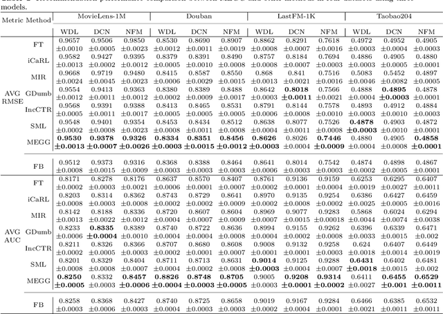
Abstract:Neural Collaborative Filtering models are widely used in recommender systems but are typically trained under static settings, assuming fixed data distributions. This limits their applicability in dynamic environments where user preferences evolve. Incremental learning offers a promising solution, yet conventional methods from computer vision or NLP face challenges in recommendation tasks due to data sparsity and distinct task paradigms. Existing approaches for neural recommenders remain limited and often lack generalizability. To address this, we propose MEGG, Replay Samples with Maximally Extreme GGscore, an experience replay based incremental learning framework. MEGG introduces GGscore, a novel metric that quantifies sample influence, enabling the selective replay of highly influential samples to mitigate catastrophic forgetting. Being model-agnostic, MEGG integrates seamlessly across architectures and frameworks. Experiments on three neural models and four benchmark datasets show superior performance over state-of-the-art baselines, with strong scalability, efficiency, and robustness. Implementation will be released publicly upon acceptance.
Abstract:This work introduces SAM-LLM, a novel hybrid architecture that bridges the gap between the contextual reasoning of Large Language Models (LLMs) and the physical precision of kinematic lane change models for autonomous driving. The system is designed for interpretable lane change trajectory prediction by finetuning an LLM to output the core physical parameters of a trajectory model instead of raw coordinates. For lane-keeping scenarios, the model predicts discrete coordinates, but for lane change maneuvers, it generates the parameters for an enhanced Sinusoidal Acceleration Model (SAM), including lateral displacement, maneuver duration, initial lateral velocity, and longitudinal velocity change. This parametric approach yields a complete, continuous, and physically plausible trajectory model that is inherently interpretable and computationally efficient, achieving an 80% reduction in output size compared to coordinate-based methods. The SAM-LLM achieves a state-of-the-art overall intention prediction accuracy of 98.73%, demonstrating performance equivalent to traditional LLM predictors while offering significant advantages in explainability and resource efficiency.
Abstract:Visual Question Answering (VQA) in remote sensing (RS) is pivotal for interpreting Earth observation data. However, existing RS VQA datasets are constrained by limitations in annotation richness, question diversity, and the assessment of specific reasoning capabilities. This paper introduces RSVLM-QA dataset, a new large-scale, content-rich VQA dataset for the RS domain. RSVLM-QA is constructed by integrating data from several prominent RS segmentation and detection datasets: WHU, LoveDA, INRIA, and iSAID. We employ an innovative dual-track annotation generation pipeline. Firstly, we leverage Large Language Models (LLMs), specifically GPT-4.1, with meticulously designed prompts to automatically generate a suite of detailed annotations including image captions, spatial relations, and semantic tags, alongside complex caption-based VQA pairs. Secondly, to address the challenging task of object counting in RS imagery, we have developed a specialized automated process that extracts object counts directly from the original segmentation data; GPT-4.1 then formulates natural language answers from these counts, which are paired with preset question templates to create counting QA pairs. RSVLM-QA comprises 13,820 images and 162,373 VQA pairs, featuring extensive annotations and diverse question types. We provide a detailed statistical analysis of the dataset and a comparison with existing RS VQA benchmarks, highlighting the superior depth and breadth of RSVLM-QA's annotations. Furthermore, we conduct benchmark experiments on Six mainstream Vision Language Models (VLMs), demonstrating that RSVLM-QA effectively evaluates and challenges the understanding and reasoning abilities of current VLMs in the RS domain. We believe RSVLM-QA will serve as a pivotal resource for the RS VQA and VLM research communities, poised to catalyze advancements in the field.
