Abstract:In wideband near-field arrays, frequency-dependent array responses cause wavefronts at different frequencies to deviate from that at the center frequency, producing beam squint and degrading multi-user performance. True-time-delay (TTD) circuits can realign the frequency dependence but require large delay ranges and intricate calibration, limiting scalability. Another line of work explores one- and two-dimensional array geometries, including linear, circular, and concentric circular, that exhibit distinct broadband behaviors such as different beam-squint sensitivities and focusing characteristics. These observations motivate adapting the array layout to enable wideband-friendly focusing and enhance multi-user performance without TTD networks. We propose a movable antenna (MA) aided architecture based on hierarchical sub-connected hybrid beamforming (HSC-HBF) in which antennas are grouped into tiles and only the tile centers are repositioned, providing slow geometric degrees of freedom that emulate TTD-like broadband focusing while keeping hardware and optimization complexity low. We show that the steering vector is inherently frequency dependent and that reconfiguring tile locations improves broadband focusing. Simulations across wideband near-field scenarios demonstrate robust squint suppression and consistent gains over fixed-layout arrays, achieving up to 5\% higher sum rate, with the maximum improvement exceeding 140\%.
Abstract:Fluid antenna (FA), as an emerging antenna technology, fully exploits spatial diversity. This paper integrates FA with the receive spatial modulation (RSM) scheme and proposes a novel FA-empowered RSM (FA-RSM) system. In this system, the transmitter is equipped with an FA that simultaneously activates multiple ports to transmit precoded signals. We address three key challenges in the FA-RSM system: port selection, theoretical analysis, and detection. First, for port selection, an optimal algorithm from a capacity maximization perspective are proposed, followed by two low-complexity alternatives. Second, for theoretical analysis, performance evaluation metrics are provided for port selection, which demonstrate that increasing the number of activated ports enhances system performance. Third, regarding detection, two low-complexity detectors are proposed. Simulation results confirm that the FA-RSM system significantly outperforms the conventional RSM system. The proposed low-complexity port selection algorithms facilitate minimal performance degradation. Moreover, while activating additional ports improves performance, the gain gradually saturates due to inherent spatial correlation, highlighting the importance of effective port selection in reducing system complexity and cost. Finally, both proposed detectors achieve near-optimal detection performance with low computational complexity, emphasizing the receiver-friendly nature of the FA-RSM system.
Abstract:Diffusion models (DMs) have recently achieved significant success in wireless communications systems due to their denoising capabilities. The broadcast nature of wireless signals makes them susceptible not only to Gaussian noise, but also to unaware interference. This raises the question of whether DMs can effectively mitigate interference in wireless semantic communication systems. In this paper, we model the interference cancellation problem as a maximum a posteriori (MAP) problem over the joint posterior probability of the signal and interference, and theoretically prove that the solution provides excellent estimates for the signal and interference. To solve this problem, we develop an interference cancellation diffusion model (ICDM), which decomposes the joint posterior into independent prior probabilities of the signal and interference, along with the channel transition probablity. The log-gradients of these distributions at each time step are learned separately by DMs and accurately estimated through deriving. ICDM further integrates these gradients with advanced numerical iteration method, achieving accurate and rapid interference cancellation. Extensive experiments demonstrate that ICDM significantly reduces the mean square error (MSE) and enhances perceptual quality compared to schemes without ICDM. For example, on the CelebA dataset under the Rayleigh fading channel with a signal-to-noise ratio (SNR) of $20$ dB and signal to interference plus noise ratio (SINR) of 0 dB, ICDM reduces the MSE by 4.54 dB and improves the learned perceptual image patch similarity (LPIPS) by 2.47 dB.
