Abstract:Hyperdimensional Computing (HDC) is emerging as a promising approach for edge AI, offering a balance between accuracy and efficiency. However, current HDC-based applications often rely on high-precision models and/or encoding matrices to achieve competitive performance, which imposes significant computational and memory demands, especially for ultra-low power devices. While recent efforts use techniques like precision reduction and pruning to increase the efficiency, most require retraining to maintain performance, making them expensive and impractical. To address this issue, we propose a novel Post Training Compression algorithm, Decomposition-Pruning-Quantization (DPQ-HD), which aims at compressing the end-to-end HDC system, achieving near floating point performance without the need of retraining. DPQ-HD reduces computational and memory overhead by uniquely combining the above three compression techniques and efficiently adapts to hardware constraints. Additionally, we introduce an energy-efficient inference approach that progressively evaluates similarity scores such as cosine similarity and performs early exit to reduce the computation, accelerating prediction inference while maintaining accuracy. We demonstrate that DPQ-HD achieves up to 20-100x reduction in memory for image and graph classification tasks with only a 1-2% drop in accuracy compared to uncompressed workloads. Lastly, we show that DPQ-HD outperforms the existing post-training compression methods and performs better or at par with retraining-based state-of-the-art techniques, requiring significantly less overall optimization time (up to 100x) and faster inference (up to 56x) on a microcontroller





Abstract:Minimizing computational overhead in time-series classification, particularly in deep learning models, presents a significant challenge. This challenge is further compounded by adversarial attacks, emphasizing the need for resilient methods that ensure robust performance and efficient model selection. We introduce ReLATE, a framework that identifies robust learners based on dataset similarity, reduces computational overhead, and enhances resilience. ReLATE maintains multiple deep learning models in well-known adversarial attack scenarios, capturing model performance. ReLATE identifies the most analogous dataset to a given target using a similarity metric, then applies the optimal model from the most similar dataset. ReLATE reduces computational overhead by an average of 81.2%, enhancing adversarial resilience and streamlining robust model selection, all without sacrificing performance, within 4.2% of Oracle.





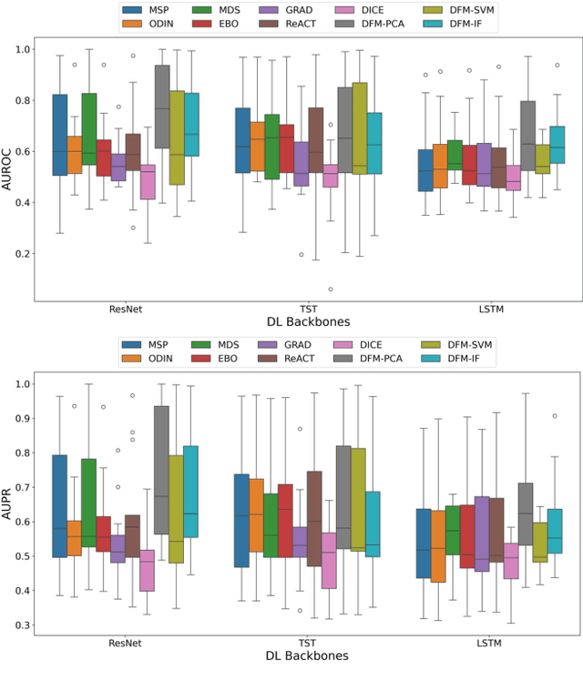
Abstract:Detecting out-of-distribution (OOD) data is a fundamental challenge in the deployment of machine learning models. From a security standpoint, this is particularly important because OOD test data can result in misleadingly confident yet erroneous predictions, which undermine the reliability of the deployed model. Although numerous models for OOD detection have been developed in computer vision and language, their adaptability to the time-series data domain remains limited and under-explored. Yet, time-series data is ubiquitous across manufacturing and security applications for which OOD is essential. This paper seeks to address this research gap by conducting a comprehensive analysis of modality-agnostic OOD detection algorithms. We evaluate over several multivariate time-series datasets, deep learning architectures, time-series specific data augmentations, and loss functions. Our results demonstrate that: 1) the majority of state-of-the-art OOD methods exhibit limited performance on time-series data, and 2) OOD methods based on deep feature modeling may offer greater advantages for time-series OOD detection, highlighting a promising direction for future time-series OOD detection algorithm development.





Abstract:Learning-based environmental sound recognition has emerged as a crucial method for ultra-low-power environmental monitoring in biological research and city-scale sensing systems. These systems usually operate under limited resources and are often powered by harvested energy in remote areas. Recent efforts in on-device sound recognition suffer from low accuracy due to resource constraints, whereas cloud offloading strategies are hindered by high communication costs. In this work, we introduce ORCA, a novel resource-efficient cloud-assisted environmental sound recognition system on batteryless devices operating over the Low-Power Wide-Area Networks (LPWANs), targeting wide-area audio sensing applications. We propose a cloud assistance strategy that remedies the low accuracy of on-device inference while minimizing the communication costs for cloud offloading. By leveraging a self-attention-based cloud sub-spectral feature selection method to facilitate efficient on-device inference, ORCA resolves three key challenges for resource-constrained cloud offloading over LPWANs: 1) high communication costs and low data rates, 2) dynamic wireless channel conditions, and 3) unreliable offloading. We implement ORCA on an energy-harvesting batteryless microcontroller and evaluate it in a real world urban sound testbed. Our results show that ORCA outperforms state-of-the-art methods by up to $80 \times$ in energy savings and $220 \times$ in latency reduction while maintaining comparable accuracy.