Abstract:Occupancy prediction infers fine-grained 3D geometry and semantics from camera images of the surrounding environment, making it a critical perception task for autonomous driving. Existing methods either adopt dense grids as scene representation, which is difficult to scale to high resolution, or learn the entire scene using a single set of sparse queries, which is insufficient to handle the various object characteristics. In this paper, we present ODG, a hierarchical dual sparse Gaussian representation to effectively capture complex scene dynamics. Building upon the observation that driving scenes can be universally decomposed into static and dynamic counterparts, we define dual Gaussian queries to better model the diverse scene objects. We utilize a hierarchical Gaussian transformer to predict the occupied voxel centers and semantic classes along with the Gaussian parameters. Leveraging the real-time rendering capability of 3D Gaussian Splatting, we also impose rendering supervision with available depth and semantic map annotations injecting pixel-level alignment to boost occupancy learning. Extensive experiments on the Occ3D-nuScenes and Occ3D-Waymo benchmarks demonstrate our proposed method sets new state-of-the-art results while maintaining low inference cost.
Abstract:End-to-end (E2E) autonomous driving has recently emerged as a new paradigm, offering significant potential. However, few studies have looked into the practical challenge of deployment across domains (e.g., cities). Although several works have incorporated Large Language Models (LLMs) to leverage their open-world knowledge, LLMs do not guarantee cross-domain driving performance and may incur prohibitive retraining costs during domain adaptation. In this paper, we propose RoCA, a novel framework for robust cross-domain E2E autonomous driving. RoCA formulates the joint probabilistic distribution over the tokens that encode ego and surrounding vehicle information in the E2E pipeline. Instantiating with a Gaussian process (GP), RoCA learns a set of basis tokens with corresponding trajectories, which span diverse driving scenarios. Then, given any driving scene, it is able to probabilistically infer the future trajectory. By using RoCA together with a base E2E model in source-domain training, we improve the generalizability of the base model, without requiring extra inference computation. In addition, RoCA enables robust adaptation on new target domains, significantly outperforming direct finetuning. We extensively evaluate RoCA on various cross-domain scenarios and show that it achieves strong domain generalization and adaptation performance.
Abstract:3D occupancy provides fine-grained 3D geometry and semantics for scene understanding which is critical for autonomous driving. Most existing methods, however, carry high compute costs, requiring dense 3D feature volume and cross-attention to effectively aggregate information. More recent works have adopted Bird's Eye View (BEV) or sparse points as scene representation with much reduced cost, but still suffer from their respective shortcomings. More concretely, BEV struggles with small objects that often experience significant information loss after being projected to the ground plane. On the other hand, points can flexibly model little objects in 3D, but is inefficient at capturing flat surfaces or large objects. To address these challenges, in this paper, we present a novel 3D occupancy prediction approach, BePo, which combines BEV and sparse points based representations. We propose a dual-branch design: a query-based sparse points branch and a BEV branch. The 3D information learned in the sparse points branch is shared with the BEV stream via cross-attention, which enriches the weakened signals of difficult objects on the BEV plane. The outputs of both branches are finally fused to generate predicted 3D occupancy. We conduct extensive experiments on the Occ3D-nuScenes and Occ3D-Waymo benchmarks that demonstrate the superiority of our proposed BePo. Moreover, BePo also delivers competitive inference speed when compared to the latest efficient approaches.
Abstract:3D occupancy prediction has recently emerged as a new paradigm for holistic 3D scene understanding and provides valuable information for downstream planning in autonomous driving. Most existing methods, however, are computationally expensive, requiring costly attention-based 2D-3D transformation and 3D feature processing. In this paper, we present a novel 3D occupancy prediction approach, H3O, which features highly efficient architecture designs that incur a significantly lower computational cost as compared to the current state-of-the-art methods. In addition, to compensate for the ambiguity in ground-truth 3D occupancy labels, we advocate leveraging auxiliary tasks to complement the direct 3D supervision. In particular, we integrate multi-camera depth estimation, semantic segmentation, and surface normal estimation via differentiable volume rendering, supervised by corresponding 2D labels that introduces rich and heterogeneous supervision signals. We conduct extensive experiments on the Occ3D-nuScenes and SemanticKITTI benchmarks that demonstrate the superiority of our proposed H3O.
