Abstract:Learning-based wireless sensing has made rapid progress, yet the field still lacks a unified and reproducible experimental foundation. Unlike computer vision, wireless sensing relies on hardware-dependent channel measurements whose representations, preprocessing pipelines, and evaluation protocols vary significantly across devices and datasets, hindering fair comparison and reproducibility. This paper proposes the Sensing Data Protocol (SDP), a protocol-level abstraction and unified benchmark for scalable wireless sensing. SDP acts as a standardization layer that decouples learning tasks from hardware heterogeneity. To this end, SDP enforces deterministic physical-layer sanitization, canonical tensor construction, and standardized training and evaluation procedures, decoupling learning performance from hardware-specific artifacts. Rather than introducing task-specific models, SDP establishes a principled protocol foundation for fair evaluation across diverse sensing tasks and platforms. Extensive experiments demonstrate that SDP achieves competitive accuracy while substantially improving stability, reducing inter-seed performance variance by orders of magnitude on complex activity recognition tasks. A real-world experiment using commercial off-the-shelf Wi-Fi hardware further illustrating the protocol's interoperability across heterogeneous hardware. By providing a unified protocol and benchmark, SDP enables reproducible and comparable wireless sensing research and supports the transition from ad hoc experimentation toward reliable engineering practice.




Abstract:Wireless sensing has become a fundamental enabler for intelligent environments, supporting applications such as human detection, activity recognition, localization, and vital sign monitoring. Despite rapid advances, existing datasets and pipelines remain fragmented across sensing modalities, hindering fair comparison, transfer, and reproducibility. We propose the Sensing Dataset Protocol (SDP), a protocol-level specification and benchmark framework for large-scale wireless sensing. SDP defines how heterogeneous wireless signals are mapped into a unified perception data-block schema through lightweight synchronization, frequency-time alignment, and resampling, while a Canonical Polyadic-Alternating Least Squares (CP-ALS) pooling stage provides a task-agnostic representation that preserves multipath, spectral, and temporal structures. Built upon this protocol, a unified benchmark is established for detection, recognition, and vital-sign estimation with consistent preprocessing, training, and evaluation. Experiments under the cross-user split demonstrate that SDP significantly reduces variance (approximately 88%) across seeds while maintaining competitive accuracy and latency, confirming its value as a reproducible foundation for multi-modal and multitask sensing research.
Abstract:The capacity-maximization design philosophy has driven the growth of wireless networks for decades. However, with the slowdown in recent data traffic demand, the mobile industry can no longer rely solely on communication services to sustain development. In response, Integrated Sensing and Communications (ISAC) has emerged as a transformative solution, embedding sensing capabilities into communication networks to enable multifunctional wireless systems. This paradigm shift expands the role of networks from sole data transmission to versatile platforms supporting diverse applications. In this review, we provide a bird's-eye view of ISAC for new researchers, highlighting key challenges, opportunities, and application scenarios to guide future exploration in this field.




Abstract:Integrated Sensing and Communications (ISAC) enables efficient spectrum utilization and reduces hardware costs for beyond 5G (B5G) and 6G networks, facilitating intelligent applications that require both high-performance communication and precise sensing capabilities. This survey provides a comprehensive review of the evolution of ISAC over the years. We examine the expansion of the spectrum across RF and optical ISAC, highlighting the role of advanced technologies, along with key challenges and synergies. We further discuss the advancements in network architecture from single-cell to multi-cell systems, emphasizing the integration of collaborative sensing and interference mitigation strategies. Moreover, we analyze the progress from single-modal to multi-modal sensing, with a focus on the integration of edge intelligence to enable real-time data processing, reduce latency, and enhance decision-making. Finally, we extensively review standardization efforts by 3GPP, IEEE, and ITU, examining the transition of ISAC-related technologies and their implications for the deployment of 6G networks.




Abstract:Extremely Large-scale Array (ELAA) is considered a frontier technology for future communication systems, pivotal in improving wireless systems' rate and spectral efficiency. However, as ELAA employs a multitude of antennas operating at higher frequencies, users are typically situated in the near-field region where the spherical wavefront propagates. This inevitably leads to a significant increase in the overhead of beam training, requiring complex two-dimensional beam searching in both the angle domain and the distance domain. To address this problem, we propose a near-field beamforming method based on unsupervised deep learning. Our convolutional neural network efficiently extracts complex channel state information features by strategically selecting padding and kernel size. We optimize the beamformers to maximize achievable rates in a multi-user network without relying on predefined custom codebooks. Upon deployment, the model requires solely the input of pre-estimated channel state information to derive the optimal beamforming vector. Simulation results show that our proposed scheme can obtain stable beamforming gain compared with the baseline scheme. Furthermore, owing to the inherent traits of deep learning methodologies, this approach substantially diminishes the beam training costs in near-field regions.




Abstract:Intelligent reflecting surfaces (IRS) have been proposed in millimeter wave (mmWave) and terahertz (THz) systems to achieve both coverage and capacity enhancement, where the design of hybrid precoders, combiners, and the IRS typically relies on channel state information. In this paper, we address the problem of uplink wideband channel estimation for IRS aided multiuser multiple-input single-output (MISO) systems with hybrid architectures. Combining the structure of model driven and data driven deep learning approaches, a hybrid driven learning architecture is devised for joint estimation and learning the properties of the channels. For a passive IRS aided system, we propose a residual learned approximate message passing as a model driven network. A denoising and attention network in the data driven network is used to jointly learn spatial and frequency features. Furthermore, we design a flexible hybrid driven network in a hybrid passive and active IRS aided system. Specifically, the depthwise separable convolution is applied to the data driven network, leading to less network complexity and fewer parameters at the IRS side. Numerical results indicate that in both systems, the proposed hybrid driven channel estimation methods significantly outperform existing deep learning-based schemes and effectively reduce the pilot overhead by about 60% in IRS aided systems.