Abstract:Intrusion detection systems (IDS) play a crucial role in IoT and network security by monitoring system data and alerting to suspicious activities. Machine learning (ML) has emerged as a promising solution for IDS, offering highly accurate intrusion detection. However, ML-IDS solutions often overlook two critical aspects needed to build reliable systems: continually changing data streams and a lack of attack labels. Streaming network traffic and associated cyber attacks are continually changing, which can degrade the performance of deployed ML models. Labeling attack data, such as zero-day attacks, in real-world intrusion scenarios may not be feasible, making the use of ML solutions that do not rely on attack labels necessary. To address both these challenges, we propose CND-IDS, a continual novelty detection IDS framework which consists of (i) a learning-based feature extractor that continuously updates new feature representations of the system data, and (ii) a novelty detector that identifies new cyber attacks by leveraging principal component analysis (PCA) reconstruction. Our results on realistic intrusion datasets show that CND-IDS achieves up to 6.1x F-score improvement, and up to 6.5x improved forward transfer over the SOTA unsupervised continual learning algorithm. Our code will be released upon acceptance.

Abstract:The proliferation of IoT devices has significantly increased network vulnerabilities, creating an urgent need for effective Intrusion Detection Systems (IDS). Machine Learning-based IDS (ML-IDS) offer advanced detection capabilities but rely on labeled attack data, which limits their ability to identify unknown threats. Self-Supervised Learning (SSL) presents a promising solution by using only normal data to detect patterns and anomalies. This paper introduces SAFE, a novel framework that transforms tabular network intrusion data into an image-like format, enabling Masked Autoencoders (MAEs) to learn robust representations of network behavior. The features extracted by the MAEs are then incorporated into a lightweight novelty detector, enhancing the effectiveness of anomaly detection. Experimental results demonstrate that SAFE outperforms the state-of-the-art anomaly detection method, Scale Learning-based Deep Anomaly Detection method (SLAD), by up to 26.2% and surpasses the state-of-the-art SSL-based network intrusion detection approach, Anomal-E, by up to 23.5% in F1-score.





Abstract:Ensemble learning is a meta-learning approach that combines the predictions of multiple learners, demonstrating improved accuracy and robustness. Nevertheless, ensembling models like Convolutional Neural Networks (CNNs) result in high memory and computing overhead, preventing their deployment in embedded systems. These devices are usually equipped with small batteries that provide power supply and might include energy-harvesting modules that extract energy from the environment. In this work, we propose E-QUARTIC, a novel Energy Efficient Edge Ensembling framework to build ensembles of CNNs targeting Artificial Intelligence (AI)-based embedded systems. Our design outperforms single-instance CNN baselines and state-of-the-art edge AI solutions, improving accuracy and adapting to varying energy conditions while maintaining similar memory requirements. Then, we leverage the multi-CNN structure of the designed ensemble to implement an energy-aware model selection policy in energy-harvesting AI systems. We show that our solution outperforms the state-of-the-art by reducing system failure rate by up to 40% while ensuring higher average output qualities. Ultimately, we show that the proposed design enables concurrent on-device training and high-quality inference execution at the edge, limiting the performance and energy overheads to less than 0.04%.





Abstract:Industrial Internet of Things (I-IoT) is a collaboration of devices, sensors, and networking equipment to monitor and collect data from industrial operations. Machine learning (ML) methods use this data to make high-level decisions with minimal human intervention. Data-driven predictive maintenance (PDM) is a crucial ML-based I-IoT application to find an optimal maintenance schedule for industrial assets. The performance of these ML methods can seriously be threatened by adversarial attacks where an adversary crafts perturbed data and sends it to the ML model to deteriorate its prediction performance. The models should be able to stay robust against these attacks where robustness is measured by how much perturbation in input data affects model performance. Hence, there is a need for effective defense mechanisms that can protect these models against adversarial attacks. In this work, we propose a double defense mechanism to detect and mitigate adversarial attacks in I-IoT environments. We first detect if there is an adversarial attack on a given sample using novelty detection algorithms. Then, based on the outcome of our algorithm, marking an instance as attack or normal, we select adversarial retraining or standard training to provide a secondary defense layer. If there is an attack, adversarial retraining provides a more robust model, while we apply standard training for regular samples. Since we may not know if an attack will take place, our adaptive mechanism allows us to consider irregular changes in data. The results show that our double defense strategy is highly efficient where we can improve model robustness by up to 64.6% and 52% compared to standard and adversarial retraining, respectively.





Abstract:Industrial Internet of Things (I-IoT) enables fully automated production systems by continuously monitoring devices and analyzing collected data. Machine learning methods are commonly utilized for data analytics in such systems. Cyber-attacks are a grave threat to I-IoT as they can manipulate legitimate inputs, corrupting ML predictions and causing disruptions in the production systems. Hyper-dimensional computing (HDC) is a brain-inspired machine learning method that has been shown to be sufficiently accurate while being extremely robust, fast, and energy-efficient. In this work, we use HDC for intelligent fault diagnosis against different adversarial attacks. Our black-box adversarial attacks first train a substitute model and create perturbed test instances using this trained model. These examples are then transferred to the target models. The change in the classification accuracy is measured as the difference before and after the attacks. This change measures the resiliency of a learning method. Our experiments show that HDC leads to a more resilient and lightweight learning solution than the state-of-the-art deep learning methods. HDC has up to 67.5% higher resiliency compared to the state-of-the-art methods while being up to 25.1% faster to train.
