Istituto Italiano di Tecnologia, Genova, Italy
Abstract:This paper presents a CAD-driven co-design framework for optimizing jet-powered aerial humanoid robots to execute dynamically constrained trajectories. Starting from the iRonCub-Mk3 model, a Design of Experiments (DoE) approach is used to generate 5,000 geometrically varied and mechanically feasible designs by modifying limb dimensions, jet interface geometry (e.g., angle and offset), and overall mass distribution. Each model is constructed through CAD assemblies to ensure structural validity and compatibility with simulation tools. To reduce computational cost and enable parameter sensitivity analysis, the models are clustered using K-means, with representative centroids selected for evaluation. A minimum-jerk trajectory is used to assess flight performance, providing position and velocity references for a momentum-based linearized Model Predictive Control (MPC) strategy. A multi-objective optimization is then conducted using the NSGA-II algorithm, jointly exploring the space of design centroids and MPC gain parameters. The objectives are to minimize trajectory tracking error and mechanical energy expenditure. The framework outputs a set of flight-ready humanoid configurations with validated control parameters, offering a structured method for selecting and implementing feasible aerial humanoid designs.




Abstract:Evaluating and comparing the performance of autonomous Humanoid Robots is challenging, as success rate metrics are difficult to reproduce and fail to capture the complexity of robot movement trajectories, critical in Human-Robot Interaction and Collaboration (HRIC). To address these challenges, we propose a general evaluation framework that measures the quality of Imitation Learning (IL) methods by focusing on trajectory performance. We devise the Neural Meta Evaluator (NeME), a deep learning model trained to classify actions from robot joint trajectories. NeME serves as a meta-evaluator to compare the performance of robot control policies, enabling policy evaluation without requiring human involvement in the loop. We validate our framework on ergoCub, a humanoid robot, using teleoperation data and comparing IL methods tailored to the available platform. The experimental results indicate that our method is more aligned with the success rate obtained on the robot than baselines, offering a reproducible, systematic, and insightful means for comparing the performance of multimodal imitation learning approaches in complex HRI tasks.




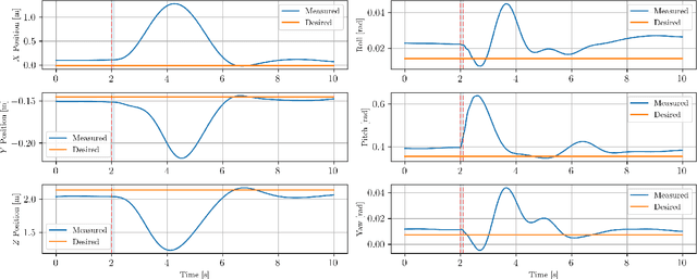
Abstract:We propose a novel Model Predictive Control (MPC) framework for a jet-powered flying humanoid robot. The controller is based on a linearised centroidal momentum model to represent the flight dynamics, augmented with a second-order nonlinear model to explicitly account for the slow and nonlinear dynamics of jet propulsion. A key contribution is the introduction of a multi-rate MPC formulation that handles the different actuation rates of the robot's joints and jet engines while embedding the jet dynamics directly into the predictive model. We validated the framework using the jet-powered humanoid robot iRonCub, performing simulations in Mujoco; the simulation results demonstrate the robot's ability to recover from external disturbances and perform stable, non-abrupt flight manoeuvres, validating the effectiveness of the proposed approach.




Abstract:This paper presents a scalable method for friction identification in robots equipped with electric motors and high-ratio harmonic drives, utilizing Physics-Informed Neural Networks (PINN). This approach eliminates the need for dedicated setups and joint torque sensors by leveraging the robo\v{t}s intrinsic model and state data. We present a comprehensive pipeline that includes data acquisition, preprocessing, ground truth generation, and model identification. The effectiveness of the PINN-based friction identification is validated through extensive testing on two different joints of the humanoid robot ergoCub, comparing its performance against traditional static friction models like the Coulomb-viscous and Stribeck-Coulomb-viscous models. Integrating the identified PINN-based friction models into a two-layer torque control architecture enhances real-time friction compensation. The results demonstrate significant improvements in control performance and reductions in energy losses, highlighting the scalability and robustness of the proposed method, also for application across a large number of joints as in the case of humanoid robots.




Abstract:Co-design optimization strategies usually rely on simplified robot models extracted from CAD. While these models are useful for optimizing geometrical and inertial parameters for robot control, they might overlook important details essential for prototyping the optimized mechanical design. For instance, they may not account for mechanical stresses exerted on the optimized geometries and the complexity of assembly-level design. In this paper, we introduce a co-design framework aimed at improving both the control performance and mechanical design of our robot. Specifically, we identify the robot links that significantly influence control performance. The geometric characteristics of these links are parameterized and optimized using a multi-objective evolutionary algorithm to achieve optimal control performance. Additionally, an automated Finite Element Method (FEM) analysis is integrated into the framework to filter solutions not satisfying the required structural safety margin. We validate the framework by applying it to enhance the mechanical design for flight performance of the jet-powered humanoid robot iRonCub.




