Abstract:Reinforcement Learning (RL) is crucial for empowering VideoLLMs with complex spatiotemporal reasoning. However, current RL paradigms predominantly rely on random data shuffling or naive curriculum strategies based on scalar difficulty metrics. We argue that scalar metrics fail to disentangle two orthogonal challenges in video understanding: Visual Temporal Perception Load and Cognitive Reasoning Depth. To address this, we propose VideoCuRL, a novel framework that decomposes difficulty into these two axes. We employ efficient, training-free proxies, optical flow and keyframe entropy for visual complexity, Calibrated Surprisal for cognitive complexity, to map data onto a 2D curriculum grid. A competence aware Diagonal Wavefront strategy then schedules training from base alignment to complex reasoning. Furthermore, we introduce Dynamic Sparse KL and Structured Revisiting to stabilize training against reward collapse and catastrophic forgetting. Extensive experiments show that VideoCuRL surpasses strong RL baselines on reasoning (+2.5 on VSI-Bench) and perception (+2.9 on VideoMME) tasks. Notably, VideoCuRL eliminates the prohibitive inference overhead of generation-based curricula, offering a scalable solution for robust video post-training.




Abstract:The ability of robots to interpret human instructions and execute manipulation tasks necessitates the availability of task-relevant tabletop scenes for training. However, traditional methods for creating these scenes rely on time-consuming manual layout design or purely randomized layouts, which are limited in terms of plausibility or alignment with the tasks. In this paper, we formulate a novel task, namely task-oriented tabletop scene generation, which poses significant challenges due to the substantial gap between high-level task instructions and the tabletop scenes. To support research on such a challenging task, we introduce MesaTask-10K, a large-scale dataset comprising approximately 10,700 synthetic tabletop scenes with manually crafted layouts that ensure realistic layouts and intricate inter-object relations. To bridge the gap between tasks and scenes, we propose a Spatial Reasoning Chain that decomposes the generation process into object inference, spatial interrelation reasoning, and scene graph construction for the final 3D layout. We present MesaTask, an LLM-based framework that utilizes this reasoning chain and is further enhanced with DPO algorithms to generate physically plausible tabletop scenes that align well with given task descriptions. Exhaustive experiments demonstrate the superior performance of MesaTask compared to baselines in generating task-conforming tabletop scenes with realistic layouts. Project page is at https://mesatask.github.io/
Abstract:We introduce AnySplat, a feed forward network for novel view synthesis from uncalibrated image collections. In contrast to traditional neural rendering pipelines that demand known camera poses and per scene optimization, or recent feed forward methods that buckle under the computational weight of dense views, our model predicts everything in one shot. A single forward pass yields a set of 3D Gaussian primitives encoding both scene geometry and appearance, and the corresponding camera intrinsics and extrinsics for each input image. This unified design scales effortlessly to casually captured, multi view datasets without any pose annotations. In extensive zero shot evaluations, AnySplat matches the quality of pose aware baselines in both sparse and dense view scenarios while surpassing existing pose free approaches. Moreover, it greatly reduce rendering latency compared to optimization based neural fields, bringing real time novel view synthesis within reach for unconstrained capture settings.Project page: https://city-super.github.io/anysplat/




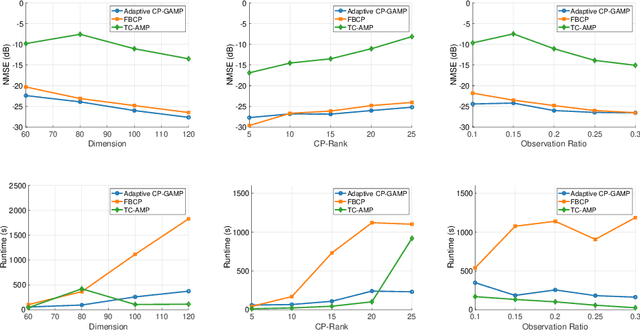
Abstract:Tensor CANDECOMP/PARAFAC decomposition (CPD) is a fundamental model for tensor reconstruction. Although the Bayesian framework allows for principled uncertainty quantification and automatic hyperparameter learning, existing methods do not scale well for large tensors because of high-dimensional matrix inversions. To this end, we introduce CP-GAMP, a scalable Bayesian CPD algorithm. This algorithm leverages generalized approximate message passing (GAMP) to avoid matrix inversions and incorporates an expectation-maximization routine to jointly infer the tensor rank and noise power. Through multiple experiments, for synthetic 100x100x100 rank 20 tensors with only 20% elements observed, the proposed algorithm reduces runtime by 82.7% compared to the state-of-the-art variational Bayesian CPD method, while maintaining comparable reconstruction accuracy.
