



Abstract:To achieve equitable performance across languages, multilingual large language models (LLMs) must be able to abstract knowledge beyond the language in which it was acquired. However, the current literature lacks reliable ways to measure LLMs' capability of cross-lingual knowledge transfer. To that end, we present ECLeKTic, a multilingual closed-book QA (CBQA) dataset that Evaluates Cross-Lingual Knowledge Transfer in a simple, black-box manner. We detected information with uneven coverage across languages by controlling for presence and absence of Wikipedia articles in 12 languages. We generated knowledge-seeking questions in a source language, for which the answer appears in a relevant Wikipedia article and translated them to all other 11 languages, for which the respective Wikipedias lack equivalent articles. Assuming that Wikipedia reflects the prominent knowledge in the LLM's training data, to solve ECLeKTic's CBQA task the model is required to transfer knowledge between languages. Experimenting with 8 LLMs, we show that SOTA models struggle to effectively share knowledge across, languages even if they can predict the answer well for queries in the same language the knowledge was acquired in.
Abstract:Improvements in language models' capabilities have pushed their applications towards longer contexts, making long-context evaluation and development an active research area. However, many disparate use-cases are grouped together under the umbrella term of "long-context", defined simply by the total length of the model's input, including - for example - Needle-in-a-Haystack tasks, book summarization, and information aggregation. Given their varied difficulty, in this position paper we argue that conflating different tasks by their context length is unproductive. As a community, we require a more precise vocabulary to understand what makes long-context tasks similar or different. We propose to unpack the taxonomy of long-context based on the properties that make them more difficult with longer contexts. We propose two orthogonal axes of difficulty: (I) Diffusion: How hard is it to find the necessary information in the context? (II) Scope: How much necessary information is there to find? We survey the literature on long-context, provide justification for this taxonomy as an informative descriptor, and situate the literature with respect to it. We conclude that the most difficult and interesting settings, whose necessary information is very long and highly diffused within the input, is severely under-explored. By using a descriptive vocabulary and discussing the relevant properties of difficulty in long-context, we can implement more informed research in this area. We call for a careful design of tasks and benchmarks with distinctly long context, taking into account the characteristics that make it qualitatively different from shorter context.
Abstract:Despite it being the cornerstone of BPE, the most common tokenization algorithm, the importance of compression in the tokenization process is still unclear. In this paper, we argue for the theoretical importance of compression, that can be viewed as 0-gram language modeling where equal probability is assigned to all tokens. We also demonstrate the empirical importance of compression for downstream success of pre-trained language models. We control the compression ability of several BPE tokenizers by varying the amount of documents available during their training: from 1 million documents to a character-based tokenizer equivalent to no training data at all. We then pre-train English language models based on those tokenizers and fine-tune them over several tasks. We show that there is a correlation between tokenizers' compression and models' downstream performance, suggesting that compression is a reliable intrinsic indicator of tokenization quality. These correlations are more pronounced for generation tasks (over classification) or for smaller models (over large ones). We replicated a representative part of our experiments on Turkish and found similar results, confirming that our results hold for languages with typological characteristics dissimilar to English. We conclude that building better compressing tokenizers is a fruitful avenue for further research and for improving overall model performance.
Abstract:Pre-trained language models (PLMs) have shown remarkable successes in acquiring a wide range of linguistic knowledge, relying solely on self-supervised training on text streams. Nevertheless, the effectiveness of this language-agnostic approach has been frequently questioned for its sub-optimal performance when applied to morphologically-rich languages (MRLs). We investigate the hypothesis that incorporating explicit morphological knowledge in the pre-training phase can improve the performance of PLMs for MRLs. We propose various morphologically driven tokenization methods enabling the model to leverage morphological cues beyond raw text. We pre-train multiple language models utilizing the different methods and evaluate them on Hebrew, a language with complex and highly ambiguous morphology. Our experiments show that morphologically driven tokenization demonstrates improved results compared to a standard language-agnostic tokenization, on a benchmark of both semantic and morphologic tasks. These findings suggest that incorporating morphological knowledge holds the potential for further improving PLMs for morphologically rich languages.




Abstract:The ability to identify and control different kinds of linguistic information encoded in vector representations of words has many use cases, especially for explainability and bias removal. This is usually done via a set of simple classification tasks, termed probes, to evaluate the information encoded in the embedding space. However, the involvement of a trainable classifier leads to entanglement between the probe's results and the classifier's nature. As a result, contemporary works on probing include tasks that do not involve training of auxiliary models. In this work we introduce the term indicator tasks for non-trainable tasks which are used to query embedding spaces for the existence of certain properties, and claim that this kind of tasks may point to a direction opposite to probes, and that this contradiction complicates the decision on whether a property exists in an embedding space. We demonstrate our claims with two test cases, one dealing with gender debiasing and another with the erasure of morphological information from embedding spaces. We show that the application of a suitable indicator provides a more accurate picture of the information captured and removed compared to probes. We thus conclude that indicator tasks should be implemented and taken into consideration when eliciting information from embedded representations.




