Abstract:Large language models (LLMs) have been shown to be able to perform new tasks based on a few demonstrations or natural language instructions. While these capabilities have led to widespread adoption, most LLMs are developed by resource-rich organizations and are frequently kept from the public. As a step towards democratizing this powerful technology, we present BLOOM, a 176B-parameter open-access language model designed and built thanks to a collaboration of hundreds of researchers. BLOOM is a decoder-only Transformer language model that was trained on the ROOTS corpus, a dataset comprising hundreds of sources in 46 natural and 13 programming languages (59 in total). We find that BLOOM achieves competitive performance on a wide variety of benchmarks, with stronger results after undergoing multitask prompted finetuning. To facilitate future research and applications using LLMs, we publicly release our models and code under the Responsible AI License.




Abstract:The Universal Morphology (UniMorph) project is a collaborative effort providing broad-coverage instantiated normalized morphological inflection tables for hundreds of diverse world languages. The project comprises two major thrusts: a language-independent feature schema for rich morphological annotation and a type-level resource of annotated data in diverse languages realizing that schema. This paper presents the expansions and improvements made on several fronts over the last couple of years (since McCarthy et al. (2020)). Collaborative efforts by numerous linguists have added 67 new languages, including 30 endangered languages. We have implemented several improvements to the extraction pipeline to tackle some issues, e.g. missing gender and macron information. We have also amended the schema to use a hierarchical structure that is needed for morphological phenomena like multiple-argument agreement and case stacking, while adding some missing morphological features to make the schema more inclusive. In light of the last UniMorph release, we also augmented the database with morpheme segmentation for 16 languages. Lastly, this new release makes a push towards inclusion of derivational morphology in UniMorph by enriching the data and annotation schema with instances representing derivational processes from MorphyNet.

Abstract:What are the units of text that we want to model? From bytes to multi-word expressions, text can be analyzed and generated at many granularities. Until recently, most natural language processing (NLP) models operated over words, treating those as discrete and atomic tokens, but starting with byte-pair encoding (BPE), subword-based approaches have become dominant in many areas, enabling small vocabularies while still allowing for fast inference. Is the end of the road character-level model or byte-level processing? In this survey, we connect several lines of work from the pre-neural and neural era, by showing how hybrid approaches of words and characters as well as subword-based approaches based on learned segmentation have been proposed and evaluated. We conclude that there is and likely will never be a silver bullet singular solution for all applications and that thinking seriously about tokenization remains important for many applications.




Abstract:While language identification is a fundamental speech and language processing task, for many languages and language families it remains a challenging task. For many low-resource and endangered languages this is in part due to resource availability: where larger datasets exist, they may be single-speaker or have different domains than desired application scenarios, demanding a need for domain and speaker-invariant language identification systems. This year's shared task on robust spoken language identification sought to investigate just this scenario: systems were to be trained on largely single-speaker speech from one domain, but evaluated on data in other domains recorded from speakers under different recording circumstances, mimicking realistic low-resource scenarios. We see that domain and speaker mismatch proves very challenging for current methods which can perform above 95% accuracy in-domain, which domain adaptation can address to some degree, but that these conditions merit further investigation to make spoken language identification accessible in many scenarios.




Abstract:Open-domain dialogue agents have vastly improved, but still confidently hallucinate knowledge or express doubt when asked straightforward questions. In this work, we analyze whether state-of-the-art chit-chat models can express metacognition capabilities through their responses: does a verbalized expression of doubt (or confidence) match the likelihood that the model's answer is incorrect (or correct)? We find that these models are poorly calibrated in this sense, yet we show that the representations within the models can be used to accurately predict likelihood of correctness. By incorporating these correctness predictions into the training of a controllable generation model, we obtain a dialogue agent with greatly improved linguistic calibration.




