



Abstract:Unsupervised industrial anomaly detection requires accurately identifying defects without labeled data. Traditional autoencoder-based methods often struggle with incomplete anomaly suppression and loss of fine details, as their single-pass decoding fails to effectively handle anomalies with varying severity and scale. We propose a recursive architecture for autoencoder (RcAE), which performs reconstruction iteratively to progressively suppress anomalies while refining normal structures. Unlike traditional single-pass models, this recursive design naturally produces a sequence of reconstructions, progressively exposing suppressed abnormal patterns. To leverage this reconstruction dynamics, we introduce a Cross Recursion Detection (CRD) module that tracks inconsistencies across recursion steps, enhancing detection of both subtle and large-scale anomalies. Additionally, we incorporate a Detail Preservation Network (DPN) to recover high-frequency textures typically lost during reconstruction. Extensive experiments demonstrate that our method significantly outperforms existing non-diffusion methods, and achieves performance on par with recent diffusion models with only 10% of their parameters and offering substantially faster inference. These results highlight the practicality and efficiency of our approach for real-world applications.
Abstract:Fuzzing, a widely-used technique for bug detection, has seen advancements through Large Language Models (LLMs). Despite their potential, LLMs face specific challenges in fuzzing. In this paper, we identified five major challenges of LLM-assisted fuzzing. To support our findings, we revisited the most recent papers from top-tier conferences, confirming that these challenges are widespread. As a remedy, we propose some actionable recommendations to help improve applying LLM in Fuzzing and conduct preliminary evaluations on DBMS fuzzing. The results demonstrate that our recommendations effectively address the identified challenges.




Abstract:We introduce Infinigen, a procedural generator of photorealistic 3D scenes of the natural world. Infinigen is entirely procedural: every asset, from shape to texture, is generated from scratch via randomized mathematical rules, using no external source and allowing infinite variation and composition. Infinigen offers broad coverage of objects and scenes in the natural world including plants, animals, terrains, and natural phenomena such as fire, cloud, rain, and snow. Infinigen can be used to generate unlimited, diverse training data for a wide range of computer vision tasks including object detection, semantic segmentation, optical flow, and 3D reconstruction. We expect Infinigen to be a useful resource for computer vision research and beyond. Please visit https://infinigen.org for videos, code and pre-generated data.
Abstract:Advances in space exploration have led to an explosion of tasks. Conventionally, these tasks are offloaded to ground servers for enhanced computing capability, or to adjacent low-earth-orbit satellites for reduced transmission delay. However, the overall delay is determined by both computation and transmission costs. The existing offloading schemes, while being highly-optimized for either costs, can be abysmal for the overall performance. The computation-transmission cost dilemma is yet to be solved. In this paper, we propose an adaptive offloading scheme to reduce the overall delay. The core idea is to jointly model and optimize the transmission-computation process over the entire network. Specifically, to represent the computation state migrations, we generalize graph nodes with multiple states. In this way, the joint optimization problem is transformed into a shortest path problem over the state graph. We further provide an extended Dijkstra's algorithm for efficient path finding. Simulation results show that the proposed scheme outperforms the ground and one-hop offloading schemes by up to 37.56% and 39.35% respectively on SpaceCube v2.0.




Abstract:We introduce UniLoss, a unified framework to generate surrogate losses for training deep networks with gradient descent, reducing the amount of manual design of task-specific surrogate losses. Our key observation is that in many cases, evaluating a model with a performance metric on a batch of examples can be refactored into four steps: from input to real-valued scores, from scores to comparisons of pairs of scores, from comparisons to binary variables, and from binary variables to the final performance metric. Using this refactoring we generate differentiable approximations for each non-differentiable step through interpolation. Using UniLoss, we can optimize for different tasks and metrics using one unified framework, achieving comparable performance compared with task-specific losses. We validate the effectiveness of UniLoss on three tasks and four datasets. Code is available at https://github.com/princeton-vl/uniloss.




Abstract:We consider the task of automated theorem proving, a key AI task. Deep learning has shown promise for training theorem provers, but there are limited human-written theorems and proofs available for supervised learning. To address this limitation, we propose to learn a neural generator that automatically synthesizes theorems and proofs for the purpose of training a theorem prover. Experiments on real-world tasks demonstrate that synthetic data from our approach improves the theorem prover and advances the state of the art of automated theorem proving in Metamath.




Abstract:We propose a new model for speaker naming in movies that leverages visual, textual, and acoustic modalities in an unified optimization framework. To evaluate the performance of our model, we introduce a new dataset consisting of six episodes of the Big Bang Theory TV show and eighteen full movies covering different genres. Our experiments show that our multimodal model significantly outperforms several competitive baselines on the average weighted F-score metric. To demonstrate the effectiveness of our framework, we design an end-to-end memory network model that leverages our speaker naming model and achieves state-of-the-art results on the subtitles task of the MovieQA 2017 Challenge.




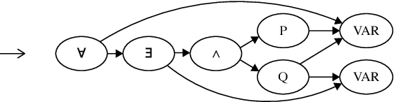
Abstract:We propose a deep learning-based approach to the problem of premise selection: selecting mathematical statements relevant for proving a given conjecture. We represent a higher-order logic formula as a graph that is invariant to variable renaming but still fully preserves syntactic and semantic information. We then embed the graph into a vector via a novel embedding method that preserves the information of edge ordering. Our approach achieves state-of-the-art results on the HolStep dataset, improving the classification accuracy from 83% to 90.3%.




Abstract:This paper studies the problem of embedding very large information networks into low-dimensional vector spaces, which is useful in many tasks such as visualization, node classification, and link prediction. Most existing graph embedding methods do not scale for real world information networks which usually contain millions of nodes. In this paper, we propose a novel network embedding method called the "LINE," which is suitable for arbitrary types of information networks: undirected, directed, and/or weighted. The method optimizes a carefully designed objective function that preserves both the local and global network structures. An edge-sampling algorithm is proposed that addresses the limitation of the classical stochastic gradient descent and improves both the effectiveness and the efficiency of the inference. Empirical experiments prove the effectiveness of the LINE on a variety of real-world information networks, including language networks, social networks, and citation networks. The algorithm is very efficient, which is able to learn the embedding of a network with millions of vertices and billions of edges in a few hours on a typical single machine. The source code of the LINE is available online.