Abstract:This work investigates a practical reconfigurable intelligent surface (RIS)-aided integrated sensing and communication (ISAC) system, where a subset of RIS elements fail to function properly and reflect incident signals randomly towards unintended directions, thereby degrading system performance. To date, no study has addressed such impairments caused by faulty RIS elements in ISAC systems. This work aims to fill the gap. First, to quantify the impact of faulty elements on ISAC performance, we derive the misspecified Cram\'er-Rao bound (MCRB) for sensing parameter estimation and signal-to-interference-and-noise ratio (SINR) for communication quality. Then, to mitigate the performance loss caused by faulty elements, we jointly design the remaining functional RIS phase shifts and transmit beamforming to minimize the MCRB, subject to the communication SINR and transmit power constraints. The resulting optimization problem is highly non-convex due to the intricate structure of the MCRB expression and constant-modulus constraint imposed on RIS. To address this, we reformulate it into a more tractable form and propose a block coordinate descent (BCD) algorithm that incorporates majorization-minimization (MM), successive convex approximation (SCA), and penalization techniques. Simulation results demonstrate that our proposed approach reduces the MCRB performance loss by 24.36% on average compared to the case where the presence of faulty elements is ignored. Furthermore, the performance gain becomes more evident as the number of faulty elements increases.




Abstract:Pinching antennas have recently garnered significant attention due to their ability to dynamically reconfigure wireless propagation environments. Despite notable advancements in this area, the exploration of energy efficiency (EE) maximization in pinching-antenna systems remains relatively underdeveloped. In this paper, we address the EE maximization problem in a downlink time-division multiple access (TDMA)-based multi-user system employing one waveguide and multiple pinching antennas, where each user is subject to a minimum rate constraint to ensure quality-of-service. The formulated optimization problem jointly considers transmit power and time allocations as well as the positioning of pinching antennas, resulting in a non-convex problem. To tackle this challenge, we first obtain the optimal positions of the pinching antennas. Based on this, we establish a feasibility condition for the system. Subsequently, the joint power and time allocation problem is decomposed into two subproblems, which are solved iteratively until convergence. Specifically, the power allocation subproblem is addressed through an iterative approach, where a semi-analytical solution is obtained in each iteration. Likewise, a semi-analytical solution is derived for the time allocation subproblem. Numerical simulations demonstrate that the proposed pinching-antenna-based strategy significantly outperforms both conventional fixed-antenna systems and other benchmark pinching-antenna schemes in terms of EE.



Abstract:This letter introduces a novel wireless powered communication system, referred to as a wireless powered pinching-antenna network (WPPAN), utilizing a single waveguide with pinching antennas to address the double near-far problem inherent in wireless powered networks. In the proposed WPPAN, users harvest energy from spatially distributed pinching antennas in the downlink and use the collected power to transmit messages in the uplink. Furthermore, to manage the combinatorial complexity associated with activating the pinching antennas, we propose three approaches of varying complexity to simplify the original resource allocation problem and then solve it efficiently using convex optimization methods. Simulation results confirm that the proposed WPPAN system effectively mitigates the double near-far problem by providing antenna resources closer to the users, thereby enhancing both downlink energy harvesting and uplink data transmission.
Abstract:The full potential of pinching-antenna systems (PAS) can be unblocked if pinching antennas can be accurately activated at positions tailored for the serving users', which means that acquiring accurate channel state information (CSI) at arbitrary positions along the waveguide is essential for the precise placement of antennas. In this work, we propose an innovative channel estimation scheme for millimeter-wave (mmWave) PAS. The proposed approach requires activating only a small number of pinching antennas, thereby limiting antenna switching and pilot overhead. Specifically, a base station (BS) equipped with a waveguide selectively activates subarrays located near and far from the feed point, each comprising a small number of pinching antennas. This configuration effectively emulates a large-aperture array, enabling high-accuracy estimation of multipath propagation parameters, including angles, delays, and path gains. Simulation results demonstrate that the proposed method achieves accurate CSI estimation and data rates while effectively reducing hardware switching and pilot overhead.