Abstract:This paper presents a three-layered architecture that enables stylistic locomotion with online contact location adjustment. Our method combines an autoregressive Deep Neural Network (DNN) acting as a trajectory generation layer with a model-based trajectory adjustment and trajectory control layers. The DNN produces centroidal and postural references serving as an initial guess and regularizer for the other layers. Being the DNN trained on human motion capture data, the resulting robot motion exhibits locomotion patterns, resembling a human walking style. The trajectory adjustment layer utilizes non-linear optimization to ensure dynamically feasible center of mass (CoM) motion while addressing step adjustments. We compare two implementations of the trajectory adjustment layer: one as a receding horizon planner (RHP) and the other as a model predictive controller (MPC). To enhance MPC performance, we introduce a Kalman filter to reduce measurement noise. The filter parameters are automatically tuned with a Genetic Algorithm. Experimental results on the ergoCub humanoid robot demonstrate the system's ability to prevent falls, replicate human walking styles, and withstand disturbances up to 68 Newton. Website: https://sites.google.com/view/dnn-mpc-walking Youtube video: https://www.youtube.com/watch?v=x3tzEfxO-xQ




Abstract:Developing sophisticated control architectures has endowed robots, particularly humanoid robots, with numerous capabilities. However, tuning these architectures remains a challenging and time-consuming task that requires expert intervention. In this work, we propose a methodology to automatically tune the gains of all layers of a hierarchical control architecture for walking humanoids. We tested our methodology by employing different gradient-free optimization methods: Genetic Algorithm (GA), Covariance Matrix Adaptation Evolution Strategy (CMA-ES), Evolution Strategy (ES), and Differential Evolution (DE). We validated the parameter found both in simulation and on the real ergoCub humanoid robot. Our results show that GA achieves the fastest convergence (10 x 10^3 function evaluations vs 25 x 10^3 needed by the other algorithms) and 100% success rate in completing the task both in simulation and when transferred on the real robotic platform. These findings highlight the potential of our proposed method to automate the tuning process, reducing the need for manual intervention.




Abstract:This paper discusses the necessary considerations and adjustments that allow a recently proposed avatar system architecture to be used with different robotic avatar morphologies (both wheeled and legged robots with various types of hands and kinematic structures) for the purpose of enabling remote (intercontinental) telepresence under communication bandwidth restrictions. The case studies reported involve robots using both position and torque control modes, independently of their software middleware.



Abstract:Nonlinear model predictive locomotion controllers based on the reduced centroidal dynamics are nowadays ubiquitous in legged robots. These schemes, even if they assume an inherent simplification of the robot's dynamics, were shown to endow robots with a step-adjustment capability in reaction to small pushes, and, moreover, in the case of uncertain parameters - as unknown payloads - they were shown to be able to provide some practical, albeit limited, robustness. In this work, we provide rigorous certificates of their closed loop stability via a reformulation of the centroidal MPC controller. This is achieved thanks to a systematic procedure inspired by the machinery of adaptive control, together with ideas coming from Control Lyapunov functions. Our reformulation, in addition, provides robustness for a class of unmeasured constant disturbances. To demonstrate the generality of our approach, we validated our formulation on a new generation of humanoid robots - the 56.7 kg ergoCub, as well as on a commercially available 21 kg quadruped robot, Aliengo.




Abstract:This paper presents XBG (eXteroceptive Behaviour Generation), a multimodal end-to-end Imitation Learning (IL) system for a whole-body autonomous humanoid robot used in real-world Human-Robot Interaction (HRI) scenarios. The main contribution of this paper is an architecture for learning HRI behaviours using a data-driven approach. Through teleoperation, a diverse dataset is collected, comprising demonstrations across multiple HRI scenarios, including handshaking, handwaving, payload reception, walking, and walking with a payload. After synchronizing, filtering, and transforming the data, different Deep Neural Networks (DNN) models are trained. The final system integrates different modalities comprising exteroceptive and proprioceptive sources of information to provide the robot with an understanding of its environment and its own actions. The robot takes sequence of images (RGB and depth) and joints state information during the interactions and then reacts accordingly, demonstrating learned behaviours. By fusing multimodal signals in time, we encode new autonomous capabilities into the robotic platform, allowing the understanding of context changes over time. The models are deployed on ergoCub, a real-world humanoid robot, and their performance is measured by calculating the success rate of the robot's behaviour under the mentioned scenarios.