Topic modeling is a type of statistical modeling for discovering the abstract topics that occur in a collection of documents.




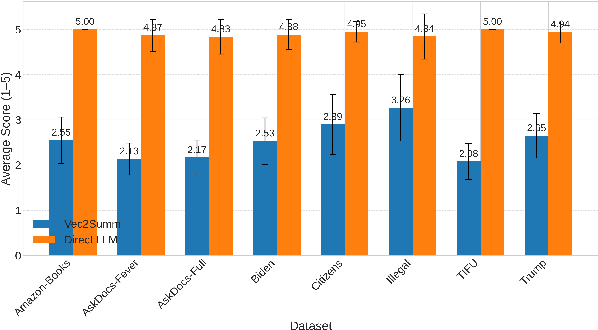
We propose Vec2Summ, a novel method for abstractive summarization that frames the task as semantic compression. Vec2Summ represents a document collection using a single mean vector in the semantic embedding space, capturing the central meaning of the corpus. To reconstruct fluent summaries, we perform embedding inversion -- decoding this mean vector into natural language using a generative language model. To improve reconstruction quality and capture some degree of topical variability, we introduce stochasticity by sampling from a Gaussian distribution centered on the mean. This approach is loosely analogous to bagging in ensemble learning, where controlled randomness encourages more robust and varied outputs. Vec2Summ addresses key limitations of LLM-based summarization methods. It avoids context-length constraints, enables interpretable and controllable generation via semantic parameters, and scales efficiently with corpus size -- requiring only $O(d + d^2)$ parameters. Empirical results show that Vec2Summ produces coherent summaries for topically focused, order-invariant corpora, with performance comparable to direct LLM summarization in terms of thematic coverage and efficiency, albeit with less fine-grained detail. These results underscore Vec2Summ's potential in settings where scalability, semantic control, and corpus-level abstraction are prioritized.
Topic model and document-clustering evaluations either use automated metrics that align poorly with human preferences or require expert labels that are intractable to scale. We design a scalable human evaluation protocol and a corresponding automated approximation that reflect practitioners' real-world usage of models. Annotators -- or an LLM-based proxy -- review text items assigned to a topic or cluster, infer a category for the group, then apply that category to other documents. Using this protocol, we collect extensive crowdworker annotations of outputs from a diverse set of topic models on two datasets. We then use these annotations to validate automated proxies, finding that the best LLM proxies are statistically indistinguishable from a human annotator and can therefore serve as a reasonable substitute in automated evaluations. Package, web interface, and data are at https://github.com/ahoho/proxann
The explosive growth of textual data over time presents a significant challenge in uncovering evolving themes and trends. Existing dynamic topic modeling techniques, while powerful, often exist in fragmented pipelines that lack robust support for interpretation and user-friendly exploration. We introduce DTECT (Dynamic Topic Explorer & Context Tracker), an end-to-end system that bridges the gap between raw textual data and meaningful temporal insights. DTECT provides a unified workflow that supports data preprocessing, multiple model architectures, and dedicated evaluation metrics to analyze the topic quality of temporal topic models. It significantly enhances interpretability by introducing LLM-driven automatic topic labeling, trend analysis via temporally salient words, interactive visualizations with document-level summarization, and a natural language chat interface for intuitive data querying. By integrating these features into a single, cohesive platform, DTECT empowers users to more effectively track and understand thematic dynamics. DTECT is open-source and available at https://github.com/AdhyaSuman/DTECT.
Retrieval-augmented generation (RAG) systems improve large language model outputs by incorporating external knowledge, enabling more informed and context-aware responses. However, the effectiveness and trustworthiness of these systems critically depends on how they are evaluated, particularly on whether the evaluation process captures real-world constraints like protecting sensitive information. While current evaluation efforts for RAG systems have primarily focused on the development of performance metrics, far less attention has been given to the design and quality of the underlying evaluation datasets, despite their pivotal role in enabling meaningful, reliable assessments. In this work, we introduce a novel multi-agent framework for generating synthetic QA datasets for RAG evaluation that prioritize semantic diversity and privacy preservation. Our approach involves: (1) a Diversity agent leveraging clustering techniques to maximize topical coverage and semantic variability, (2) a Privacy Agent that detects and mask sensitive information across multiple domains and (3) a QA curation agent that synthesizes private and diverse QA pairs suitable as ground truth for RAG evaluation. Extensive experiments demonstrate that our evaluation sets outperform baseline methods in diversity and achieve robust privacy masking on domain-specific datasets. This work offers a practical and ethically aligned pathway toward safer, more comprehensive RAG system evaluation, laying the foundation for future enhancements aligned with evolving AI regulations and compliance standards.
Understanding how policy language evolves over time is critical for assessing global responses to complex challenges such as climate change. Temporal analysis helps stakeholders, including policymakers and researchers, to evaluate past priorities, identify emerging themes, design governance strategies, and develop mitigation measures. Traditional approaches, such as manual thematic coding, are time-consuming and limited in capturing the complex, interconnected nature of global policy discourse. With the increasing relevance of unsupervised machine learning, these limitations can be addressed, particularly under high-volume, complex, and high-dimensional data conditions. In this work, we explore a novel approach that applies the dynamic embedded topic model (DETM) to analyze the evolution of global climate policy discourse. A probabilistic model designed to capture the temporal dynamics of topics over time. We collected a corpus of United Nations Framework Convention on Climate Change (UNFCCC) policy decisions from 1995 to 2023, excluding 2020 due to the postponement of COP26 as a result of the COVID-19 pandemic. The model reveals shifts from early emphases on greenhouse gases and international conventions to recent focuses on implementation, technical collaboration, capacity building, finance, and global agreements. Section 3 presents the modeling pipeline, including preprocessing, model training, and visualization of temporal word distributions. Our results show that DETM is a scalable and effective tool for analyzing the evolution of global policy discourse. Section 4 discusses the implications of these findings and we concluded with future directions and refinements to extend this approach to other policy domains.