Abstract:Typological knowledge bases (KBs) such as WALS (Dryer and Haspelmath, 2013) contain information about linguistic properties of the world's languages. They have been shown to be useful for downstream applications, including cross-lingual transfer learning and linguistic probing. A major drawback hampering broader adoption of typological KBs is that they are sparsely populated, in the sense that most languages only have annotations for some features, and skewed, in that few features have wide coverage. As typological features often correlate with one another, it is possible to predict them and thus automatically populate typological KBs, which is also the focus of this shared task. Overall, the task attracted 8 submissions from 5 teams, out of which the most successful methods make use of such feature correlations. However, our error analysis reveals that even the strongest submitted systems struggle with predicting feature values for languages where few features are known.




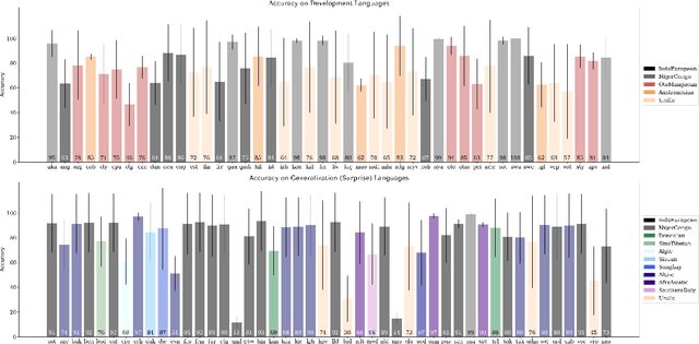
Abstract:A broad goal in natural language processing (NLP) is to develop a system that has the capacity to process any natural language. Most systems, however, are developed using data from just one language such as English. The SIGMORPHON 2020 shared task on morphological reinflection aims to investigate systems' ability to generalize across typologically distinct languages, many of which are low resource. Systems were developed using data from 45 languages and just 5 language families, fine-tuned with data from an additional 45 languages and 10 language families (13 in total), and evaluated on all 90 languages. A total of 22 systems (19 neural) from 10 teams were submitted to the task. All four winning systems were neural (two monolingual transformers and two massively multilingual RNN-based models with gated attention). Most teams demonstrate utility of data hallucination and augmentation, ensembles, and multilingual training for low-resource languages. Non-neural learners and manually designed grammars showed competitive and even superior performance on some languages (such as Ingrian, Tajik, Tagalog, Zarma, Lingala), especially with very limited data. Some language families (Afro-Asiatic, Niger-Congo, Turkic) were relatively easy for most systems and achieved over 90% mean accuracy while others were more challenging.




Abstract:This paper describes the Dakshina dataset, a new resource consisting of text in both the Latin and native scripts for 12 South Asian languages. The dataset includes, for each language: 1) native script Wikipedia text; 2) a romanization lexicon; and 3) full sentence parallel data in both a native script of the language and the basic Latin alphabet. We document the methods used for preparation and selection of the Wikipedia text in each language; collection of attested romanizations for sampled lexicons; and manual romanization of held-out sentences from the native script collections. We additionally provide baseline results on several tasks made possible by the dataset, including single word transliteration, full sentence transliteration, and language modeling of native script and romanized text. Keywords: romanization, transliteration, South Asian languages




Abstract:The performance of neural machine translation systems is commonly evaluated in terms of BLEU. However, due to its reliance on target language properties and generation, the BLEU metric does not allow an assessment of which translation directions are more difficult to model. In this paper, we propose cross-mutual information (XMI): an asymmetric information-theoretic metric of machine translation difficulty that exploits the probabilistic nature of most neural machine translation models. XMI allows us to better evaluate the difficulty of translating text into the target language while controlling for the difficulty of the target-side generation component independent of the translation task. We then present the first systematic and controlled study of cross-lingual translation difficulties using modern neural translation systems. Code for replicating our experiments is available online at https://github.com/e-bug/nmt-difficulty.




Abstract:Topic models are a useful analysis tool to uncover the underlying themes within document collections. Probabilistic models which assume a generative story have been the dominant approach for topic modeling. We propose an alternative approach based on clustering readily available pre-trained word embeddings while incorporating document information for weighted clustering and reranking top words. We provide benchmarks for the combination of different word embeddings and clustering algorithms, and analyse their performance under dimensionality reduction with PCA. The best performing combination for our approach is comparable to classical models, and complexity analysis indicate that this is a practical alternative to traditional topic modeling.