



Abstract:Progress in fields of machine learning and adversarial planning has benefited significantly from benchmark domains, from checkers and the classic UCI data sets to Go and Diplomacy. In sequential decision-making, agent evaluation has largely been restricted to few interactions against experts, with the aim to reach some desired level of performance (e.g. beating a human professional player). We propose a benchmark for multiagent learning based on repeated play of the simple game Rock, Paper, Scissors along with a population of forty-three tournament entries, some of which are intentionally sub-optimal. We describe metrics to measure the quality of agents based both on average returns and exploitability. We then show that several RL, online learning, and language model approaches can learn good counter-strategies and generalize well, but ultimately lose to the top-performing bots, creating an opportunity for research in multiagent learning.
Abstract:The Game Theory & Multi-Agent team at DeepMind studies several aspects of multi-agent learning ranging from computing approximations to fundamental concepts in game theory to simulating social dilemmas in rich spatial environments and training 3-d humanoids in difficult team coordination tasks. A signature aim of our group is to use the resources and expertise made available to us at DeepMind in deep reinforcement learning to explore multi-agent systems in complex environments and use these benchmarks to advance our understanding. Here, we summarise the recent work of our team and present a taxonomy that we feel highlights many important open challenges in multi-agent research.




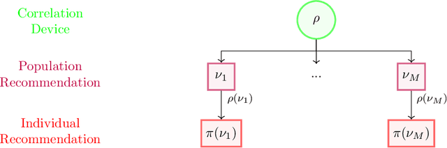
Abstract:The designs of many large-scale systems today, from traffic routing environments to smart grids, rely on game-theoretic equilibrium concepts. However, as the size of an $N$-player game typically grows exponentially with $N$, standard game theoretic analysis becomes effectively infeasible beyond a low number of players. Recent approaches have gone around this limitation by instead considering Mean-Field games, an approximation of anonymous $N$-player games, where the number of players is infinite and the population's state distribution, instead of every individual player's state, is the object of interest. The practical computability of Mean-Field Nash equilibria, the most studied Mean-Field equilibrium to date, however, typically depends on beneficial non-generic structural properties such as monotonicity or contraction properties, which are required for known algorithms to converge. In this work, we provide an alternative route for studying Mean-Field games, by developing the concepts of Mean-Field correlated and coarse-correlated equilibria. We show that they can be efficiently learnt in \emph{all games}, without requiring any additional assumption on the structure of the game, using three classical algorithms. Furthermore, we establish correspondences between our notions and those already present in the literature, derive optimality bounds for the Mean-Field - $N$-player transition, and empirically demonstrate the convergence of these algorithms on simple games.




Abstract:We introduce DeepNash, an autonomous agent capable of learning to play the imperfect information game Stratego from scratch, up to a human expert level. Stratego is one of the few iconic board games that Artificial Intelligence (AI) has not yet mastered. This popular game has an enormous game tree on the order of $10^{535}$ nodes, i.e., $10^{175}$ times larger than that of Go. It has the additional complexity of requiring decision-making under imperfect information, similar to Texas hold'em poker, which has a significantly smaller game tree (on the order of $10^{164}$ nodes). Decisions in Stratego are made over a large number of discrete actions with no obvious link between action and outcome. Episodes are long, with often hundreds of moves before a player wins, and situations in Stratego can not easily be broken down into manageably-sized sub-problems as in poker. For these reasons, Stratego has been a grand challenge for the field of AI for decades, and existing AI methods barely reach an amateur level of play. DeepNash uses a game-theoretic, model-free deep reinforcement learning method, without search, that learns to master Stratego via self-play. The Regularised Nash Dynamics (R-NaD) algorithm, a key component of DeepNash, converges to an approximate Nash equilibrium, instead of 'cycling' around it, by directly modifying the underlying multi-agent learning dynamics. DeepNash beats existing state-of-the-art AI methods in Stratego and achieved a yearly (2022) and all-time top-3 rank on the Gravon games platform, competing with human expert players.




Abstract:The recent phenomenal success of language models has reinvigorated machine learning research, and large sequence models such as transformers are being applied to a variety of domains. One important problem class that has remained relatively elusive however is purposeful adaptive behavior. Currently there is a common perception that sequence models "lack the understanding of the cause and effect of their actions" leading them to draw incorrect inferences due to auto-suggestive delusions. In this report we explain where this mismatch originates, and show that it can be resolved by treating actions as causal interventions. Finally, we show that in supervised learning, one can teach a system to condition or intervene on data by training with factual and counterfactual error signals respectively.