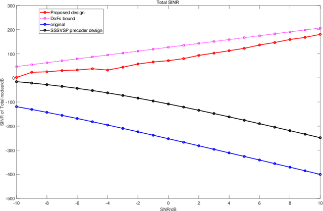
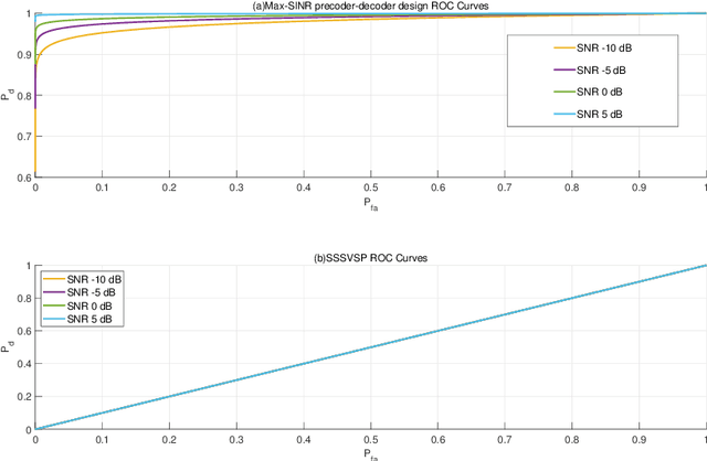
Abstract:Radar and modern communication systems are both evaluating towards higher frequency bands and massive antenna arrays, thus increasing their similarities in terms of hardware structure, channel characteristics, and signal processing pipelines. To suppress the cross-system interference caused by communications and radar systems with shared spectral and hardware resources, the co-design philosophy, wherein the communications and radar/sensing systems can operate in parallel with jointly optimized performance, has drawn substantial attention from both academia and industry. In this paper, we propose a nullspace-based joint precoder-decoder design for spectrum sharing between multicarrier radar and multiuser multicarrier communication systems, by employing the maximizing signal interference noise ratio (max-SINR) criterion and interference alignment (IA) constraints. By projecting the cross-system interference to the designed null spaces, a maximum degree of freedom upper bound for the $K+1$-radar-communication-user interference channel can be achieved. Our simulation studies demonstrate that interference can be practically fully canceled in both communication and radar systems. This leads to improved detection performance in radar and a higher rate in communication subsystems. A significant performance gain over a nullspace-based precoder-only design is also obtained.



Abstract:In this letter, we study the parameter estimation performance for monostatic downlink integrated sensing and communications (ISAC) systems. In particular, we analyze the mean squared error (MSE) lower bound for target sensing in the downlink ISAC system that reveals the suboptimality in re-using the conventional communication waveform for sensing. To realize a practical dual-functional waveform, we propose a waveform augmentation strategy that imposes an extra signal structure, namely the degrees-of-freedom (DoF) completion method. The proposed approach is capable of improving the parameter estimation performance of the ISAC system and achieving the derived MSE lower bound. To improve the performance of the proposed strategy, we formulate an MSE minimization problem to design the ISAC precoder, subject to the communication users' signal-interference-plus-noise-ratio (SINR) constraints. Despite the non-convexity of the waveform design problem, we obtain its globally optimal solution via semi-definite relaxation (SDR) and the proposed constructive method. Simulation results validate the proposed DoF completion technology could achieve the derived MSE lower bound and the effectiveness of the MSE-based ISAC waveform design.




Abstract:Advance in wireless communication and signal processing facilitates integrated sensing and communication (ISAC) -- a technology that combines sensing and communication functionalities to efficiently utilize congested wireless/hardware resources, and to pursue mutual benefits. Consequently, the future communications network will be perceptive. In this article, we provide a review of human-related sensing in the context of ISAC. We first present a general ISAC receiver signal processing framework, with a focus on human activity recognition (HAR). Based on geographical deployments, we then categorize current ISAC HAR into three classical configurations, namely monostatic, bi-static and distributed deployments, and discuss their properties, critical research problems and solutions. In order to facilitate system realization and improve the recognition performance, we further explore inherent connections between physical-layer system parameters and HAR performance metrics. Finally, we review major technical challenges and identify key open research problems.




Abstract:Recent advances in wireless communication and solid-state circuits together with the enormous demands of sensing ability have given rise to a new enabling technology, integrated sensing and communications (ISAC). The ISAC captures two main advantages over dedicated sensing and communication functionalities: 1) Integration gain to efficiently utilize congested resources, and even, 2) Coordination gain to balance dual-functional performance or/and perform mutual assistance. Meanwhile, triggered by ISAC, we are also witnessing a paradigm shift in the ubiquitous IoT architecture, in which the sensing and communication layers are tending to converge into a new layer, namely, the signaling layer. In this paper, we first attempt to introduce a definition of ISAC, analyze the various influencing forces, and present several novel use cases. Then, we complement the understanding of the signaling layer by presenting several key benefits in the IoT era. We classify existing dominant ISAC solutions based on the layers in which integration is applied. Finally, several challenges and opportunities are discussed. We hope that this overview article will serve as a primary starting point for new researchers and offer a bird's-eye view of the existing ISAC-related advances from academia and industry, ranging from solid-state circuitry, signal processing, and wireless communication to mobile computing.