Abstract:Vision-language models (VLMs) have demonstrated strong performance in image geolocation, a capability further sharpened by frontier multimodal large reasoning models (MLRMs). This poses a significant privacy risk, as these widely accessible models can be exploited to infer sensitive locations from casually shared photos, often at street-level precision, potentially surpassing the level of detail the sharer consented or intended to disclose. While recent work has proposed applying a blanket restriction on geolocation disclosure to combat this risk, these measures fail to distinguish valid geolocation uses from malicious behavior. Instead, VLMs should maintain contextual integrity by reasoning about elements within an image to determine the appropriate level of information disclosure, balancing privacy and utility. To evaluate how well models respect contextual integrity, we introduce VLM-GEOPRIVACY, a benchmark that challenges VLMs to interpret latent social norms and contextual cues in real-world images and determine the appropriate level of location disclosure. Our evaluation of 14 leading VLMs shows that, despite their ability to precisely geolocate images, the models are poorly aligned with human privacy expectations. They often over-disclose in sensitive contexts and are vulnerable to prompt-based attacks. Our results call for new design principles in multimodal systems to incorporate context-conditioned privacy reasoning.




Abstract:Uncertainty estimation is a significant issue for current large language models (LLMs) that are generally poorly calibrated and over-confident, especially with reinforcement learning from human feedback (RLHF). Unlike humans, whose decisions and confidences not only stem from intrinsic beliefs but can also be adjusted through daily observations, existing calibration methods for LLMs focus on estimating or eliciting individual confidence without taking full advantage of the "Collective Wisdom": the interaction among multiple LLMs that can collectively improve both accuracy and calibration. In this work, we propose Collaborative Calibration, a post-hoc training-free calibration strategy that leverages the collaborative and expressive capabilities of multiple tool-augmented LLM agents in a simulated group deliberation process. We demonstrate the effectiveness of Collaborative Calibration on generative QA tasks across various domains, showing its potential in harnessing the rationalization of collectively calibrated confidence assessments and improving the reliability of model predictions.




Abstract:While transformer-based models have achieved state-of-the-art results in a variety of classification and generation tasks, their black-box nature makes them challenging for interpretability. In this work, we present a novel visual analytical framework to support the analysis of transformer-based generative networks. In contrast to previous work, which has mainly focused on encoder-based models, our framework is one of the first dedicated to supporting the analysis of transformer-based encoder-decoder models and decoder-only models for generative and classification tasks. Hence, we offer an intuitive overview that allows the user to explore different facets of the model through interactive visualization. To demonstrate the feasibility and usefulness of our framework, we present three detailed case studies based on real-world NLP research problems.




Abstract:Social alignment in AI systems aims to ensure that these models behave according to established societal values. However, unlike humans, who derive consensus on value judgments through social interaction, current language models (LMs) are trained to rigidly replicate their training corpus in isolation, leading to subpar generalization in unfamiliar scenarios and vulnerability to adversarial attacks. This work presents a novel training paradigm that permits LMs to learn from simulated social interactions. In comparison to existing methodologies, our approach is considerably more scalable and efficient, demonstrating superior performance in alignment benchmarks and human evaluations. This paradigm shift in the training of LMs brings us a step closer to developing AI systems that can robustly and accurately reflect societal norms and values.




Abstract:Integrated visible light positioning and communication (VLPC), capable of combining advantages of visible light communications (VLC) and visible light positioning (VLP), is a promising key technology for the future Internet of Things. In VLPC networks, positioning and communications are inherently coupled, which has not been sufficiently explored in the literature. We propose a robust power allocation scheme for integrated VLPC Networks by exploiting the intrinsic relationship between positioning and communications. Specifically, we derive explicit relationships between random positioning errors, following both a Gaussian distribution and an arbitrary distribution, and channel state information errors. Then, we minimize the Cramer-Rao lower bound (CRLB) of positioning errors, subject to the rate outage constraint and the power constraints, which is a chance-constrained optimization problem and generally computationally intractable. To circumvent the nonconvex challenge, we conservatively transform the chance constraints to deterministic forms by using the Bernstein-type inequality and the conditional value-at-risk for the Gaussian and arbitrary distributed positioning errors, respectively, and then approximate them as convex semidefinite programs. Finally, simulation results verify the robustness and effectiveness of our proposed integrated VLPC design schemes.




