Abstract:Frequency domain (FD)-digital predistortion (DPD) is a low-complexity DPD solution for massive multiple-inputmultiple-output (MIMO) transmitters (TXs). In this letter, we extend FD-DPD to scenarios with multiple signal states (e.g., bandwidths and power levels). First, we propose a new neural network (NN)-based FD-DPD model, whose main idea is to use a hypernetwork (HN) to generate parameters for the output layer of the main NN based on the signal states. Then, we introduce how to effectively train the model with the help of time-domain (TD)-DPD. Experimental results show that the proposed model can achieve excellent performance, without requiring additional online training when signal states change.




Abstract:Hybrid non-orthogonal multiple access (H-NOMA), which combines the advantages of pure NOMA and conventional OMA organically, has emerged as a highly promising multiple access technology for future wireless networks. Recent studies have proposed various H-NOMA systems by employing different successive interference cancellation (SIC) methods for the NOMA transmission phase. However, existing analyses typically assume a fixed channel gain order between paired users, despite the fact that channel coefficients follow random distribution, leading to their magnitude relationships inherently stochastic and time varying. This paper analyzes the performance of three H-NOMA schemes under stochastic channel gain ordering: a) fixed order SIC (FSIC) aided H-NOMA scheme; b) hybrid SIC with non-power adaptation (HSIC-NPA) aided H-NOMA scheme; c) hybrid SIC with power adaptation (HSIC-PA) aided H-NOMA scheme. Theoretical analysis derives closed-form expressions for the probability that H-NOMA schemes underperform conventional OMA. Asymptotic results in the high signal-to-noise ratio (SNR) regime are also developed. Simulation results validate our analysis and demonstrate the performance of H-NOMA schemes across different SNR scenarios, providing a theoretical foundation for the deployment of H-NOMA in next-generation wireless systems.




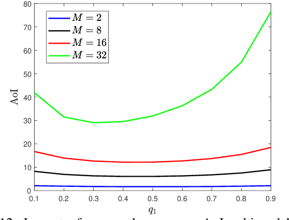
Abstract:This paper investigates the application of non-orthogonal multiple access (NOMA) to grant-free transmissions to reduce the age of information (AoI) in uplink status update systems, where multiple sources upload their {status updates} to {a common} receiver. Unlike existing studies which {adopted} the idealized generate-at-will (GAW) model, {i.e., a status} update data can be generated and transmitted at any time, this paper utilizes a more practical model {to characterize} the inherent randomness of the generation of the status updating data packets. A rigorous analytical framework is established to precisely evaluate the average AoI achieved by the NOMA-assisted grant-free schemes for both {the} cases with and without retransmission. The impact of the choice of the probability {of transmission} on the average AoI is investigated. Extensive simulation results are provided to validate the accuracy of the developed analysis. It is shown that NOMA-assisted schemes are more superior in reducing AoI{, compared} to orthogonal multiple access (OMA) based schemes. In addition, compared to schemes without retransmission, the AoI performance {of} the schemes with retransmission can {be improved} significantly when the status update generation rate is low or the user density is relatively high.




Abstract:Flexible-antenna systems, such as fluid antennas and movable antennas, have been recognized as key enabling technologies for sixth-generation (6G) wireless networks, as they can intelligently reconfigure the effective channel gains of the users and hence significantly improve their data transmission capabilities. However, existing flexible-antenna systems have been designed to combat small-scale fading in non-line-of-sight (NLoS) conditions. As a result, they lack the ability to establish line-of-sight links, which are typically 100 times stronger than NLoS links. In addition, existing flexible-antenna systems have limited flexibility, where adding/removing an antenna is not straightforward. This article introduces an innovative flexible-antenna system called pinching antennas, which are realized by applying small dielectric particles to waveguides. We first describe the basics of pinching-antenna systems and their ability to provide strong LoS links by deploying pinching antennas close to the users as well as their capability to scale up/down the antenna system. We then focus on communication scenarios with different numbers of waveguides and pinching antennas, where innovative approaches to implement multiple-input multiple-output and non-orthogonal multiple access are discussed. In addition, promising 6G-related applications of pinching antennas, including integrated sensing and communication and next-generation multiple access, are presented. Finally, important directions for future research, such as waveguide deployment and channel estimation, are highlighted.




Abstract:This paper aims to prove the significant superiority of hybrid non-orthogonal multiple access (NOMA) over orthog onal multiple access (OMA) in terms of energy efficiency. In particular, a novel hybrid NOMA scheme is proposed in which a user can transmit signals not only by using its own time slot but also by using the time slots of other users. The data rate maximization problem is studied by optimizing the power allocation, where closed-form solutions are obtained. Further more, the conditions under which hybrid NOMA can achieve a higher instantaneous data rate with less power consumption than OMA are obtained. It is proved that the probability that hybrid NOMA can achieve a higher instantaneous data rate with less power consumption than OMA approaches one in the high SNR regime, indicating the superiority of hybrid NOMA in terms of power efficiency. Numerical results are also provided to verify the developed analysis and also to demonstrate the superior performance of hybrid NOMA.




