Abstract:High-accuracy localization is a key enabler for integrated sensing and communication (ISAC), playing an essential role in various applications such as autonomous driving. Antenna arrays and reconfigurable intelligent surface (RIS) are incorporated into these systems to achieve high angular resolution, assisting in the localization process. However, array and RIS beam patterns in practice often deviate from the idealized models used for algorithm design, leading to significant degradation in positioning accuracy. This mismatch highlights the need for beam calibration to bridge the gap between theoretical models and real-world hardware behavior. In this paper, we present and analyze three beam models considering several key non-idealities such as mutual coupling, non-ideal codebook, and measurement uncertainties. Based on the models, we then develop calibration algorithms to estimate the model parameters that can be used for future localization tasks. This work evaluates the effectiveness of the beam models and the calibration algorithms using both theoretical bounds and real-world beam pattern data from an RIS prototype. The simulation results show that the model incorporating combined impacts can accurately reconstruct measured beam patterns. This highlights the necessity of realistic beam modeling and calibration to achieve high-accuracy localization.
Abstract:In this paper, we consider near-field localization and sensing with an extremely large aperture array under partial blockage of array antennas, where spherical wavefront and spatial non-stationarity are accounted for. We propose an Ising model to characterize the clustered sparsity feature of the blockage pattern, develop an algorithm based on alternating optimization for joint channel parameter estimation and visibility region detection, and further estimate the locations of the user and environmental scatterers. The simulation results confirm the effectiveness of the proposed algorithm compared to conventional methods.




Abstract:Hybrid analog-digital beamforming stands out as a key enabler for future communication systems with a massive number of antennas. In this paper, we investigate the hybrid precoder design problem for angle-of-departure (AoD) estimation, where we take into account the practical constraint on the limited resolution of phase shifters. Our goal is to design a radio-frequency (RF) precoder and a base-band (BB) precoder to estimate AoD of the user with a high accuracy. To this end, we propose a two-step strategy where we first obtain the fully digital precoder that minimizes the angle error bound, and then the resulting digital precoder is decomposed into an RF precoder and a BB precoder, based on the alternating optimization and the alternating direction method of multipliers. Besides, we derive the quantization error upper bound and analyse the convergence behavior of the proposed algorithm. Numerical results demonstrate the superior performance of the proposed method over state-of-the-art baselines.




Abstract:The problem of joint direction-of-arrival estimation and distorted sensor detection has received a lot of attention in recent decades. Most state-of-the-art work formulated such a problem via low-rank and row-sparse decomposition, where the low-rank and row-sparse components were treated in an isolated manner. Such a formulation results in a performance loss. Differently, in this paper, we entangle the low-rank and row-sparse components by exploring their inherent connection. Furthermore, we take into account the maximal distortion level of the sensors. An alternating optimization scheme is proposed to solve the low-rank component and the sparse component, where a closed-form solution is derived for the low-rank component and a quadratic programming is developed for the sparse component. Numerical results exhibit the effectiveness and superiority of the proposed method.




Abstract:The widespread adoption of the fifth generation (5G) of cellular networks has brought new opportunities for localization-based services. High-precision positioning use cases and functionalities defined by the standards are drawing the interest of vertical industries. In the transition to the deployment, this paper aims to provide an in-depth tutorial on 5G positioning, summarizing the historical events that led to the standardization of cellular-based positioning, describing current and forthcoming releases of the Third Generation Partnership Project (3GPP) standard, and discussing about the major research trends. This paper is intended to represent an exhaustive guide for researchers and practitioners by providing fundamental notions on wireless localization, comprehensive definitions of measurements and architectures, examples of algorithms, and details on simulation approaches. Our approach aims to merge practical aspects of enabled use cases and related requirements with theoretical methodologies and fundamental bounds, allowing to understand the trade-off between system complexity and achievable, i.e., tangible, benefits of 5G positioning services. We also discuss about current limitations to be resolved for delivering accurate positioning solutions. We evaluate the performances of 3GPP Rel-16 positioning in outdoor and indoor environments, providing thorough analyses of the effect of changing the system configuration.




Abstract:The problem of sparse array design for dual-function radar-communications is investigated. Our goal is to design a sparse array which can simultaneously shape desired beam responses and serve multiple downlink users with the required signal-to-interference-plus-noise ratio levels. Besides, we also take into account the limitation of the radiated power by each antenna. The problem is formulated as a quadratically constrained quadratic program with a joint-sparsity-promoting regularization, which is NP-hard. The resulting problem is solved by the consensus alternating direction method of multipliers, which enjoys parallel implementation. Numerical simulations exhibit the effectiveness and superiority of the proposed method which leads to a more power-efficient solution.




