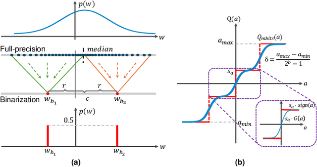
Abstract:Compute-in-memory (CIM) accelerators have emerged as a promising way for enhancing the energy efficiency of convolutional neural networks (CNNs). Deploying CNNs on CIM platforms generally requires quantization of network weights and activations to meet hardware constraints. However, existing approaches either prioritize hardware efficiency with binary weight and activation quantization at the cost of accuracy, or utilize multi-bit weights and activations for greater accuracy but limited efficiency. In this paper, we introduce a novel binary weight multi-bit activation (BWMA) method for CNNs on CIM-based accelerators. Our contributions include: deriving closed-form solutions for weight quantization in each layer, significantly improving the representational capabilities of binarized weights; and developing a differentiable function for activation quantization, approximating the ideal multi-bit function while bypassing the extensive search for optimal settings. Through comprehensive experiments on CIFAR-10 and ImageNet datasets, we show that BWMA achieves notable accuracy improvements over existing methods, registering gains of 1.44\%-5.46\% and 0.35\%-5.37\% on respective datasets. Moreover, hardware simulation results indicate that 4-bit activation quantization strikes the optimal balance between hardware cost and model performance.




Abstract:Urban scene reconstruction is crucial for real-world autonomous driving simulators. Although existing methods have achieved photorealistic reconstruction, they mostly focus on pinhole cameras and neglect fisheye cameras. In fact, how to effectively simulate fisheye cameras in driving scene remains an unsolved problem. In this work, we propose UniGaussian, a novel approach that learns a unified 3D Gaussian representation from multiple camera models for urban scene reconstruction in autonomous driving. Our contributions are two-fold. First, we propose a new differentiable rendering method that distorts 3D Gaussians using a series of affine transformations tailored to fisheye camera models. This addresses the compatibility issue of 3D Gaussian splatting with fisheye cameras, which is hindered by light ray distortion caused by lenses or mirrors. Besides, our method maintains real-time rendering while ensuring differentiability. Second, built on the differentiable rendering method, we design a new framework that learns a unified Gaussian representation from multiple camera models. By applying affine transformations to adapt different camera models and regularizing the shared Gaussians with supervision from different modalities, our framework learns a unified 3D Gaussian representation with input data from multiple sources and achieves holistic driving scene understanding. As a result, our approach models multiple sensors (pinhole and fisheye cameras) and modalities (depth, semantic, normal and LiDAR point clouds). Our experiments show that our method achieves superior rendering quality and fast rendering speed for driving scene simulation.




Abstract:Human-object interaction (HOI) and human-scene interaction (HSI) are crucial for human-centric scene understanding applications in Embodied Artificial Intelligence (EAI), robotics, and augmented reality (AR). A common limitation faced in these research areas is the data scarcity problem: insufficient labeled human-scene object pairs on the input images, and limited interaction complexity and granularity between them. Recent HOI and HSI methods have addressed this issue by generating dynamic interactions with rigid objects. But more complex dynamic interactions such as a human rider pedaling an articulated bicycle have been unexplored. To address this limitation, and to enable research on complex dynamic human-articulated object interactions, in this paper we propose a method to generate simulated 3D dynamic cyclist assets and interactions. We designed a methodology for creating a new part-based multi-view articulated synthetic 3D bicycle dataset that we call 3DArticBikes that can be used to train NeRF and 3DGS-based 3D reconstruction methods. We then propose a 3DGS-based parametric bicycle composition model to assemble 8-DoF pose-controllable 3D bicycles. Finally, using dynamic information from cyclist videos, we build a complete synthetic dynamic 3D cyclist (rider pedaling a bicycle) by re-posing a selectable synthetic 3D person while automatically placing the rider onto one of our new articulated 3D bicycles using a proposed 3D Keypoint optimization-based Inverse Kinematics pose refinement. We present both, qualitative and quantitative results where we compare our generated cyclists against those from a recent stable diffusion-based method.




Abstract:Range-View(RV)-based 3D point cloud segmentation is widely adopted due to its compact data form. However, RV-based methods fall short in providing robust segmentation for the occluded points and suffer from distortion of projected RGB images due to the sparse nature of 3D point clouds. To alleviate these problems, we propose a new LiDAR and Camera Range-view-based 3D point cloud semantic segmentation method (LaCRange). Specifically, a distortion-compensating knowledge distillation (DCKD) strategy is designed to remedy the adverse effect of RV projection of RGB images. Moreover, a context-based feature fusion module is introduced for robust and preservative sensor fusion. Finally, in order to address the limited resolution of RV and its insufficiency of 3D topology, a new point refinement scheme is devised for proper aggregation of features in 2D and augmentation of point features in 3D. We evaluated the proposed method on large-scale autonomous driving datasets \ie SemanticKITTI and nuScenes. In addition to being real-time, the proposed method achieves state-of-the-art results on nuScenes benchmark




Abstract:Generating 3D vehicle assets from in-the-wild observations is crucial to autonomous driving. Existing image-to-3D methods cannot well address this problem because they learn generation merely from image RGB information without a deeper understanding of in-the-wild vehicles (such as car models, manufacturers, etc.). This leads to their poor zero-shot prediction capability to handle real-world observations with occlusion or tricky viewing angles. To solve this problem, in this work, we propose VQA-Diff, a novel framework that leverages in-the-wild vehicle images to create photorealistic 3D vehicle assets for autonomous driving. VQA-Diff exploits the real-world knowledge inherited from the Large Language Model in the Visual Question Answering (VQA) model for robust zero-shot prediction and the rich image prior knowledge in the Diffusion model for structure and appearance generation. In particular, we utilize a multi-expert Diffusion Models strategy to generate the structure information and employ a subject-driven structure-controlled generation mechanism to model appearance information. As a result, without the necessity to learn from a large-scale image-to-3D vehicle dataset collected from the real world, VQA-Diff still has a robust zero-shot image-to-novel-view generation ability. We conduct experiments on various datasets, including Pascal 3D+, Waymo, and Objaverse, to demonstrate that VQA-Diff outperforms existing state-of-the-art methods both qualitatively and quantitatively.




