Abstract:Retrieval-Augmented Generation (RAG) enables large language models (LLMs) to leverage external knowledge, but also exposes valuable RAG databases to leakage attacks. As RAG systems grow more complex and LLMs exhibit stronger instruction-following capabilities, existing studies fall short of systematically assessing RAG leakage risks. We present LeakDojo, a configurable framework for controlled evaluation of RAG leakage. Using LeakDojo, we benchmark six existing attacks across fourteen LLMs, four datasets, and diverse RAG systems. Our study reveals that (1) query generation and adversarial instructions contribute independently to leakage, with overall leakage well approximated by their product; (2) stronger instruction-following capability correlates with higher leakage risk; and (3) improvements in RAG faithfulness can introduce increased leakage risk. These findings provide actionable insights for understanding and mitigating RAG leakage in practice. Our codebase is available at https://github.com/yeasen-z/LeakDojo.
Abstract:The advancement of large language models (LLMs) has significantly accelerated the development of search agents capable of autonomously gathering information through multi-turn web interactions. Various benchmarks have been proposed to evaluate such agents. However, existing benchmarks often construct queries backward from answers, producing unnatural tasks misaligned with real-world needs. Moreover, these benchmarks tend to focus on either locating specific information or aggregating information from multiple sources, while relying on static answer sets prone to data contamination. To bridge these gaps, we introduce GISA, a benchmark for General Information-Seeking Assistants comprising 373 human-crafted queries that reflect authentic information-seeking scenarios. GISA features four structured answer formats (item, set, list, and table), enabling deterministic evaluation. It integrates both deep reasoning and broad information aggregation within unified tasks, and includes a live subset with periodically updated answers to resist memorization. Notably, GISA provides complete human search trajectories for every query, offering gold-standard references for process-level supervision and imitation learning. Experiments on mainstream LLMs and commercial search products reveal that even the best-performing model achieves only 19.30\% exact match score, with performance notably degrading on tasks requiring complex planning and comprehensive information gathering. These findings highlight substantial room for future improvement.




Abstract:With the rapidly increasing number of satellites in space and their enhanced capabilities, the amount of earth observation images collected by satellites is exceeding the transmission limits of satellite-to-ground links. Although existing learned image compression solutions achieve remarkable performance by using a sophisticated encoder to extract fruitful features as compression and using a decoder to reconstruct, it is still hard to directly deploy those complex encoders on current satellites' embedded GPUs with limited computing capability and power supply to compress images in orbit. In this paper, we propose COSMIC, a simple yet effective learned compression solution to transmit satellite images. We first design a lightweight encoder (i.e. reducing FLOPs by $2.6\sim 5\times $) on satellite to achieve a high image compression ratio to save satellite-to-ground links. Then, for reconstructions on the ground, to deal with the feature extraction ability degradation due to simplifying encoders, we propose a diffusion-based model to compensate image details when decoding. Our insight is that satellite's earth observation photos are not just images but indeed multi-modal data with a nature of Text-to-Image pairing since they are collected with rich sensor data (e.g. coordinates, timestamp, etc.) that can be used as the condition for diffusion generation. Extensive experiments show that COSMIC outperforms state-of-the-art baselines on both perceptual and distortion metrics.




Abstract:Generating natural language under complex constraints is a principled formulation towards controllable text generation. We present a framework to allow specification of combinatorial constraints for sentence generation. We propose TSMH, an efficient method to generate high likelihood sentences with respect to a pre-trained language model while satisfying the constraints. Our approach is highly flexible, requires no task-specific training, and leverages efficient constraint satisfaction solving techniques. To better handle the combinatorial constraints, a tree search algorithm is embedded into the proposal process of the Markov chain Monte Carlo (MCMC) to explore candidates that satisfy more constraints. Compared to existing MCMC approaches, our sampling approach has a better mixing performance. Experiments show that TSMH achieves consistent and significant improvement on multiple language generation tasks.




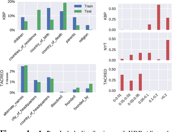
Abstract:In recent years there is surge of interest in applying distant supervision (DS) to automatically generate training data for relation extraction. However, despite extensive efforts have been done on constructing advanced neural models, our experiments reveal that these neural models demonstrate only similar (or even worse) performance as compared with simple, feature-based methods. In this paper, we conduct thorough analysis to answer the question what other factors limit the performance of DS-trained neural models? Our results show that shifted labeled distribution commonly exists on real-world DS datasets, and impact of such issue is further validated using synthetic datasets for all models. Building upon the new insight, we develop a simple yet effective adaptation method for DS methods, called bias adjustment, to update models learned over source domain (i.e., DS training set) with label distribution statistics estimated on target domain (i.e., evaluation set). Experiments demonstrate that bias adjustment achieves consistent performance gains on all methods, especially on neural models, with up to a 22% relative F1 improvement.