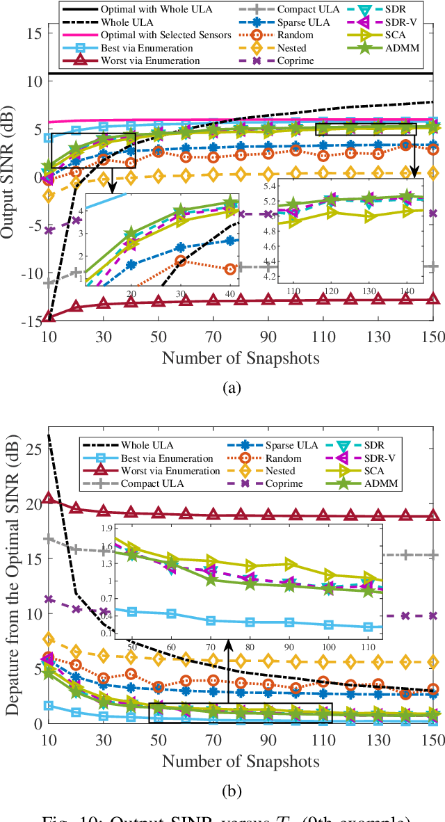
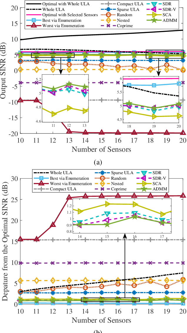
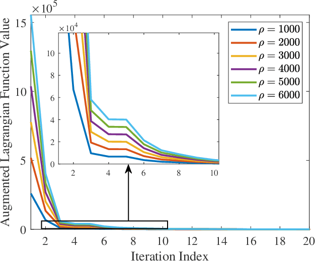
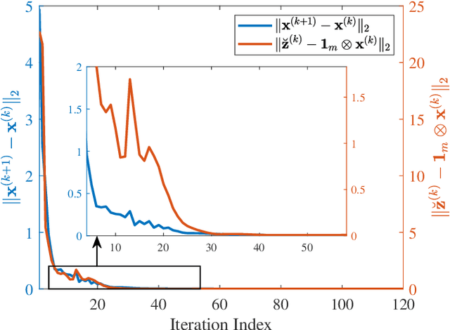
Abstract:In this paper, we devise a sparse array design algorithm for adaptive beamforming. Our strategy is based on finding a sparse beamformer weight to maximize the output signal-to-interference-plus-noise ratio (SINR). The proposed method utilizes the alternating direction method of multipliers (ADMM), and admits closed-form solutions at each ADMM iteration. The algorithm convergence properties are analyzed by showing the monotonicity and boundedness of the augmented Lagrangian function. In addition, we prove that the proposed algorithm converges to the set of Karush-Kuhn-Tucker stationary points. Numerical results exhibit its excellent performance, which is comparable to that of the exhaustive search approach, slightly better than those of the state-of-the-art solvers, including the semidefinite relaxation (SDR), its variant (SDR-V), and the successive convex approximation (SCA) approaches, and significantly outperforms several other sparse array design strategies, in terms of output SINR. Moreover, the proposed ADMM algorithm outperforms the SDR, SDR-V, and SCA methods, in terms of computational complexity.


Abstract:In this letter, we analyze the convergence properties of the consensus-alternating direction method of multipliers (ADMM) for solving general quadratically constrained quadratic programs. We prove that the consensus-ADMM converges under a mild condition, namely, the augmented Lagrangian parameter is chosen to be sufficiently large. It is shown that the augmented Lagrangian function is monotonically non-increasing under such a condition, and is bounded from below. Furthermore, we additionally prove the convergence of the point sequence generated by the consensus-ADMM. Numerical simulations confirm our theoretical analyses.




Abstract:Distorted sensors could occur randomly and may lead to the breakdown of a sensor array system. We consider an array model within which a small number of sensors are distorted by unknown sensor gain and phase errors. With such an array model, the problem of joint direction-of-arrival (DOA) estimation and distorted sensor detection is investigated and the problem is formulated under the framework of low-rank and row-sparse decomposition. We derive an iteratively reweighted least squares (IRLS) algorithm to solve the resulting problem in both noiseless and noisy cases. The convergence property of the IRLS algorithm is analyzed by means of the monotonicity and boundedness of the objective function. Extensive simulations are conducted regarding parameter selection, convergence speed, computational complexity, and performances of DOA estimation as well as distorted sensor detection. Even though the IRLS algorithm is slightly worse than the alternating direction method of multipliers in detecting the distorted sensors, the results show that our approach outperforms several state-of-the-art techniques in terms of convergence speed, computational cost, and DOA estimation performance.




Abstract:The problem of off-grid direction-of-arrival (DOA) estimation is investigated in this paper. We develop a grid-based method to jointly estimate the closest spatial frequency (the sine of DOA) grids, and the gaps between the estimated grids and the corresponding frequencies. By using a second-order Taylor approximation, the data model under the framework of joint-sparse representation is formulated. We point out an important property of the signals of interest in the model, namely the proportionality relationship, which is empirically demonstrated to be useful in the sense that it increases the probability of the mixing matrix satisfying the block restricted isometry property. Simulation examples demonstrate the effectiveness and superiority of the proposed method against several state-of-the-art grid-based approaches.