Abstract:Realistic scene reconstruction and view synthesis are essential for advancing autonomous driving systems by simulating safety-critical scenarios. 3D Gaussian Splatting excels in real-time rendering and static scene reconstructions but struggles with modeling driving scenarios due to complex backgrounds, dynamic objects, and sparse views. We propose AutoSplat, a framework employing Gaussian splatting to achieve highly realistic reconstructions of autonomous driving scenes. By imposing geometric constraints on Gaussians representing the road and sky regions, our method enables multi-view consistent simulation of challenging scenarios including lane changes. Leveraging 3D templates, we introduce a reflected Gaussian consistency constraint to supervise both the visible and unseen side of foreground objects. Moreover, to model the dynamic appearance of foreground objects, we estimate residual spherical harmonics for each foreground Gaussian. Extensive experiments on Pandaset and KITTI demonstrate that AutoSplat outperforms state-of-the-art methods in scene reconstruction and novel view synthesis across diverse driving scenarios. Visit our $\href{https://autosplat.github.io/}{\text{project page}}$.




Abstract:Lightweight design of Convolutional Neural Networks (CNNs) requires co-design efforts in the model architectures and compression techniques. As a novel design paradigm that separates training and inference, a structural re-parameterized (SR) network such as the representative RepVGG revitalizes the simple VGG-like network with a high accuracy comparable to advanced and often more complicated networks. However, the merging process in SR networks introduces outliers into weights, making their distribution distinct from conventional networks and thus heightening difficulties in quantization. To address this, we propose an operator-level improvement for training called Outlier Aware Batch Normalization (OABN). Additionally, to meet the demands of limited bitwidths while upkeeping the inference accuracy, we develop a clustering-based non-uniform quantization framework for Quantization-Aware Training (QAT) named ClusterQAT. Integrating OABN with ClusterQAT, the quantized performance of RepVGG is largely enhanced, particularly when the bitwidth falls below 8.




Abstract:In this technical report, we present a solution for 3D object generation of ICCV 2023 OmniObject3D Challenge. In recent years, 3D object generation has made great process and achieved promising results, but it remains a challenging task due to the difficulty of generating complex, textured and high-fidelity results. To resolve this problem, we study learning effective NeRFs and SDFs representations with 3D Generative Adversarial Networks (GANs) for 3D object generation. Specifically, inspired by recent works, we use the efficient geometry-aware 3D GANs as the backbone incorporating with label embedding and color mapping, which enables to train the model on different taxonomies simultaneously. Then, through a decoder, we aggregate the resulting features to generate Neural Radiance Fields (NeRFs) based representations for rendering high-fidelity synthetic images. Meanwhile, we optimize Signed Distance Functions (SDFs) to effectively represent objects with 3D meshes. Besides, we observe that this model can be effectively trained with only a few images of each object from a variety of classes, instead of using a great number of images per object or training one model per class. With this pipeline, we can optimize an effective model for 3D object generation. This solution is one of the final top-3-place solutions in the ICCV 2023 OmniObject3D Challenge.




Abstract:LiDAR-based 3D object detection and panoptic segmentation are two crucial tasks in the perception systems of autonomous vehicles and robots. In this paper, we propose All-in-One Perception Network (AOP-Net), a LiDAR-based multi-task framework that combines 3D object detection and panoptic segmentation. In this method, a dual-task 3D backbone is developed to extract both panoptic- and detection-level features from the input LiDAR point cloud. Also, a new 2D backbone that intertwines Multi-Layer Perceptron (MLP) and convolution layers is designed to further improve the detection task performance. Finally, a novel module is proposed to guide the detection head by recovering useful features discarded during down-sampling operations in the 3D backbone. This module leverages estimated instance segmentation masks to recover detailed information from each candidate object. The AOP-Net achieves state-of-the-art performance for published works on the nuScenes benchmark for both 3D object detection and panoptic segmentation tasks. Also, experiments show that our method easily adapts to and significantly improves the performance of any BEV-based 3D object detection method.




Abstract:Data is a fundamental building block for LiDAR perception systems. Unfortunately, real-world data collection and annotation is extremely costly & laborious. Recently, real data based LiDAR simulators have shown tremendous potential to complement real data, due to their scalability and high-fidelity compared to graphics engine based methods. Before simulation can be deployed in the real-world, two shortcomings need to be addressed. First, existing methods usually generate data which are more noisy and complete than the real point clouds, due to 3D reconstruction error and pure geometry-based raycasting method. Second, prior works on simulation for object detection focus solely on rigid objects, like cars, but VRUs, like pedestrians, are important road participants. To tackle the first challenge, we propose FPA raycasting and surrogate model raydrop. FPA enables the simulation of both point cloud coordinates and sensor features, while taking into account reconstruction noise. The ray-wise surrogate raydrop model mimics the physical properties of LiDAR's laser receiver to determine whether a simulated point would be recorded by a real LiDAR. With minimal training data, the surrogate model can generalize to different geographies and scenes, closing the domain gap between raycasted and real point clouds. To tackle the simulation of deformable VRU simulation, we employ SMPL dataset to provide a pedestrian simulation baseline and compare the domain gap between CAD and reconstructed objects. Applying our pipeline to perform novel sensor synthesis, results show that object detection models trained by simulation data can achieve similar result as the real data trained model.