Abstract:Recommendation agents leverage large language models for user modeling LLM UM to construct textual personas guiding alignment with real users. However existing LLM UM methods struggle with long user generated content UGC due to context limitations and performance degradation. To address this sampling strategies prioritize relevance or recency are often applied yet they inevitably neglect the diverse user interests embedded within the discarded behaviors resulting in incomplete modeling and degraded profiling quality. Furthermore relevance based sampling requires real time retrieval forcing the user modeling process to operate online which introduces significant latency overhead. In this paper we propose PersonaX an agent agnostic LLM UM framework that tackles these challenges through sub behavior sequence SBS selection and offline multi persona construction. PersonaX extracts compact SBS segments offline to capture diverse user interests generating fine grained textual personas that are cached for efficient online retrieval. This approach ensures that the user persona used for prompting remains highly relevant to the current context while eliminating the need for online user modeling. For SBS selection we ensure both efficiency length less than five and high representational quality by balancing prototypicality and diversity within the sampled data. Extensive experiments validate the effectiveness and versatility of PersonaX in high quality user profiling. Utilizing only 30 to 50 percent of the behavioral data with a sequence length of 480 integrating PersonaX with AgentCF yields an absolute performance improvement of 3 to 11 percent while integration with Agent4Rec results in a gain of 10 to 50 percent. PersonaX as an agent agnostic framework sets a new benchmark for scalable user modeling paving the way for more accurate and efficient LLM driven recommendation agents.
Abstract:Traditional recommender systems usually take the user-platform paradigm, where users are directly exposed under the control of the platform's recommendation algorithms. However, the defect of recommendation algorithms may put users in very vulnerable positions under this paradigm. First, many sophisticated models are often designed with commercial objectives in mind, focusing on the platform's benefits, which may hinder their ability to protect and capture users' true interests. Second, these models are typically optimized using data from all users, which may overlook individual user's preferences. Due to these shortcomings, users may experience several disadvantages under the traditional user-platform direct exposure paradigm, such as lack of control over the recommender system, potential manipulation by the platform, echo chamber effects, or lack of personalization for less active users due to the dominance of active users during collaborative learning. Therefore, there is an urgent need to develop a new paradigm to protect user interests and alleviate these issues. Recently, some researchers have introduced LLM agents to simulate user behaviors, these approaches primarily aim to optimize platform-side performance, leaving core issues in recommender systems unresolved. To address these limitations, we propose a new user-agent-platform paradigm, where agent serves as the protective shield between user and recommender system that enables indirect exposure. To this end, we first construct four recommendation datasets, denoted as $\dataset$, along with user instructions for each record.




Abstract:Large language models (LLMs) and retrieval-augmented generation (RAG) techniques have revolutionized traditional information access, enabling AI agent to search and summarize information on behalf of users during dynamic dialogues. Despite their potential, current AI search engines exhibit considerable room for improvement in several critical areas. These areas include the support for multimodal information, the delivery of personalized responses, the capability to logically answer complex questions, and the facilitation of more flexible interactions. This paper proposes a novel AI Search Engine framework called the Agent Collaboration Network (ACN). The ACN framework consists of multiple specialized agents working collaboratively, each with distinct roles such as Account Manager, Solution Strategist, Information Manager, and Content Creator. This framework integrates mechanisms for picture content understanding, user profile tracking, and online evolution, enhancing the AI search engine's response quality, personalization, and interactivity. A highlight of the ACN is the introduction of a Reflective Forward Optimization method (RFO), which supports the online synergistic adjustment among agents. This feature endows the ACN with online learning capabilities, ensuring that the system has strong interactive flexibility and can promptly adapt to user feedback. This learning method may also serve as an optimization approach for agent-based systems, potentially influencing other domains of agent applications.