Abstract:Robotic systems demand accurate and comprehensive 3D environment perception, requiring simultaneous capture of photo-realistic appearance (optical), precise layout shape (geometric), and open-vocabulary scene understanding (semantic). Existing methods typically achieve only partial fulfillment of these requirements while exhibiting optical blurring, geometric irregularities, and semantic ambiguities. To address these challenges, we propose OmniMap. Overall, OmniMap represents the first online mapping framework that simultaneously captures optical, geometric, and semantic scene attributes while maintaining real-time performance and model compactness. At the architectural level, OmniMap employs a tightly coupled 3DGS-Voxel hybrid representation that combines fine-grained modeling with structural stability. At the implementation level, OmniMap identifies key challenges across different modalities and introduces several innovations: adaptive camera modeling for motion blur and exposure compensation, hybrid incremental representation with normal constraints, and probabilistic fusion for robust instance-level understanding. Extensive experiments show OmniMap's superior performance in rendering fidelity, geometric accuracy, and zero-shot semantic segmentation compared to state-of-the-art methods across diverse scenes. The framework's versatility is further evidenced through a variety of downstream applications, including multi-domain scene Q&A, interactive editing, perception-guided manipulation, and map-assisted navigation.




Abstract:Graph Domain Adaptation (GDA) transfers knowledge from labeled source graphs to unlabeled target graphs, addressing the challenge of label scarcity. In this paper, we highlight the significance of graph homophily, a pivotal factor for graph domain alignment, which, however, has long been overlooked in existing approaches. Specifically, our analysis first reveals that homophily discrepancies exist in benchmarks. Moreover, we also show that homophily discrepancies degrade GDA performance from both empirical and theoretical aspects, which further underscores the importance of homophily alignment in GDA. Inspired by this finding, we propose a novel homophily alignment algorithm that employs mixed filters to smooth graph signals, thereby effectively capturing and mitigating homophily discrepancies between graphs. Experimental results on a variety of benchmarks verify the effectiveness of our method.
Abstract:In recent years, there has been a surge of interest in open-vocabulary 3D scene reconstruction facilitated by visual language models (VLMs), which showcase remarkable capabilities in open-set retrieval. However, existing methods face some limitations: they either focus on learning point-wise features, resulting in blurry semantic understanding, or solely tackle object-level reconstruction, thereby overlooking the intricate details of the object's interior. To address these challenges, we introduce OpenObj, an innovative approach to build open-vocabulary object-level Neural Radiance Fields (NeRF) with fine-grained understanding. In essence, OpenObj establishes a robust framework for efficient and watertight scene modeling and comprehension at the object-level. Moreover, we incorporate part-level features into the neural fields, enabling a nuanced representation of object interiors. This approach captures object-level instances while maintaining a fine-grained understanding. The results on multiple datasets demonstrate that OpenObj achieves superior performance in zero-shot semantic segmentation and retrieval tasks. Additionally, OpenObj supports real-world robotics tasks at multiple scales, including global movement and local manipulation.




Abstract:Environment representations endowed with sophisticated semantics are pivotal for facilitating seamless interaction between robots and humans, enabling them to effectively carry out various tasks. Open-vocabulary maps, powered by Visual-Language models (VLMs), possess inherent advantages, including zero-shot learning and support for open-set classes. However, existing open-vocabulary maps are primarily designed for small-scale environments, such as desktops or rooms, and are typically geared towards limited-area tasks involving robotic indoor navigation or in-place manipulation. They face challenges in direct generalization to outdoor environments characterized by numerous objects and complex tasks, owing to limitations in both understanding level and map structure. In this work, we propose OpenGraph, the first open-vocabulary hierarchical graph representation designed for large-scale outdoor environments. OpenGraph initially extracts instances and their captions from visual images, enhancing textual reasoning by encoding them. Subsequently, it achieves 3D incremental object-centric mapping with feature embedding by projecting images onto LiDAR point clouds. Finally, the environment is segmented based on lane graph connectivity to construct a hierarchical graph. Validation results from public dataset SemanticKITTI demonstrate that OpenGraph achieves the highest segmentation and query accuracy. The source code of OpenGraph is publicly available at https://github.com/BIT-DYN/OpenGraph.




Abstract:Sequential Recommenders have been widely applied in various online services, aiming to model users' dynamic interests from their sequential interactions. With users increasingly engaging with online platforms, vast amounts of lifelong user behavioral sequences have been generated. However, existing sequential recommender models often struggle to handle such lifelong sequences. The primary challenges stem from computational complexity and the ability to capture long-range dependencies within the sequence. Recently, a state space model featuring a selective mechanism (i.e., Mamba) has emerged. In this work, we investigate the performance of Mamba for lifelong sequential recommendation (i.e., length>=2k). More specifically, we leverage the Mamba block to model lifelong user sequences selectively. We conduct extensive experiments to evaluate the performance of representative sequential recommendation models in the setting of lifelong sequences. Experiments on two real-world datasets demonstrate the superiority of Mamba. We found that RecMamba achieves performance comparable to the representative model while significantly reducing training duration by approximately 70% and memory costs by 80%. Codes and data are available at \url{https://github.com/nancheng58/RecMamba}.