Abstract:Large language models (LLMs) have been shown to possess impressive capabilities, while also raising crucial concerns about the faithfulness of their responses. A primary issue arising in this context is the management of unanswerable queries by LLMs, which often results in hallucinatory behavior, due to overconfidence. In this paper, we explore the behavior of LLMs when presented with unanswerable queries. We ask: do models \textbf{represent} the fact that the question is unanswerable when generating a hallucinatory answer? Our results show strong indications that such models encode the answerability of an input query, with the representation of the first decoded token often being a strong indicator. These findings shed new light on the spatial organization within the latent representations of LLMs, unveiling previously unexplored facets of these models. Moreover, they pave the way for the development of improved decoding techniques with better adherence to factual generation, particularly in scenarios where query unanswerability is a concern.




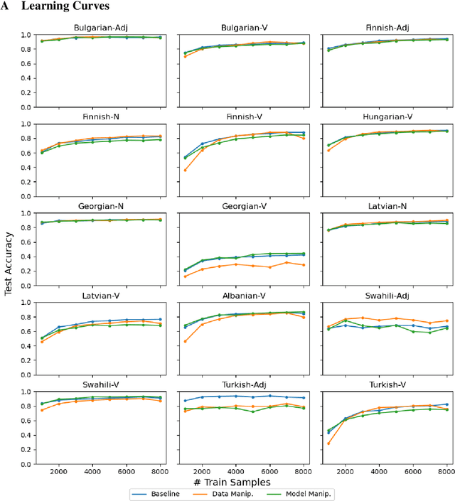
Abstract:Recent years have brought great advances into solving morphological tasks, mostly due to powerful neural models applied to various tasks as (re)inflection and analysis. Yet, such morphological tasks cannot be considered solved, especially when little training data is available or when generalizing to previously unseen lemmas. This work explores effects on performance obtained through various ways in which morphological models get access to subcharacter phonological features that are the targets of morphological processes. We design two methods to achieve this goal: one that leaves models as is but manipulates the data to include features instead of characters, and another that manipulates models to take phonological features into account when building representations for phonemes. We elicit phonemic data from standard graphemic data using language-specific grammars for languages with shallow grapheme-to-phoneme mapping, and we experiment with two reinflection models over eight languages. Our results show that our methods yield comparable results to the grapheme-based baseline overall, with minor improvements in some of the languages. All in all, we conclude that patterns in character distributions are likely to allow models to infer the underlying phonological characteristics, even when phonemes are not explicitly represented.
Abstract:Data contamination has become especially prevalent and challenging with the rise of models pretrained on very large, automatically-crawled corpora. For closed models, the training data becomes a trade secret, and even for open models, it is not trivial to ascertain whether a particular test instance has been compromised. Strategies such as live leaderboards with hidden answers, or using test data which is guaranteed to be unseen, are expensive and become fragile with time. Assuming that all relevant actors value clean test data and will cooperate to mitigate data contamination, what can be done? We propose three strategies that can make a difference: (1) Test data made public should be encrypted with a public key and licensed to disallow derivative distribution; (2) demand training exclusion controls from closed API holders, and protect your test data by refusing to evaluate until demands are met; (3) in case of test data based on internet text, avoid data which appears with its solution on the internet, and release the context of internet-derived data along with the data. These strategies are practical and can be effective in preventing data contamination and allowing trustworthy evaluation of models' capabilities.




Abstract:The Universal Morphology (UniMorph) project is a collaborative effort providing broad-coverage instantiated normalized morphological inflection tables for hundreds of diverse world languages. The project comprises two major thrusts: a language-independent feature schema for rich morphological annotation and a type-level resource of annotated data in diverse languages realizing that schema. This paper presents the expansions and improvements made on several fronts over the last couple of years (since McCarthy et al. (2020)). Collaborative efforts by numerous linguists have added 67 new languages, including 30 endangered languages. We have implemented several improvements to the extraction pipeline to tackle some issues, e.g. missing gender and macron information. We have also amended the schema to use a hierarchical structure that is needed for morphological phenomena like multiple-argument agreement and case stacking, while adding some missing morphological features to make the schema more inclusive. In light of the last UniMorph release, we also augmented the database with morpheme segmentation for 16 languages. Lastly, this new release makes a push towards inclusion of derivational morphology in UniMorph by enriching the data and annotation schema with instances representing derivational processes from MorphyNet.




Abstract:In recent years, a flurry of morphological datasets had emerged, most notably UniMorph, a multi-lingual repository of inflection tables. However, the flat structure of the current morphological annotation schema makes the treatment of some languages quirky, if not impossible, specifically in cases of polypersonal agreement, where verbs agree with multiple arguments using true affixes. In this paper, we propose to address this phenomenon by expanding the UniMorph annotation schema to a hierarchical feature structure that naturally accommodates complex argument marking. We apply this extended schema to one such language, Georgian, and provide a human-verified, accurate and balanced morphological dataset for Georgian verbs. The dataset has 4 times more tables and 6 times more verb forms compared to the existing UniMorph dataset, covering all possible variants of argument marking, demonstrating the adequacy of our proposed scheme. Experiments with a standard reinflection model show that generalization is easy when the data is split at the form level, but extremely hard when splitting along lemma lines. Expanding the other languages in UniMorph to this schema is expected to improve both the coverage, consistency and interpretability of this benchmark.