Abstract:This paper presents a comprehensive review of the NTIRE 2025 Challenge on Single-Image Efficient Super-Resolution (ESR). The challenge aimed to advance the development of deep models that optimize key computational metrics, i.e., runtime, parameters, and FLOPs, while achieving a PSNR of at least 26.90 dB on the $\operatorname{DIV2K\_LSDIR\_valid}$ dataset and 26.99 dB on the $\operatorname{DIV2K\_LSDIR\_test}$ dataset. A robust participation saw \textbf{244} registered entrants, with \textbf{43} teams submitting valid entries. This report meticulously analyzes these methods and results, emphasizing groundbreaking advancements in state-of-the-art single-image ESR techniques. The analysis highlights innovative approaches and establishes benchmarks for future research in the field.




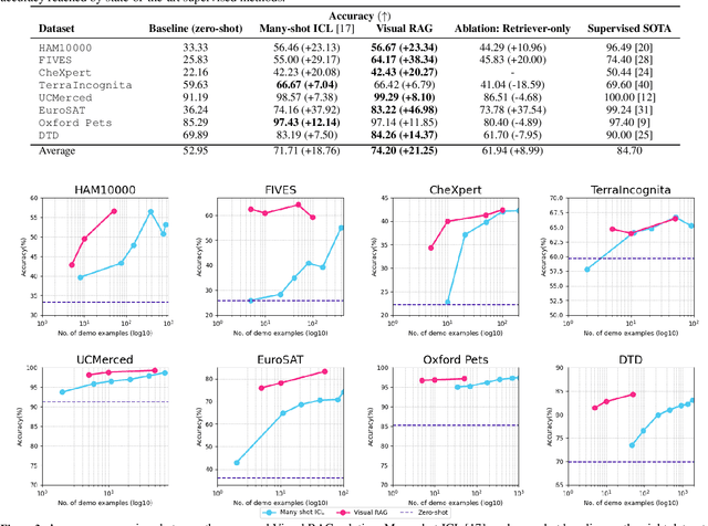
Abstract:Multimodal Large Language Models (MLLMs) have achieved notable performance in computer vision tasks that require reasoning across visual and textual modalities, yet their capabilities are limited to their pre-trained data, requiring extensive fine-tuning for updates. Recent researches have explored the use of In-Context Learning (ICL) to overcome these challenges by providing a set of demonstrating examples as context to augment MLLMs performance in several tasks, showing that many-shot ICL leads to substantial improvements compared to few-shot ICL. However, the reliance on numerous demonstrating examples and the limited MLLMs context windows presents significant obstacles. This paper aims to address these challenges by introducing a novel approach, Visual RAG, that synergically combines the MLLMs capability to learn from the context, with a retrieval mechanism. The crux of this approach is to ensure to augment the MLLM knowledge by selecting only the most relevant demonstrating examples for the query, pushing it to learn by analogy. In this way, relying on the new information provided dynamically during inference time, the resulting system is not limited to the knowledge extracted from the training data, but can be updated rapidly and easily without fine-tuning. Furthermore, this greatly reduces the computational costs for improving the model image classification performance, and augments the model knowledge to new visual domains and tasks it was not trained for. Extensive experiments on eight different datasets in the state of the art spanning several domains and image classification tasks show that the proposed Visual RAG, compared to the most recent state of the art (i.e., many-shot ICL), is able to obtain an accuracy that is very close or even higher (approx. +2% improvement on average) while using a much smaller set of demonstrating examples (approx. only 23% on average).
Abstract:The classification of distracted drivers is pivotal for ensuring safe driving. Previous studies demonstrated the effectiveness of neural networks in automatically predicting driver distraction, fatigue, and potential hazards. However, recent research has uncovered a significant loss of accuracy in these models when applied to samples acquired under conditions that differ from the training data. In this paper, we introduce a robust model designed to withstand changes in camera position within the vehicle. Our Driver Behavior Monitoring Network (DBMNet) relies on a lightweight backbone and integrates a disentanglement module to discard camera view information from features, coupled with contrastive learning to enhance the encoding of various driver actions. Experiments conducted on the daytime and nighttime subsets of the 100-Driver dataset validate the effectiveness of our approach with an increment on average of 9\% in Top-1 accuracy in comparison with the state of the art. In addition, cross-dataset and cross-camera experiments conducted on three benchmark datasets, namely AUCDD-V1, EZZ2021 and SFD, demonstrate the superior generalization capability of the proposed method.




Abstract:This paper presents a review of the NTIRE 2024 challenge on night photography rendering. The goal of the challenge was to find solutions that process raw camera images taken in nighttime conditions, and thereby produce a photo-quality output images in the standard RGB (sRGB) space. Unlike the previous year's competition, the challenge images were collected with a mobile phone and the speed of algorithms was also measured alongside the quality of their output. To evaluate the results, a sufficient number of viewers were asked to assess the visual quality of the proposed solutions, considering the subjective nature of the task. There were 2 nominations: quality and efficiency. Top 5 solutions in terms of output quality were sorted by evaluation time (see Fig. 1). The top ranking participants' solutions effectively represent the state-of-the-art in nighttime photography rendering. More results can be found at https://nightimaging.org.