Abstract:Uplink integrated sensing and communication (ISAC) systems have recently emerged as a promising research direction, enabling simultaneous uplink signal detection and target sensing. In this paper, we propose flexible projection (FP)-type receivers that unify the projection-type receivers and the successive interference cancellation (SIC)-type receivers by using a flexible tradeoff factor to adapt to dynamically changing uplink ISAC scenarios. The FP-type receivers address the joint signal detection and target response estimation problem through two coordinated phases: 1) Communication signal detection using a reconstructed signal whose composition is controlled by the tradeoff factor, followed by 2) Target response estimation performed through subtraction of the detected communication signal from the received signal. With adjustable tradeoff factors, the FP-type receivers can balance the enhancement of the signal-to-interference-plus-noise ratio (SINR) with the reduction of correlation in the reconstructed signal for communication signal detection. The pairwise error probabilities (PEPs) are analyzed for both maximum likelihood (ML) and zero-forcing (ZF) detectors, revealing that the optimal tradeoff factor should be determined based on the adopted detection algorithm and the relative power of the sensing and communication (S&C) signal. A homotopy optimization framework is first applied for the FP-type receivers with a fixed trade-off factor. This framework is then extended to develop dynamic FP (DFP)-type receivers, which iteratively adjust the trade-off factor for improved algorithm performance and environmental adaptability. Subsequently, two extensions are explored to further enhance the receivers' performance: parallel DFP (PDFP)-type receivers and a block-structured receiver design. Finally, the effectiveness of the proposed receiver designs is verified via simulations.



Abstract:Dual function radar and communication (DFRC) is a promising research direction within integrated sensing and communication (ISAC), improving hardware and spectrum efficiency by merging sensing and communication (S&C) functionalities into a shared platform. However, the DFRC receiver (DFRC-R) is tasked with both uplink communication signal detection and simultaneously target-related parameter estimation from the echoes, leading to issues with mutual interference. In this paper, a projection-based scheme is proposed to equivalently transform the joint signal detection and target estimation problem into a joint signal detection process across multiple snapshots. Compared with conventional successive interference cancellation (SIC) schemes, our proposed approach achieves a higher signal-to-noise ratio (SNR), and a higher ergodic rate when the radar signal is non-negligible. Nonetheless, it introduces an ill-conditioned signal detection problem, which is addressed using a non-linear detector. By jointly processing an increased number of snapshots, the proposed scheme can achieve high S&C performance simultaneously.
Abstract:This article conceives a unified representation for near-field and far-field holographic multiple-input multiple-output (HMIMO) channels, addressing a practical design dilemma: "Why does the angular-domain representation no longer function effectively?" To answer this question, we pivot from the angular domain to the wavenumber domain and present a succinct overview of its underlying philosophy. In re-examining the Fourier plane-wave series expansion that recasts spherical propagation waves into a series of plane waves represented by Fourier harmonics, we characterize the HMIMO channel employing these Fourier harmonics having different wavenumbers. This approach, referred to as the wavenumebr-domain representation, facilitates a unified view across the far-field and the near-field. Furthermore, the limitations of the DFT basis are demonstrated when identifying the sparsity inherent to the HMIMO channel, motivating the development of a wavenumber-domain basis as an alternative. We then present some preliminary applications of the proposed wavenumber-domain basis in signal processing across both the far-field and near-field, along with several prospects for future HMIMO system designs based on the wavenumber domain.




