



Abstract:This report presents Wan, a comprehensive and open suite of video foundation models designed to push the boundaries of video generation. Built upon the mainstream diffusion transformer paradigm, Wan achieves significant advancements in generative capabilities through a series of innovations, including our novel VAE, scalable pre-training strategies, large-scale data curation, and automated evaluation metrics. These contributions collectively enhance the model's performance and versatility. Specifically, Wan is characterized by four key features: Leading Performance: The 14B model of Wan, trained on a vast dataset comprising billions of images and videos, demonstrates the scaling laws of video generation with respect to both data and model size. It consistently outperforms the existing open-source models as well as state-of-the-art commercial solutions across multiple internal and external benchmarks, demonstrating a clear and significant performance superiority. Comprehensiveness: Wan offers two capable models, i.e., 1.3B and 14B parameters, for efficiency and effectiveness respectively. It also covers multiple downstream applications, including image-to-video, instruction-guided video editing, and personal video generation, encompassing up to eight tasks. Consumer-Grade Efficiency: The 1.3B model demonstrates exceptional resource efficiency, requiring only 8.19 GB VRAM, making it compatible with a wide range of consumer-grade GPUs. Openness: We open-source the entire series of Wan, including source code and all models, with the goal of fostering the growth of the video generation community. This openness seeks to significantly expand the creative possibilities of video production in the industry and provide academia with high-quality video foundation models. All the code and models are available at https://github.com/Wan-Video/Wan2.1.




Abstract:Industrial defect segmentation is critical for manufacturing quality control. Due to the scarcity of training defect samples, few-shot semantic segmentation (FSS) holds significant value in this field. However, existing studies mostly apply FSS to tackle defects on simple textures, without considering more diverse scenarios. This paper aims to address this gap by exploring FSS in broader industrial products with various defect types. To this end, we contribute a new real-world dataset and reorganize some existing datasets to build a more comprehensive few-shot defect segmentation (FDS) benchmark. On this benchmark, we thoroughly investigate metric learning-based FSS methods, including those based on meta-learning and those based on Vision Foundation Models (VFMs). We observe that existing meta-learning-based methods are generally not well-suited for this task, while VFMs hold great potential. We further systematically study the applicability of various VFMs in this task, involving two paradigms: feature matching and the use of Segment Anything (SAM) models. We propose a novel efficient FDS method based on feature matching. Meanwhile, we find that SAM2 is particularly effective for addressing FDS through its video track mode. The contributed dataset and code will be available at: https://github.com/liutongkun/GFDS.




Abstract:Recent research arXiv:2410.15027 arXiv:2410.23775 has highlighted the inherent in-context generation capabilities of pretrained diffusion transformers (DiTs), enabling them to seamlessly adapt to diverse visual tasks with minimal or no architectural modifications. These capabilities are unlocked by concatenating self-attention tokens across multiple input and target images, combined with grouped and masked generation pipelines. Building upon this foundation, we present ChatDiT, a zero-shot, general-purpose, and interactive visual generation framework that leverages pretrained diffusion transformers in their original form, requiring no additional tuning, adapters, or modifications. Users can interact with ChatDiT to create interleaved text-image articles, multi-page picture books, edit images, design IP derivatives, or develop character design settings, all through free-form natural language across one or more conversational rounds. At its core, ChatDiT employs a multi-agent system comprising three key components: an Instruction-Parsing agent that interprets user-uploaded images and instructions, a Strategy-Planning agent that devises single-step or multi-step generation actions, and an Execution agent that performs these actions using an in-context toolkit of diffusion transformers. We thoroughly evaluate ChatDiT on IDEA-Bench arXiv:2412.11767, comprising 100 real-world design tasks and 275 cases with diverse instructions and varying numbers of input and target images. Despite its simplicity and training-free approach, ChatDiT surpasses all competitors, including those specifically designed and trained on extensive multi-task datasets. We further identify key limitations of pretrained DiTs in zero-shot adapting to tasks. We release all code, agents, results, and intermediate outputs to facilitate further research at https://github.com/ali-vilab/ChatDiT