Abstract:Reconfigurable holographic surfaces (RHSs) constitute a promising technique of supporting energy-efficient communications. In this paper, we formulate the energy efficiency maximization problem of the switch-controlled RHS-aided beamforming architecture by alternately optimizing the holographic beamformer at the RHS, the digital beamformer, the total transmit power and the power sharing ratio of each user. Specifically, to deal with this challenging non-convex optimization problem, we decouple it into three sub-problems. Firstly, the coefficients of RHS elements responsible for the holographic beamformer are optimized to maximize the sum of the eigen-channel gains of all users by our proposed low-complexity eigen-decomposition (ED) method. Then, the digital beamformer is designed by the singular value decomposition (SVD) method to support multi-user information transfer. Finally, the total transmit power and the power sharing ratio are alternately optimized, while considering the effect of transceiver hardware impairments (HWI). We theoretically derive the spectral efficiency and energy efficiency performance upper bound for the RHS-based beamforming architectures in the presence of HWIs. Our simulation results show that the switch-controlled RHS-aided beamforming architecture achieves higher energy efficiency than the conventional fully digital beamformer and the hybrid beamformer based on phase shift arrays (PSA). Moreover, considering the effect of HWI in the beamforming design can bring about further energy efficiency enhancements.



Abstract:An intelligent omni-surface (IOS) assisted holographic multiple-input and multiple-output architecture is conceived for $360^\circ$ full-space coverage at a low energy consumption. The theoretical ergodic rate lower bound of our non-orthogonal multiple access (NOMA) scheme is derived based on the moment matching approximation method, while considering the signal distortion at transceivers imposed by hardware impairments (HWIs). Furthermore, the asymptotically ergodic rate lower bound is derived both for an infinite number of IOS elements and for continuous aperture surfaces. Both the theoretical analysis and the simulation results show that the achievable rate of the NOMA scheme is higher than that of its orthogonal multiple access counterpart. Furthermore, owing to the HWIs at the transceivers, the achievable rate saturates at high signal-to-noise ratio region, instead of reaching its theoretical maximum.
Abstract:This paper studies the application of cognitive radio inspired non-orthogonal multiple access (CR-NOMA) to reduce age of information (AoI) for uplink transmission. In particular, a time division multiple access (TDMA) based legacy network is considered, where each user is allocated with a dedicated time slot to transmit its status update information. The CR-NOMA is implemented as an add-on to the TDMA legacy network, which enables each user to have more opportunities to transmit by sharing other user's time slots. A rigorous analytical framework is developed to obtain the expressions for AoIs achieved by CR-NOMA with and without re-transmission, by taking the randomness of the status update generating process into consideration. Numerical results are presented to verify the accuracy of the developed analysis. It is shown that the AoI can be significantly reduced by applying CR-NOMA compared to TDMA. Moreover, the use of re-transmission is helpful to reduce AoI, especially when the status arrival rate is low.




Abstract:Recently, stochastic geometry has been applied to provide tractable performance analysis for low earth orbit (LEO) satellite networks. However, existing works mainly focus on analyzing the ``coverage probability'', which provides limited information. To provide more insights, this paper provides a more fine grained analysis on LEO satellite networks modeled by a homogeneous Poisson point process (HPPP). Specifically, the distribution and moments of the conditional coverage probability given the point process are studied. The developed analytical results can provide characterizations on LEO satellite networks, which are not available in existing literature, such as ``user fairness'' and ``what fraction of users can achieve a given transmission reliability ''. Simulation results are provided to verify the developed analysis. Numerical results show that, in a dense satellite network, {\color{black}it is} beneficial to deploy satellites at low altitude, for the sake of both coverage probability and user fairness.




Abstract:Reconfigurable intelligent surfaces (RIS) are capable of beneficially ameliorating the propagation environment by appropriately controlling the passive reflecting elements. To extend the coverage area, the concept of simultaneous transmitting and reflecting reconfigurable intelligent surfaces (STAR-RIS) has been proposed, yielding supporting 360^circ coverage user equipment (UE) located on both sides of the RIS. In this paper, we theoretically formulate the ergodic sum-rate of the STAR-RIS assisted non-orthogonal multiple access (NOMA) uplink in the face of channel estimation errors and hardware impairments (HWI). Specifically, the STAR-RIS phase shift is configured based on the statistical channel state information (CSI), followed by linear minimum mean square error (LMMSE) channel estimation of the equivalent channel spanning from the UEs to the access point (AP). Afterwards, successive interference cancellation (SIC) is employed at the AP using the estimated instantaneous CSI, and we derive the theoretical ergodic sum-rate upper bound for both perfect and imperfect SIC decoding algorithm. The theoretical analysis and the simulation results show that both the channel estimation and the ergodic sum-rate have performance floor at high transmit power region caused by transceiver hardware impairments.