Estimating emotional states from physiological signals is a central topic in affective computing and psychophysiology. While many emotion estimation systems implicitly assume a stable relationship between physiological features and subjective affect, this assumption has rarely been tested over long timeframes. This study investigates whether such relationships remain consistent across several months within individuals. We developed a custom measurement system and constructed a longitudinal dataset by collecting physiological signals -- including blood volume pulse, electrodermal activity (EDA), skin temperature, and acceleration--along with self-reported emotional states from 24 participants over two three-month periods. Data were collected in naturalistic working environments, allowing analysis of the relationship between physiological features and subjective arousal in everyday contexts. We examined how physiological-arousal relationships evolve over time by using Explainable Boosting Machines (EBMs) to ensure model interpretability. A model trained on 1st-period data showed a 5\% decrease in accuracy when tested on 2nd-period data, indicating long-term variability in physiological-arousal associations. EBM-based comparisons further revealed that while heart rate remained a relatively stable predictor, minimum EDA exhibited substantial individual-level fluctuations between periods. While the number of participants is limited, these findings highlight the need to account for temporal variability in physiological-arousal relationships and suggest that emotion estimation models should be periodically updated -- e.g., every five months -- based on observed shift trends to maintain robust performance over time.




Quality analysis of weather forecasts is an essential topic in meteorology. Although traditional score-based evaluation metrics can quantify certain forecast errors, they are still far from meteorological experts in terms of descriptive capability, interpretability, and understanding of dynamic evolution. With the rapid development of Multi-modal Large Language Models (MLLMs), these models become potential tools to overcome the above challenges. In this work, we introduce an MLLM-based weather forecast analysis method, RadarQA, integrating key physical attributes with detailed assessment reports. We introduce a novel and comprehensive task paradigm for multi-modal quality analysis, encompassing both single frame and sequence, under both rating and assessment scenarios. To support training and benchmarking, we design a hybrid annotation pipeline that combines human expert labeling with automated heuristics. With such an annotation method, we construct RQA-70K, a large-scale dataset with varying difficulty levels for radar forecast quality evaluation. We further design a multi-stage training strategy that iteratively improves model performance at each stage. Extensive experiments show that RadarQA outperforms existing general MLLMs across all evaluation settings, highlighting its potential for advancing quality analysis in weather prediction.
The active research topic of prompt engineering makes it evident that LLMs are sensitive to small changes in prompt wording. A portion of this can be ascribed to the inductive bias that is present in the LLM. By using an LLM's output as a portion of its prompt, we can more easily create satisfactory wording for prompts. This has the effect of creating a prompt that matches the inductive bias in model. Empirically, we show that using this Inductive Bias Extraction and Matching strategy improves LLM Likert ratings used for classification by up to 19% and LLM Likert ratings used for ranking by up to 27%.
LLMs have been shown to perform well in machine translation (MT) with the use of in-context learning (ICL), rivaling supervised models when translating into high-resource languages (HRLs). However, they lag behind when translating into low-resource language (LRLs). Example selection via similarity search and supervised fine-tuning help. However the improvements they give are limited by the size, quality and diversity of existing parallel datasets. A common technique in low-resource MT is synthetic parallel data creation, the most frequent of which is backtranslation, whereby existing target-side texts are automatically translated into the source language. However, this assumes the existence of good quality and relevant target-side texts, which are not readily available for many LRLs. In this paper, we present \textsc{TopXGen}, an LLM-based approach for the generation of high quality and topic-diverse data in multiple LRLs, which can then be backtranslated to produce useful and diverse parallel texts for ICL and fine-tuning. Our intuition is that while LLMs struggle to translate into LRLs, their ability to translate well into HRLs and their multilinguality enable them to generate good quality, natural-sounding target-side texts, which can be translated well into a high-resource source language. We show that \textsc{TopXGen} boosts LLM translation performance during fine-tuning and in-context learning. Code and outputs are available at https://github.com/ArmelRandy/topxgen.
Precise automated understanding of agricultural tasks such as disease identification is essential for sustainable crop production. Recent advances in vision-language models (VLMs) are expected to further expand the range of agricultural tasks by facilitating human-model interaction through easy, text-based communication. Here, we introduce AgroBench (Agronomist AI Benchmark), a benchmark for evaluating VLM models across seven agricultural topics, covering key areas in agricultural engineering and relevant to real-world farming. Unlike recent agricultural VLM benchmarks, AgroBench is annotated by expert agronomists. Our AgroBench covers a state-of-the-art range of categories, including 203 crop categories and 682 disease categories, to thoroughly evaluate VLM capabilities. In our evaluation on AgroBench, we reveal that VLMs have room for improvement in fine-grained identification tasks. Notably, in weed identification, most open-source VLMs perform close to random. With our wide range of topics and expert-annotated categories, we analyze the types of errors made by VLMs and suggest potential pathways for future VLM development. Our dataset and code are available at https://dahlian00.github.io/AgroBenchPage/ .