Abstract:Real-world design tasks - such as picture book creation, film storyboard development using character sets, photo retouching, visual effects, and font transfer - are highly diverse and complex, requiring deep interpretation and extraction of various elements from instructions, descriptions, and reference images. The resulting images often implicitly capture key features from references or user inputs, making it challenging to develop models that can effectively address such varied tasks. While existing visual generative models can produce high-quality images based on prompts, they face significant limitations in professional design scenarios that involve varied forms and multiple inputs and outputs, even when enhanced with adapters like ControlNets and LoRAs. To address this, we introduce IDEA-Bench, a comprehensive benchmark encompassing 100 real-world design tasks, including rendering, visual effects, storyboarding, picture books, fonts, style-based, and identity-preserving generation, with 275 test cases to thoroughly evaluate a model's general-purpose generation capabilities. Notably, even the best-performing model only achieves 22.48 on IDEA-Bench, while the best general-purpose model only achieves 6.81. We provide a detailed analysis of these results, highlighting the inherent challenges and providing actionable directions for improvement. Additionally, we provide a subset of 18 representative tasks equipped with multimodal large language model (MLLM)-based auto-evaluation techniques to facilitate rapid model development and comparison. We releases the benchmark data, evaluation toolkits, and an online leaderboard at https://github.com/ali-vilab/IDEA-Bench, aiming to drive the advancement of generative models toward more versatile and applicable intelligent design systems.




Abstract:Recent research arXiv:2410.15027 has explored the use of diffusion transformers (DiTs) for task-agnostic image generation by simply concatenating attention tokens across images. However, despite substantial computational resources, the fidelity of the generated images remains suboptimal. In this study, we reevaluate and streamline this framework by hypothesizing that text-to-image DiTs inherently possess in-context generation capabilities, requiring only minimal tuning to activate them. Through diverse task experiments, we qualitatively demonstrate that existing text-to-image DiTs can effectively perform in-context generation without any tuning. Building on this insight, we propose a remarkably simple pipeline to leverage the in-context abilities of DiTs: (1) concatenate images instead of tokens, (2) perform joint captioning of multiple images, and (3) apply task-specific LoRA tuning using small datasets (e.g., $20\sim 100$ samples) instead of full-parameter tuning with large datasets. We name our models In-Context LoRA (IC-LoRA). This approach requires no modifications to the original DiT models, only changes to the training data. Remarkably, our pipeline generates high-fidelity image sets that better adhere to prompts. While task-specific in terms of tuning data, our framework remains task-agnostic in architecture and pipeline, offering a powerful tool for the community and providing valuable insights for further research on product-level task-agnostic generation systems. We release our code, data, and models at https://github.com/ali-vilab/In-Context-LoRA

Abstract:While large language models (LLMs) have revolutionized natural language processing with their task-agnostic capabilities, visual generation tasks such as image translation, style transfer, and character customization still rely heavily on supervised, task-specific datasets. In this work, we introduce Group Diffusion Transformers (GDTs), a novel framework that unifies diverse visual generation tasks by redefining them as a group generation problem. In this approach, a set of related images is generated simultaneously, optionally conditioned on a subset of the group. GDTs build upon diffusion transformers with minimal architectural modifications by concatenating self-attention tokens across images. This allows the model to implicitly capture cross-image relationships (e.g., identities, styles, layouts, surroundings, and color schemes) through caption-based correlations. Our design enables scalable, unsupervised, and task-agnostic pretraining using extensive collections of image groups sourced from multimodal internet articles, image galleries, and video frames. We evaluate GDTs on a comprehensive benchmark featuring over 200 instructions across 30 distinct visual generation tasks, including picture book creation, font design, style transfer, sketching, colorization, drawing sequence generation, and character customization. Our models achieve competitive zero-shot performance without any additional fine-tuning or gradient updates. Furthermore, ablation studies confirm the effectiveness of key components such as data scaling, group size, and model design. These results demonstrate the potential of GDTs as scalable, general-purpose visual generation systems.
Abstract:Audio coding is an essential module in the real-time communication system. Neural audio codecs can compress audio samples with a low bitrate due to the strong modeling and generative capabilities of deep neural networks. To address the poor high-frequency expression and high computational cost and storage consumption, we proposed an integrated framework that utilizes a neural network to model wide-band components and adopts traditional signal processing to compress high-band components according to psychological hearing knowledge. Inspired by auditory perception theory, a perception-based loss function is designed to improve harmonic modeling. Besides, generative adversarial network (GAN) compression is proposed for the first time for neural audio codecs. Our method is superior to prior advanced neural codecs across subjective and objective metrics and allows real-time inference on desktop and mobile.
Abstract:This paper describes a real-time General Speech Reconstruction (Gesper) system submitted to the ICASSP 2023 Speech Signal Improvement (SSI) Challenge. This novel proposed system is a two-stage architecture, in which the speech restoration is performed, and then cascaded by speech enhancement. We propose a complex spectral mapping-based generative adversarial network (CSM-GAN) as the speech restoration module for the first time. For noise suppression and dereverberation, the enhancement module is performed with fullband-wideband parallel processing. On the blind test set of ICASSP 2023 SSI Challenge, the proposed Gesper system, which satisfies the real-time condition, achieves 3.27 P.804 overall mean opinion score (MOS) and 3.35 P.835 overall MOS, ranked 1st in both track 1 and track 2.




