Abstract:Traditional sparse and dense retrieval methods struggle to leverage general world knowledge and often fail to capture the nuanced features of queries and products. With the advent of large language models (LLMs), industrial search systems have started to employ LLMs to generate identifiers for product retrieval. Commonly used identifiers include (1) static/semantic IDs and (2) product term sets. The first approach requires creating a product ID system from scratch, missing out on the world knowledge embedded within LLMs. While the second approach leverages this general knowledge, the significant difference in word distribution between queries and products means that product-based identifiers often do not align well with user search queries, leading to missed product recalls. Furthermore, when queries contain numerous attributes, these algorithms generate a large number of identifiers, making it difficult to assess their quality, which results in low overall recall efficiency. To address these challenges, this paper introduces a novel e-commerce retrieval paradigm: the Generative Retrieval and Alignment Model (GRAM). GRAM employs joint training on text information from both queries and products to generate shared text identifier codes, effectively bridging the gap between queries and products. This approach not only enhances the connection between queries and products but also improves inference efficiency. The model uses a co-alignment strategy to generate codes optimized for maximizing retrieval efficiency. Additionally, it introduces a query-product scoring mechanism to compare product values across different codes, further boosting retrieval efficiency. Extensive offline and online A/B testing demonstrates that GRAM significantly outperforms traditional models and the latest generative retrieval models, confirming its effectiveness and practicality.




Abstract:As one transitions from statistical to causal learning, one is seeking the most appropriate causal model. Dynamic Bayesian networks are a popular model, where a weighted directed acyclic graph represents the causal relationships. Stochastic processes are represented by its vertices, and weighted oriented edges suggest the strength of the causal relationships. When there are confounders, one would like to utilize both oriented edges (when the direction of causality is clear) and edges that are not oriented (when there is a confounder), yielding mixed graphs. A little-studied extension of acyclicity to this mixed-graph setting is known as maximally ancestral graphs. We propose a score-based learning algorithm for learning maximally ancestral graphs. A mixed-integer quadratic program is formulated, and an algorithmic approach is proposed, in which the pre-generation of exponentially many constraints is avoided by generating only violated constraints in the so-called branch-and-cut (``lazy constraint'') method. Comparing the novel approach to the state-of-the-art, we show that the proposed approach turns out to produce more accurate results when applied to small and medium-sized synthetic instances containing up to 25 variables.




Abstract:In this work, we address the limitations of denoising diffusion models (DDMs) in image restoration tasks, particularly the shape and color distortions that can compromise image quality. While DDMs have demonstrated a promising performance in many applications such as text-to-image synthesis, their effectiveness in image restoration is often hindered by shape and color distortions. We observe that these issues arise from inconsistencies between the training and testing data used by DDMs. Based on our observation, we propose a novel training method, named data-consistent training, which allows the DDMs to access images with accumulated errors during training, thereby ensuring the model to learn to correct these errors. Experimental results show that, across five image restoration tasks, our method has significant improvements over state-of-the-art methods while effectively minimizing distortions and preserving image fidelity.



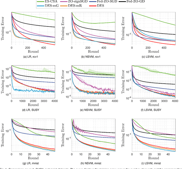
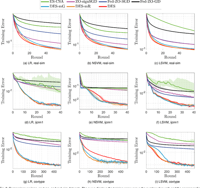
Abstract:Federated learning is a distributed learning framework which enables clients to train models individually and to upload their model updates for aggregation. The local training process heavily relies on distributed gradient descent techniques. In the situation where gradient information is not available, the gradients need to be estimated from zeroth-order information, which typically involves computing finite-differences along isotropic random directions. This method suffers from high estimation errors, as the geometric features of the objective landscape may be overlooked during the isotropic sampling. In this work, we propose a non-isotropic sampling method to improve the gradient estimation procedure. Gradients in our method are estimated in a subspace spanned by historical trajectories of solutions, aiming to encourage the exploration of promising regions and hence improve the convergence. We implement this method in zeroth-order federated settings, and show that the convergence rate aligns with existing ones while introducing no significant overheads in communication or local computation. The effectiveness of our proposal is verified on several numerical experiments in comparison to several commonly-used zeroth-order federated optimization algorithms.