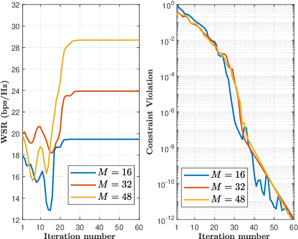
Abstract:In this paper, we investigate a double-active-reconfigurable intelligent surface (RIS)-aided downlink wireless communication system, where a multi-antenna base station (BS) serves multiple single-antenna users with both double reflection and single reflection links. Due to the signal amplification capability of active RISs, the mutual influence between active RISs, which is termed as the "inter-excitation" effect, cannot be ignored. Then, we develop a feedback-type model to characterize the signal containing the inter-excitation effect. Based on the signal model, we formulate a weighted sum rate (WSR) maximization problem by jointly optimizing the beamforming matrix at the BS and the reflecting coefficient matrices at the two active RISs, subject to power constraints at the BS and active RISs, as well as the maximum amplification gain constraints of the active RISs. To solve this non-convex problem, we first transform the problem into a more tractable form using the fractional programming (FP) method. Then, by introducing auxiliary variables, the problem can be converted into an equivalent form that can be solved by using a low-complexity penalty dual decomposition (PDD) algorithm. Finally, simulation results indicate that it is crucial to consider the inter-excitation effect between active RISs in beamforming design for double-active-RIS-aided communication systems. Additionally, it prevails over other benchmark schemes with single active RIS and double passive RISs in terms of achievable rate.
Abstract:We propose a novel integrated sensing and communication (ISAC) system that leverages sensing to assist communication, ensuring fast initial access, seamless user tracking, and uninterrupted communication for millimeter wave (mmWave) wideband systems. True-time-delayers (TTDs) are utilized to generate frequency-dependent radar rainbow beams by controlling the beam squint effect. These beams cover users across the entire angular space simultaneously for fast beam training using just one orthogonal frequency-division multiplexing (OFDM) symbol. Three detection and estimation schemes are proposed based on radar rainbow beams for estimation of the users' angles, distances, and velocities, which are then exploited for communication beamformer design. The first proposed scheme utilizes a single-antenna radar receiver and one set of rainbow beams, but may cause a Doppler ambiguity. To tackle this limitation, two additional schemes are introduced, utilizing two sets of rainbow beams and a multi-antenna receiver, respectively. Furthermore, the proposed detection and estimation schemes are extended to realize user tracking by choosing different subsets of OFDM subcarriers. This approach eliminates the need to switch phase shifters and TTDs, which are typically necessary in existing tracking technologies, thereby reducing the demands on the control circurity. Simulation results reveal the effectiveness of the proposed rainbow beam-based training and tracking methods for mobile users. Notably, the scheme employing a multi-antenna radar receiver can accurately estimate the channel parameters and can support communication rates comparable to those achieved with perfect channel information.
Abstract:Future communication systems are envisioned to employ intelligent reflecting surfaces (IRSs) and the millimeter wave (mmWave) frequency band to provide reliable high-rate services. For mobile users, the time-varying channel state information (CSI) requires adequate adjustment of the reflection pattern of the IRS. We propose a novel codebook-based user tracking (UT) algorithm for IRS-assisted mmWave communication, allowing suitable reconfiguration of the IRS unit cell phase shifts, resulting in a high reflection gain. The presented algorithm acquires the direction information of the user based on a peak likelihood-based direction estimation. Using the direction information, the user's trajectory is extrapolated to proactively update the adopted codeword and adjust the IRS phase shift configuration accordingly. Furthermore, we conduct a theoretical analysis of the direction estimation error and utilize the obtained insights to design a codebook specifically optimized for direction estimation. Our numerical results reveal a lower direction estimation error of the proposed UT algorithm when employing our designed codebook compared to codebooks from the literature. Furthermore, the average achieved signal-to-noise ratio (SNR) as well as the average effective rate of the proposed UT algorithm are analyzed. The proposed UT algorithm requires only a low overhead for direction and channel estimation and avoids outdated IRS phase shifts. Furthermore, it is shown to outperform two benchmark schemes based on direct phase shift optimization and hierarchical codebook search, respectively, via computer simulations.