Abstract:The development of edge computing places critical demands on energy-efficient model deployment for multiple-input multiple-output (MIMO) detection tasks. Deploying deep unfolding models such as PGD-Nets and ADMM-Nets into resource-constrained edge devices using quantization methods is challenging. Existing quantization methods based on quantization aware training (QAT) suffer from performance degradation due to their reliance on parametric distribution assumption of activations and static quantization step sizes. To address these challenges, this paper proposes a novel kernel-based adaptive quantization (KAQ) framework for deep unfolding networks. By utilizing a joint kernel density estimation (KDE) and maximum mean discrepancy (MMD) approach to align activation distributions between full-precision and quantized models, the need for prior distribution assumptions is eliminated. Additionally, a dynamic step size updating method is introduced to adjust the quantization step size based on the channel conditions of wireless networks. Extensive simulations demonstrate that the accuracy of proposed KAQ framework outperforms traditional methods and successfully reduces the model's inference latency.
Abstract:Deep Learning (DL)-based street scene semantic understanding has become a cornerstone of autonomous driving (AD). DL model performance heavily relies on network depth. Specifically, deeper DL architectures yield better segmentation performance. However, as models grow deeper, traditional one-point supervision at the final layer struggles to optimize intermediate feature representations, leading to subpar training outcomes. To address this, we propose an intermediate Multi-access Supervision and Regularization (iMacSR) strategy. The proposed iMacSR introduces two novel components: (I) mutual information between latent features and ground truth as intermediate supervision loss ensures robust feature alignment at multiple network depths; and (II) negative entropy regularization on hidden features discourages overconfident predictions and mitigates overfitting. These intermediate terms are combined into the original final-layer training loss to form a unified optimization objective, enabling comprehensive optimization across the network hierarchy. The proposed iMacSR provides a robust framework for training deep AD architectures, advancing the performance of perception systems in real-world driving scenarios. In addition, we conduct theoretical convergence analysis for the proposed iMacSR. Extensive experiments on AD benchmarks (i.e., Cityscapes, CamVid, and SynthiaSF datasets) demonstrate that iMacSR outperforms conventional final-layer single-point supervision method up to 9.19% in mean Intersection over Union (mIoU).
Abstract:The recently emerged movable antenna (MA) shows great promise in leveraging spatial degrees of freedom to enhance the performance of wireless systems. However, resource allocation in MA-aided systems faces challenges due to the nonconvex and coupled constraints on antenna positions. This paper systematically reveals the challenges posed by the minimum antenna separation distance constraints. Furthermore, we propose a penalty optimization framework for resource allocation under such new constraints for MA-aided systems. Specifically, the proposed framework separates the non-convex and coupled antenna distance constraints from the movable region constraints by introducing auxiliary variables. Subsequently, the resulting problem is efficiently solved by alternating optimization, where the optimization of the original variables resembles that in conventional resource allocation problem while the optimization with respect to the auxiliary variables is achieved in closedform solutions. To illustrate the effectiveness of the proposed framework, we present three case studies: capacity maximization, latency minimization, and regularized zero-forcing precoding. Simulation results demonstrate that the proposed optimization framework consistently outperforms state-of-the-art schemes.
Abstract:The movable antenna (MA) is a promising technology to exploit more spatial degrees of freedom for enhancing wireless system performance. However, the MA-aided system introduces the non-convex antenna distance constraints, which poses challenges in the underlying optimization problems. To fill this gap, this paper proposes a general framework for optimizing the MA-aided system under the antenna distance constraints. Specifically, we separate the non-convex antenna distance constraints from the objective function by introducing auxiliary variables. Then, the resulting problem can be efficiently solved under the alternating optimization framework. For the subproblems with respect to the antenna position variables and auxiliary variables, the proposed algorithms are able to obtain at least stationary points without any approximations. To verify the effectiveness of the proposed optimization framework, we present two case studies: capacity maximization and regularized zero-forcing precoding. Simulation results demonstrate the proposed optimization framework outperforms the existing baseline schemes under both cases.