Abstract:Movable antenna (MA) has shown significant potential for improving the performance of integrated sensing and communication (ISAC) systems. In this paper, we model an MA-aided ISAC system operating in a communication full-duplex mono-static sensing framework. The self-interference channel is modeled as a function of the antenna position vectors under the near-field channel condition. We develop an optimization problem to maximize the weighted sum of downlink and uplink communication rates alongside the mutual information relevant to the sensing task. To address this highly non-convex problem, we employ the fractional programming (FP) method and propose an alternating optimization (AO)-based algorithm that jointly optimizes the beamforming, user power allocation, and antenna positions at the transceivers. Given the sensitivity of the AO-based algorithm to the initial antenna positions, a PSO-based algorithm is proposed to explore superior sub-optimal antenna positions within the feasible region. Numerical results indicate that the proposed algorithms enable the MA system to effectively leverage the antenna position flexibility for accurate beamforming in a complex ISAC scenario. This enhances the system's self-interference cancellation (SIC) capabilities and markedly improves its overall performance and reliability compared to conventional fixed-position antenna designs.
Abstract:Designing a 6G-oriented universal model capable of processing multi-modal data and executing diverse air interface tasks has emerged as a common goal in future wireless systems. Building on our prior work in communication multi-modal alignment and telecom large language model (LLM), we propose a scalable, task-aware artificial intelligence-air interface multi-modal universal model (AI2MMUM), which flexibility and effectively perform various physical layer tasks according to subtle task instructions. The LLM backbone provides robust contextual comprehension and generalization capabilities, while a fine-tuning approach is adopted to incorporate domain-specific knowledge. To enhance task adaptability, task instructions consist of fixed task keywords and learnable, implicit prefix prompts. Frozen radio modality encoders extract universal representations and adapter layers subsequently bridge radio and language modalities. Moreover, lightweight task-specific heads are designed to directly output task objectives. Comprehensive evaluations demonstrate that AI2MMUM achieves SOTA performance across five representative physical environment/wireless channel-based downstream tasks using the WAIR-D and DeepMIMO datasets.
Abstract:Existing works on machine learning (ML)-empowered wireless communication primarily focus on monolithic scenarios and single tasks. However, with the blooming growth of communication task classes coupled with various task requirements in future 6G systems, this working pattern is obviously unsustainable. Therefore, identifying a groundbreaking paradigm that enables a universal model to solve multiple tasks in the physical layer within diverse scenarios is crucial for future system evolution. This paper aims to fundamentally address the curse of ML model generalization across diverse scenarios and tasks by unleashing multi-modal feature integration capabilities in future systems. Given the universality of electromagnetic propagation theory, the communication process is determined by the scattering environment, which can be more comprehensively characterized by cross-modal perception, thus providing sufficient information for all communication tasks across varied environments. This fact motivates us to propose a transformative two-stage multi-modal pre-training and downstream task adaptation paradigm...
Abstract:Fluid antenna multiple access (FAMA), enabled by the fluid antenna system (FAS), offers a new and straightforward solution to massive connectivity. Previous results on FAMA were primarily based on narrowband channels. This paper studies the adoption of FAMA within the fifth-generation (5G) orthogonal frequency division multiplexing (OFDM) framework, referred to as OFDM-FAMA, and evaluate its performance in broadband multipath channels. We first design the OFDM-FAMA system, taking into account 5G channel coding and OFDM modulation. Then the system's achievable rate is analyzed, and an algorithm to approximate the FAS configuration at each user is proposed based on the rate. Extensive link-level simulation results reveal that OFDM-FAMA can significantly improve the multiplexing gain over the OFDM system with fixed-position antenna (FPA) users, especially when robust channel coding is applied and the number of radio-frequency (RF) chains at each user is small.