Abstract:Semantic image synthesis is a challenging task with many practical applications. Albeit remarkable progress has been made in semantic image synthesis with spatially-adaptive normalization and existing methods normalize the feature activations under the coarse-level guidance (e.g., semantic class). However, different parts of a semantic object (e.g., wheel and window of car) are quite different in structures and textures, making blurry synthesis results usually inevitable due to the missing of fine-grained guidance. In this paper, we propose a novel normalization module, termed as REtrieval-based Spatially AdaptIve normaLization (RESAIL), for introducing pixel level fine-grained guidance to the normalization architecture. Specifically, we first present a retrieval paradigm by finding a content patch of the same semantic class from training set with the most similar shape to each test semantic mask. Then, RESAIL is presented to use the retrieved patch for guiding the feature normalization of corresponding region, and can provide pixel level fine-grained guidance, thereby greatly mitigating blurry synthesis results. Moreover, distorted ground-truth images are also utilized as alternatives of retrieval-based guidance for feature normalization, further benefiting model training and improving visual quality of generated images. Experiments on several challenging datasets show that our RESAIL performs favorably against state-of-the-arts in terms of quantitative metrics, visual quality, and subjective evaluation. The source code and pre-trained models will be publicly available.




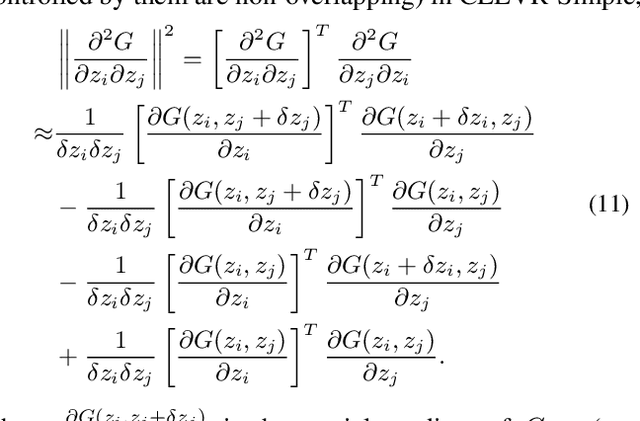
Abstract:Unsupervised disentanglement learning is a crucial issue for understanding and exploiting deep generative models. Recently, SeFa tries to find latent disentangled directions by performing SVD on the first projection of a pre-trained GAN. However, it is only applied to the first layer and works in a post-processing way. Hessian Penalty minimizes the off-diagonal entries of the output's Hessian matrix to facilitate disentanglement, and can be applied to multi-layers.However, it constrains each entry of output independently, making it not sufficient in disentangling the latent directions (e.g., shape, size, rotation, etc.) of spatially correlated variations. In this paper, we propose a simple Orthogonal Jacobian Regularization (OroJaR) to encourage deep generative model to learn disentangled representations. It simply encourages the variation of output caused by perturbations on different latent dimensions to be orthogonal, and the Jacobian with respect to the input is calculated to represent this variation. We show that our OroJaR also encourages the output's Hessian matrix to be diagonal in an indirect manner. In contrast to the Hessian Penalty, our OroJaR constrains the output in a holistic way, making it very effective in disentangling latent dimensions corresponding to spatially correlated variations. Quantitative and qualitative experimental results show that our method is effective in disentangled and controllable image generation, and performs favorably against the state-of-the-art methods. Our code is available at https://github.com/csyxwei/OroJaR