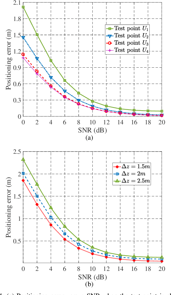
Abstract:In this paper, we investigate an integrated visible light positioning and communication (VLPC) system with a single LED-lamp. First, by leveraging the fact that the VLC channel model is a function of the receiver's location, we propose a system model that estimates the channel state information (CSI) based on the positioning information without transmitting pilot sequences. Second, we derive the Cramer-Rao lower bound (CRLB) on the positioning error variance and a lower bound on the achievable rate with on-off keying modulation. Third, based on the derived performance metrics, we optimize the power allocation to minimize the CRLB, while satisfying the rate outage probability constraint. To tackle this non-convex optimization problem, we apply the worst-case distribution of the Conditional Value-at-Risk (CVaR) and the block coordinate descent (BCD) methods to obtain the feasible solutions. Finally, the effects of critical system parameters, such as outage probability, rate threshold, total power threshold, are revealed by numerical results.




Abstract:We propose covert beamforming design frameworks for integrated radar sensing and communication (IRSC) systems, where the radar can covertly communicate with legitimate users under the cover of the probing waveforms without being detected by the eavesdropper. Specifically, by jointly designing the target detection beamformer and communication beamformer, we aim to maximize the radar detection mutual information (MI) (or the communication rate) subject to the covert constraint, the communication rate constraint (or the radar detection MI constraint), and the total power constraint. For the perfect eavesdropper's channel state information (CSI) scenario, we transform the covert beamforming design problems into a series of convex subproblems, by exploiting semidefinite relaxation, which can be solved via the bisection search method. Considering the high complexity of iterative optimization, we further propose a single-iterative covert beamformer design scheme based on the zero-forcing criterion. For the imperfect eavesdropper's CSI scenario, we develop a relaxation and restriction method to tackle the robust covert beamforming design problems. Simulation results demonstrate the effectiveness of the proposed covert beamforming schemes for perfect and imperfect CSI scenarios.




Abstract:The bound of the information transmission rate of direct current biased optical orthogonal frequency division multiplexing (DCO-OFDM) for visible light communication (VLC) with finite-alphabet inputs is yet unknown, where the corresponding spectral efficiency (SE) and energy efficiency (EE) stems out as the open research problems. In this paper, we derive the exact achievable rate of {the} DCO-OFDM system with finite-alphabet inputs for the first time. Furthermore, we investigate SE maximization problems of {the} DCO-OFDM system subject to both electrical and optical power constraints. By exploiting the relationship between the mutual information and the minimum mean-squared error, we propose a multi-level mercury-water-filling power allocation scheme to achieve the maximum SE. Moreover, the EE maximization problems of {the} DCO-OFDM system are studied, and the Dinkelbach-type power allocation scheme is developed for the maximum EE. Numerical results verify the effectiveness of the proposed theories and power allocation schemes.




Abstract:In this paper, we investigate the performance of a practical aggregated LiFi-WiFi system with the discrete constellation inputs from a practical view. We derive the achievable rate expressions of the aggregated LiFi-WiFi system for the first time. Then, we study the rate maximization problem via optimizing the constellation distribution and power allocation jointly. Specifically, a multilevel mercy-filling power allocation scheme is proposed by exploiting the relationship between the mutual information and minimum mean-squared error (MMSE) of discrete inputs. Meanwhile, an inexact gradient descent method is proposed for obtaining the optimal probability distributions. To strike a balance between the computational complexity and the transmission performance, we further develop a framework that maximizes the lower bound of the achievable rate where the optimal power allocation can be obtained in closed forms and the constellation distributions problem can be solved efficiently by Frank-Wolfe method. Extensive numerical results show that the optimized strategies are able to provide significant gains over the state-of-the-art schemes in terms of the achievable rate.




Abstract:In this paper, we study the spectral efficiency (SE) and energy efficiency (EE) of asymmetrically clipped optical orthogonal frequency division multiplexing (ACO-OFDM) for visible light communication (VLC). Firstly, we derive the achiev-able rates for Gaussian distributions inputs and practical finite-alphabet inputs. Then, we investigate the SE maximization problems subject to both the total transmit power constraint and the average optical power constraint with the above two inputs, respectively. By exploiting the relationship between the mutual information and the minimum mean-squared error, an optimal power allocation scheme is proposed to maximize the SE with finite-alphabet inputs. To reduce the computational complexity of the power allocation scheme, we derive a closed-form lower bound of the SE. Also, considering the quality of service, we further tackle the non-convex EE maximization problems of ACO-OFDM with the two inputs, respectively. The problems are solved by the proposed Dinkelbach-type iterative algorithm. In each iteration, the interior point algorithm is applied to obtain the optimal power allocation.The performance of the proposed power allocation schemes for the SE and EE maximization are validated through numerical analysis.