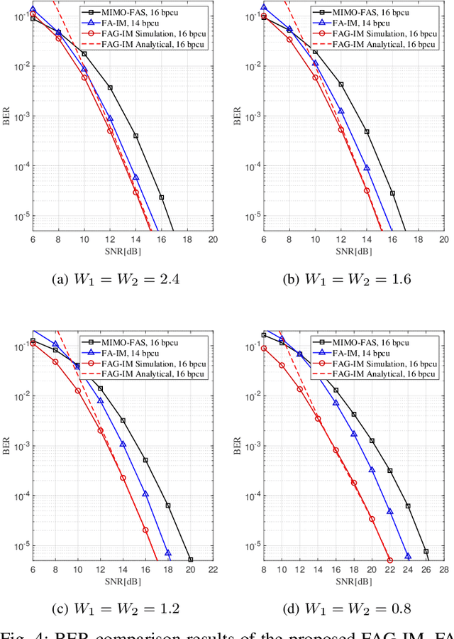
Abstract:The fluid antenna (FA)-enabled multiple-input multiple-output (MIMO) system based on index modulation (IM), referred to as FA-IM, significantly enhances spectral efficiency (SE) compared to the conventional FA-assisted MIMO system. This paper proposes an innovative FA grouping-based IM (FAG-IM) system to improve performance in mitigating the high spatial correlation between multiple activated ports. A block grouping scheme is employed based on the spatial correlation model and the distribution structure of the ports. Then, a closed-form expression for the average bit error probability (ABEP) upper bound of the FAG-IM system is derived. In order to reduce the receiver complexity of the proposed system, the message passing mechanism is first incorporated into the FAG-IM system. Subsequently, within the approximate message passing (AMP) framework, an efficient structured AMP (S-AMP) detector is devised by leveraging the structural characteristics of the transmission signal vector. Simulation results confirm that the proposed FAG-IM system significantly outperforms the existing FA-IM system in the presence of spatial correlation. The derived ABEP curve aligns well with the numerical results, providing an efficient theoretical tool for evaluating the system performance. Additionally, simulation results demonstrate that the proposed low-complexity S-AMP detector not only reduces the time complexity to a linear scale but also substantially improves bit error rate (BER) performance compared to the minimum mean square error (MMSE) detector, thus facilitating the practical implementation of the FAG-IM system.




Abstract:Integrated sensing and communication (ISAC) is a very promising technology designed to provide both high rate communication capabilities and sensing capabilities. However, in Massive Multi User Multiple-Input Multiple-Output (Massive MU MIMO-ISAC) systems, the dense user access creates a serious multi-user interference (MUI) problem, leading to degradation of communication performance. To alleviate this problem, we propose a decentralized baseband processing (DBP) precoding method. We first model the MUI of dense user scenarios with minimizing Cramer-Rao bound (CRB) as an objective function.Hybrid precoding is an attractive ISAC technique, and hybrid precoding using Partially Connected Structures (PCS) can effectively reduce hardware cost and power consumption. We mitigate the MUI between dense users based on ThomlinsonHarashima Precoding (THP). We demonstrate the effectiveness of the proposed method through simulation experiments. Compared with the existing methods, it can effectively improve the communication data rates and energy efficiency in dense user access scenario, and reduce the hardware complexity of Massive MU MIMO-ISAC systems. The experimental results demonstrate the usefulness of our method for improving the MUI problem in ISAC systems for dense user access scenarios.




Abstract:Beamforming design has been extensively investigated in integrated sensing and communication (ISAC) systems. The use of movable antennas has proven effective in enhancing the design of beamforming. Although some studies have explored joint optimization of transmit beamforming matrices and antenna positions in bistatic scenarios, there is a gap in the literature regarding monostatic full-duplex (FD) systems. To fill this gap, we propose an algorithm that jointly optimizes the beamforming and antenna positions at both the transmitter and the receiver in a monostatic FD system. In an FD system, suppressing self-interference is crucial. This interference can be significantly reduced by carefully designing transmit and receive beamforming matrices. To further enhance the suppression, we derive a formulation of self-interference characterized by antenna position vectors. This enables the strategic positioning of movable antennas to further mitigate interference. Our approach optimizes the weighted sum of communication capacity and mutual information by simultaneously optimizing beamforming and antenna positions for both tranceivers. Specifically, we propose a coarse-to-fine grained search algorithm (CFGS) to find optimal antenna positions. Numerical results demonstrate that our proposed algorithm provides significant improvements for the MA system compared to conventional fixed-position antenna systems.