Abstract:Kalman Filter (KF) is an optimal linear state prediction algorithm, with applications in fields as diverse as engineering, economics, robotics, and space exploration. Here, we develop an extension of the KF, called a Pathspace Kalman Filter (PKF) which allows us to a) dynamically track the uncertainties associated with the underlying data and prior knowledge, and b) take as input an entire trajectory and an underlying mechanistic model, and using a Bayesian methodology quantify the different sources of uncertainty. An application of this algorithm is to automatically detect temporal windows where the internal mechanistic model deviates from the data in a time-dependent manner. First, we provide theorems characterizing the convergence of the PKF algorithm. Then, we numerically demonstrate that the PKF outperforms conventional KF methods on a synthetic dataset lowering the mean-squared-error by several orders of magnitude. Finally, we apply this method to biological time-course dataset involving over 1.8 million gene expression measurements.




Abstract:State-of-The-Art (SoTA) image captioning models often rely on the Microsoft COCO (MS-COCO) dataset for training. This dataset contains annotations provided by human annotators, who typically produce captions averaging around ten tokens. However, this constraint presents a challenge in effectively capturing complex scenes and conveying detailed information. Furthermore, captioning models tend to exhibit bias towards the ``average'' caption, which captures only the more general aspects. What would happen if we were able to automatically generate longer captions, thereby making them more detailed? Would these captions, evaluated by humans, be more or less representative of the image content compared to the original MS-COCO captions? In this paper, we present a novel approach to address previous challenges by showcasing how captions generated from different SoTA models can be effectively fused, resulting in richer captions. Our proposed method leverages existing models from the literature, eliminating the need for additional training. Instead, it utilizes an image-text based metric to rank the captions generated by SoTA models for a given image. Subsequently, the top two captions are fused using a Large Language Model (LLM). Experimental results demonstrate the effectiveness of our approach, as the captions generated by our model exhibit higher consistency with human judgment when evaluated on the MS-COCO test set. By combining the strengths of various SoTA models, our method enhances the quality and appeal of image captions, bridging the gap between automated systems and the rich, informative nature of human-generated descriptions. This advance opens up new possibilities for generating captions that are more suitable for the training of both vision-language and captioning models.




Abstract:This paper reviews the Challenge on Super-Resolution of Compressed Image and Video at AIM 2022. This challenge includes two tracks. Track 1 aims at the super-resolution of compressed image, and Track~2 targets the super-resolution of compressed video. In Track 1, we use the popular dataset DIV2K as the training, validation and test sets. In Track 2, we propose the LDV 3.0 dataset, which contains 365 videos, including the LDV 2.0 dataset (335 videos) and 30 additional videos. In this challenge, there are 12 teams and 2 teams that submitted the final results to Track 1 and Track 2, respectively. The proposed methods and solutions gauge the state-of-the-art of super-resolution on compressed image and video. The proposed LDV 3.0 dataset is available at https://github.com/RenYang-home/LDV_dataset. The homepage of this challenge is at https://github.com/RenYang-home/AIM22_CompressSR.




Abstract:Speech emotion recognition (SER) on a single language has achieved remarkable results through deep learning approaches over the last decade. However, cross-lingual SER remains a challenge in real-world applications due to (i) a large difference between the source and target domain distributions, (ii) the availability of few labeled and many unlabeled utterances for the new language. Taking into account previous aspects, we propose a Semi-Supervised Learning (SSL) method for cross-lingual emotion recognition when a few labels from the new language are available. Based on a Convolutional Neural Network (CNN), our method adapts to a new language by exploiting a pseudo-labeling strategy for the unlabeled utterances. In particular, the use of a hard and soft pseudo-labels approach is investigated. We thoroughly evaluate the performance of the method in a speaker-independent setup on both the source and the new language and show its robustness across five languages belonging to different linguistic strains.




Abstract:We introduce a camera pipeline for rendering visually pleasing photographs in low light conditions, as part of the NTIRE2022 Night Photography Rendering challenge. Given the nature of the task, where the objective is verbally defined by an expert photographer instead of relying on explicit ground truth images, we design an handcrafted solution, characterized by a shallow structure and by a low parameter count. Our pipeline exploits a local light enhancer as a form of high dynamic range correction, followed by a global adjustment of the image histogram to prevent washed-out results. We proportionally apply image denoising to darker regions, where it is more easily perceived, without losing details on brighter regions. The solution reached the fifth place in the competition, with a preference vote count comparable to those of other entries, based on deep convolutional neural networks. Code is available at www.github.com/AvailableAfterAcceptance.




Abstract:Pandemic control measures like lock-down, restrictions on restaurants and gatherings, social-distancing have shown to be effective in curtailing the spread of COVID-19. However, their sustained enforcement has negative economic effects. To craft strategies and policies that reduce the hardship on the people and the economy while being effective against the pandemic, authorities need to understand the disease dynamics at the right geo-spatial granularity. Considering factors like the hospitals' ability to handle the fluctuating demands, evaluating various reopening scenarios, and accurate forecasting of cases are vital to decision making. Towards this end, we present a flexible end-to-end solution that seamlessly integrates public health data with tertiary client data to accurately estimate the risk of reopening a community. At its core lies a state-of-the-art prediction model that auto-captures changing trends in transmission and mobility. Benchmarking against various published baselines confirm the superiority of our forecasting algorithm. Combined with the ability to extend to multiple client-specific requirements and perform deductive reasoning through counter-factual analysis, this solution provides actionable insights to multiple client domains ranging from government to educational institutions, hospitals, and commercial establishments.