Abstract:Machine Translation of Culture-Specific Items (CSIs) poses significant challenges. Recent work on CSI translation has shown some success using Large Language Models (LLMs) to adapt to different languages and cultures; however, a deeper analysis is needed to examine the benefits and pitfalls of each method. In this paper, we introduce the ChineseMenuCSI dataset, the largest for Chinese-English menu corpora, annotated with CSI vs Non-CSI labels and a fine-grained test set. We define three levels of CSI figurativeness for a more nuanced analysis and develop a novel methodology for automatic CSI identification, which outperforms GPT-based prompts in most categories. Importantly, we are the first to integrate human translation theories into LLM-driven translation processes, significantly improving translation accuracy, with COMET scores increasing by up to 7 points.
Abstract:The global positioning system (GPS) has become an indispensable navigation method for field operations with unmanned surface vehicles (USVs) in marine environments. However, GPS may not always be available outdoors because it is vulnerable to natural interference and malicious jamming attacks. Thus, an alternative navigation system is required when the use of GPS is restricted or prohibited. To this end, we present a novel method that utilizes an Unmanned Aerial Vehicle (UAV) to assist in localizing USVs in GNSS-restricted marine environments. In our approach, the UAV flies along the shoreline at a consistent altitude, continuously tracking and detecting the USV using a deep learning-based approach on camera images. Subsequently, triangulation techniques are applied to estimate the USV's position relative to the UAV, utilizing geometric information and datalink range from the UAV. We propose adjusting the UAV's camera angle based on the pixel error between the USV and the image center throughout the localization process to enhance accuracy. Additionally, visual measurements are integrated into an Extended Kalman Filter (EKF) for robust state estimation. To validate our proposed method, we utilize a USV equipped with onboard sensors and a UAV equipped with a camera. A heterogeneous robotic interface is established to facilitate communication between the USV and UAV. We demonstrate the efficacy of our approach through a series of experiments conducted during the ``Muhammad Bin Zayed International Robotic Challenge (MBZIRC-2024)'' in real marine environments, incorporating noisy measurements and ocean disturbances. The successful outcomes indicate the potential of our method to complement GPS for USV navigation.




Abstract:We present a benchmark for methods in causal learning. Specifically, we consider training a rich class of causal models from time-series data, and we suggest the use of the Krebs cycle and models of metabolism more broadly.
Abstract:Clustering of time series is a well-studied problem, with applications ranging from quantitative, personalized models of metabolism obtained from metabolite concentrations to state discrimination in quantum information theory. We consider a variant, where given a set of trajectories and a number of parts, we jointly partition the set of trajectories and learn linear dynamical system (LDS) models for each part, so as to minimize the maximum error across all the models. We present globally convergent methods and EM heuristics, accompanied by promising computational results.




Abstract:This work concerns the evolutionary approaches to distributed stochastic black-box optimization, in which each worker can individually solve an approximation of the problem with nature-inspired algorithms. We propose a distributed evolution strategy (DES) algorithm grounded on a proper modification to evolution strategies, a family of classic evolutionary algorithms, as well as a careful combination with existing distributed frameworks. On smooth and nonconvex landscapes, DES has a convergence rate competitive to existing zeroth-order methods, and can exploit the sparsity, if applicable, to match the rate of first-order methods. The DES method uses a Gaussian probability model to guide the search and avoids the numerical issue resulted from finite-difference techniques in existing zeroth-order methods. The DES method is also fully adaptive to the problem landscape, as its convergence is guaranteed with any parameter setting. We further propose two alternative sampling schemes which significantly improve the sampling efficiency while leading to similar performance. Simulation studies on several machine learning problems suggest that the proposed methods show much promise in reducing the convergence time and improving the robustness to parameter settings.




Abstract:This work provides an efficient sampling method for the covariance matrix adaptation evolution strategy (CMA-ES) in large-scale settings. In contract to the Gaussian sampling in CMA-ES, the proposed method generates mutation vectors from a mixture model, which facilitates exploiting the rich variable correlations of the problem landscape within a limited time budget. We analyze the probability distribution of this mixture model and show that it approximates the Gaussian distribution of CMA-ES with a controllable accuracy. We use this sampling method, coupled with a novel method for mutation strength adaptation, to formulate the mixture model based evolution strategy (MMES) -- a CMA-ES variant for large-scale optimization. The numerical simulations show that, while significantly reducing the time complexity of CMA-ES, MMES preserves the rotational invariance, is scalable to high dimensional problems, and is competitive against the state-of-the-arts in performing global optimization.