Abstract:Optical diffractive neural networks have triggered extensive research with their low power consumption and high speed in image processing. In this work, we propose a reconfigurable digital all-optical diffractive neural network (R-ODNN) structure. The optical neurons are built with Sb2Se3 phase-change material, making our network reconfigurable, digital, and non-volatile. Using three digital diffractive layers with 14,400 neurons on each and 10 photodetectors connected to a resistor network, our model achieves 94.46% accuracy for handwritten digit recognition. We also performed full-vector simulations and discussed the impact of errors to demonstrate the feasibility and robustness of the R-ODNN.




Abstract:More and more evidence has shown that strengthening layer interactions can enhance the representation power of a deep neural network, while self-attention excels at learning interdependencies by retrieving query-activated information. Motivated by this, we devise a cross-layer attention mechanism, called multi-head recurrent layer attention (MRLA), that sends a query representation of the current layer to all previous layers to retrieve query-related information from different levels of receptive fields. A light-weighted version of MRLA is also proposed to reduce the quadratic computation cost. The proposed layer attention mechanism can enrich the representation power of many state-of-the-art vision networks, including CNNs and vision transformers. Its effectiveness has been extensively evaluated in image classification, object detection and instance segmentation tasks, where improvements can be consistently observed. For example, our MRLA can improve 1.6% Top-1 accuracy on ResNet-50, while only introducing 0.16M parameters and 0.07B FLOPs. Surprisingly, it can boost the performances by a large margin of 3-4% box AP and mask AP in dense prediction tasks. Our code is available at https://github.com/joyfang1106/MRLA.




Abstract:This paper introduces a concept of layer aggregation to describe how information from previous layers can be reused to better extract features at the current layer. While DenseNet is a typical example of the layer aggregation mechanism, its redundancy has been commonly criticized in the literature. This motivates us to propose a very light-weighted module, called recurrent layer aggregation (RLA), by making use of the sequential structure of layers in a deep CNN. Our RLA module is compatible with many mainstream deep CNNs, including ResNets, Xception and MobileNetV2, and its effectiveness is verified by our extensive experiments on image classification, object detection and instance segmentation tasks. Specifically, improvements can be uniformly observed on CIFAR, ImageNet and MS COCO datasets, and the corresponding RLA-Nets can surprisingly boost the performances by 2-3% on the object detection task. This evidences the power of our RLA module in helping main CNNs better learn structural information in images.




Abstract:In E-commerce, vouchers are important marketing tools to enhance users' engagement and boost sales and revenue. The likelihood that a user redeems a voucher is a key factor in voucher distribution decision. User-item Click-Through-Rate (CTR) models are often applied to predict the user-voucher redemption rate. However, the voucher scenario involves more complicated relations among users, items and vouchers. The users' historical behavior in a voucher collection activity reflects users' voucher usage patterns, which is nevertheless overlooked by the CTR-based solutions. In this paper, we propose a Deep Multi-behavior Graph Networks (DMBGN) to shed light on this field for the voucher redemption rate prediction. The complex structural user-voucher-item relationships are captured by a User-Behavior Voucher Graph (UVG). User behavior happening both before and after voucher collection is taken into consideration, and a high-level representation is extracted by Higher-order Graph Neural Networks. On top of a sequence of UVGs, an attention network is built which can help to learn users' long-term voucher redemption preference. Extensive experiments on three large-scale production datasets demonstrate the proposed DMBGN model is effective, with 10% to 16% relative AUC improvement over Deep Neural Networks (DNN), and 2% to 4% AUC improvement over Deep Interest Network (DIN). Source code and a sample dataset are made publicly available to facilitate future research.




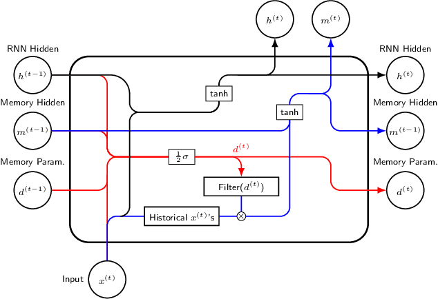
Abstract:The LSTM network was proposed to overcome the difficulty in learning long-term dependence, and has made significant advancements in applications. With its success and drawbacks in mind, this paper raises the question - do RNN and LSTM have long memory? We answer it partially by proving that RNN and LSTM do not have long memory from a statistical perspective. A new definition for long memory networks is further introduced, and it requires the model weights to decay at a polynomial rate. To verify our theory, we convert RNN and LSTM into long memory networks by making a minimal modification, and their superiority is illustrated in modeling long-term dependence of various datasets.