Abstract:We address scaling up equilibrium computation in Mean Field Games (MFGs) using Online Mirror Descent (OMD). We show that continuous-time OMD provably converges to a Nash equilibrium under a natural and well-motivated set of monotonicity assumptions. This theoretical result nicely extends to multi-population games and to settings involving common noise. A thorough experimental investigation on various single and multi-population MFGs shows that OMD outperforms traditional algorithms such as Fictitious Play (FP). We empirically show that OMD scales up and converges significantly faster than FP by solving, for the first time to our knowledge, examples of MFGs with hundreds of billions states. This study establishes the state-of-the-art for learning in large-scale multi-agent and multi-population games.




Abstract:The rapid progress in artificial intelligence (AI) and machine learning has opened unprecedented analytics possibilities in various team and individual sports, including baseball, basketball, and tennis. More recently, AI techniques have been applied to football, due to a huge increase in data collection by professional teams, increased computational power, and advances in machine learning, with the goal of better addressing new scientific challenges involved in the analysis of both individual players' and coordinated teams' behaviors. The research challenges associated with predictive and prescriptive football analytics require new developments and progress at the intersection of statistical learning, game theory, and computer vision. In this paper, we provide an overarching perspective highlighting how the combination of these fields, in particular, forms a unique microcosm for AI research, while offering mutual benefits for professional teams, spectators, and broadcasters in the years to come. We illustrate that this duality makes football analytics a game changer of tremendous value, in terms of not only changing the game of football itself, but also in terms of what this domain can mean for the field of AI. We review the state-of-the-art and exemplify the types of analysis enabled by combining the aforementioned fields, including illustrative examples of counterfactual analysis using predictive models, and the combination of game-theoretic analysis of penalty kicks with statistical learning of player attributes. We conclude by highlighting envisioned downstream impacts, including possibilities for extensions to other sports (real and virtual).




Abstract:Regret minimization has played a key role in online learning, equilibrium computation in games, and reinforcement learning (RL). In this paper, we describe a general model-free RL method for no-regret learning based on repeated reconsideration of past behavior. We propose a model-free RL algorithm, the AdvantageRegret-Matching Actor-Critic (ARMAC): rather than saving past state-action data, ARMAC saves a buffer of past policies, replaying through them to reconstruct hindsight assessments of past behavior. These retrospective value estimates are used to predict conditional advantages which, combined with regret matching, produces a new policy. In particular, ARMAC learns from sampled trajectories in a centralized training setting, without requiring the application of importance sampling commonly used in Monte Carlo counterfactual regret (CFR) minimization; hence, it does not suffer from excessive variance in large environments. In the single-agent setting, ARMAC shows an interesting form of exploration by keeping past policies intact. In the multiagent setting, ARMAC in self-play approaches Nash equilibria on some partially-observable zero-sum benchmarks. We provide exploitability estimates in the significantly larger game of betting-abstracted no-limit Texas Hold'em.




Abstract:In this paper, we deepen the analysis of continuous time Fictitious Play learning algorithm to the consideration of various finite state Mean Field Game settings (finite horizon, $\gamma$-discounted), allowing in particular for the introduction of an additional common noise. We first present a theoretical convergence analysis of the continuous time Fictitious Play process and prove that the induced exploitability decreases at a rate $O(\frac{1}{t})$. Such analysis emphasizes the use of exploitability as a relevant metric for evaluating the convergence towards a Nash equilibrium in the context of Mean Field Games. These theoretical contributions are supported by numerical experiments provided in either model-based or model-free settings. We provide hereby for the first time converging learning dynamics for Mean Field Games in the presence of common noise.




Abstract:Games are traditionally recognized as one of the key testbeds underlying progress in artificial intelligence (AI), aptly referred to as the "Drosophila of AI". Traditionally, researchers have focused on using games to build strong AI agents that, e.g., achieve human-level performance. This progress, however, also requires a classification of how 'interesting' a game is for an artificial agent. Tackling this latter question not only facilitates an understanding of the characteristics of learnt AI agents in games, but also helps to determine what game an AI should address next as part of its training. Here, we show how network measures applied to so-called response graphs of large-scale games enable the creation of a useful landscape of games, quantifying the relationships between games of widely varying sizes, characteristics, and complexities. We illustrate our findings in various domains, ranging from well-studied canonical games to significantly more complex empirical games capturing the performance of trained AI agents pitted against one another. Our results culminate in a demonstration of how one can leverage this information to automatically generate new and interesting games, including mixtures of empirical games synthesized from real world games.