions to induce targeted mispredictions. Previous PPA methods suffer from two limitations, i.e., i) over-reliance on sequence horizon impact restricts fine-grained perturbations on item transitions, and ii) holistic modifications cause detectable distribution shifts. To address these challenges, we propose a constrained reinforcement driven attack CREAT that synergizes a bi-level optimization framework with multi-reward reinforcement learning to balance adversarial efficacy and stealthiness. We first develop a Pattern Balanced Rewarding Policy, which integrates pattern inversion rewards to invert critical patterns and distribution consistency rewards to minimize detectable shifts via unbalanced co-optimal transport. Then we employ a Constrained Group Relative Reinforcement Learning paradigm, enabling step-wise perturbations through dynamic barrier constraints and group-shared experience replay, achieving targeted pollution with minimal detectability. Extensive experiments demonstrate the effectiveness of CREAT.
Healthcare AI systems face major vulnerabilities to data poisoning that current defenses and regulations cannot adequately address. We analyzed eight attack scenarios in four categories: architectural attacks on convolutional neural networks, large language models, and reinforcement learning agents; infrastructure attacks exploiting federated learning and medical documentation systems; critical resource allocation attacks affecting organ transplantation and crisis triage; and supply chain attacks targeting commercial foundation models. Our findings indicate that attackers with access to only 100-500 samples can compromise healthcare AI regardless of dataset size, often achieving over 60 percent success, with detection taking an estimated 6 to 12 months or sometimes not occurring at all. The distributed nature of healthcare infrastructure creates many entry points where insiders with routine access can launch attacks with limited technical skill. Privacy laws such as HIPAA and GDPR can unintentionally shield attackers by restricting the analyses needed for detection. Supply chain weaknesses allow a single compromised vendor to poison models across 50 to 200 institutions. The Medical Scribe Sybil scenario shows how coordinated fake patient visits can poison data through legitimate clinical workflows without requiring a system breach. Current regulations lack mandatory adversarial robustness testing, and federated learning can worsen risks by obscuring attribution. We recommend multilayer defenses including required adversarial testing, ensemble-based detection, privacy-preserving security mechanisms, and international coordination on AI security standards. We also question whether opaque black-box models are suitable for high-stakes clinical decisions, suggesting a shift toward interpretable systems with verifiable safety guarantees.
Large language models (LLMs) have shown considerable promise in clinical natural language processing, yet few domain-specific datasets exist to rigorously evaluate their performance on radiology tasks. In this work, we introduce an annotated corpus of 6,393 radiology reports from 586 patients, each labeled for follow-up imaging status, to support the development and benchmarking of follow-up adherence detection systems. Using this corpus, we systematically compared traditional machine-learning classifiers, including logistic regression (LR), support vector machines (SVM), Longformer, and a fully fine-tuned Llama3-8B-Instruct, with recent generative LLMs. To evaluate generative LLMs, we tested GPT-4o and the open-source GPT-OSS-20B under two configurations: a baseline (Base) and a task-optimized (Advanced) setting that focused inputs on metadata, recommendation sentences, and their surrounding context. A refined prompt for GPT-OSS-20B further improved reasoning accuracy. Performance was assessed using precision, recall, and F1 scores with 95% confidence intervals estimated via non-parametric bootstrapping. Inter-annotator agreement was high (F1 = 0.846). GPT-4o (Advanced) achieved the best performance (F1 = 0.832), followed closely by GPT-OSS-20B (Advanced; F1 = 0.828). LR and SVM also performed strongly (F1 = 0.776 and 0.775), underscoring that while LLMs approach human-level agreement through prompt optimization, interpretable and resource-efficient models remain valuable baselines.