



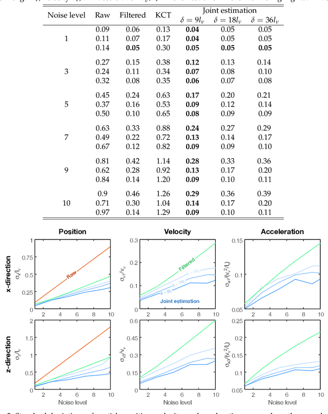
Abstract:We numerically investigate the joint observability of flow states and unknown particle properties from Lagrangian particle tracking (LPT) data. LPT offers time-resolved, volumetric measurements of particle trajectories, but experimental tracks are spatially sparse, potentially noisy, and may be further complicated by inertial transport, raising the question of whether both Eulerian fields and particle characteristics can be reliably inferred. To address this, we develop a data assimilation framework that couples an Eulerian flow representation with Lagrangian particle models, enabling the simultaneous inference of carrier fields and particle properties under the governing equations of disperse multiphase flow. Using this approach, we establish empirical existence proofs of joint observability across three representative regimes. In a turbulent boundary layer with noisy tracer tracks (St to 0), flow states and true particle positions are jointly observable. In homogeneous isotropic turbulence seeded with inertial particles (St ~ 1-5), we demonstrate simultaneous recovery of flow states and particle diameters, showing the feasibility of implicit particle characterization. In a compressible, shock-dominated flow, we report the first joint reconstructions of velocity, pressure, density, and inertial particle properties (diameter and density), highlighting both the potential and certain limits of observability in supersonic regimes. Systematic sensitivity studies further reveal how seeding density, noise level, and Stokes number govern reconstruction accuracy, yielding practical guidelines for experimental design. Taken together, these results show that the scope of LPT could be broadened to multiphase and high-speed flows, in which tracer and measurement fidelity are limited.




Abstract:Meta-learning is a powerful paradigm for tackling few-shot tasks. However, recent studies indicate that models trained with the whole-class training strategy can achieve comparable performance to those trained with meta-learning in few-shot classification tasks. To demonstrate the value of meta-learning, we establish an entropy-limited supervised setting for fair comparisons. Through both theoretical analysis and experimental validation, we establish that meta-learning has a tighter generalization bound compared to whole-class training. We unravel that meta-learning is more efficient with limited entropy and is more robust to label noise and heterogeneous tasks, making it well-suited for unsupervised tasks. Based on these insights, We propose MINO, a meta-learning framework designed to enhance unsupervised performance. MINO utilizes the adaptive clustering algorithm DBSCAN with a dynamic head for unsupervised task construction and a stability-based meta-scaler for robustness against label noise. Extensive experiments confirm its effectiveness in multiple unsupervised few-shot and zero-shot tasks.



Abstract:Pre-trained segmentation models are a powerful and flexible tool for segmenting images. Recently, this trend has extended to medical imaging. Yet, often these methods only produce a single prediction for a given image, neglecting inherent uncertainty in medical images, due to unclear object boundaries and errors caused by the annotation tool. Multiple Choice Learning is a technique for generating multiple masks, through multiple learned prediction heads. However, this cannot readily be extended to producing more outputs than its initial pre-training hyperparameters, as the sparse, winner-takes-all loss function makes it easy for one prediction head to become overly dominant, thus not guaranteeing the clinical relevancy of each mask produced. We introduce SeqSAM, a sequential, RNN-inspired approach to generating multiple masks, which uses a bipartite matching loss for ensuring the clinical relevancy of each mask, and can produce an arbitrary number of masks. We show notable improvements in quality of each mask produced across two publicly available datasets. Our code is available at https://github.com/BenjaminTowle/SeqSAM.
Abstract:Constitutional AI (CAI) guides LLM behavior using constitutions, but identifying which principles are most effective for model alignment remains an open challenge. We introduce the C3AI framework (\textit{Crafting Constitutions for CAI models}), which serves two key functions: (1) selecting and structuring principles to form effective constitutions before fine-tuning; and (2) evaluating whether fine-tuned CAI models follow these principles in practice. By analyzing principles from AI and psychology, we found that positively framed, behavior-based principles align more closely with human preferences than negatively framed or trait-based principles. In a safety alignment use case, we applied a graph-based principle selection method to refine an existing CAI constitution, improving safety measures while maintaining strong general reasoning capabilities. Interestingly, fine-tuned CAI models performed well on negatively framed principles but struggled with positively framed ones, in contrast to our human alignment results. This highlights a potential gap between principle design and model adherence. Overall, C3AI provides a structured and scalable approach to both crafting and evaluating CAI constitutions.




Abstract:Diffusion-based algorithms have emerged as promising techniques for weight generation, particularly in scenarios like multi-task learning that require frequent weight updates. However, existing solutions suffer from limited cross-task transferability. In addition, they only utilize optimal weights as training samples, ignoring the value of other weights in the optimization process. To address these issues, we propose Lt-Di, which integrates the diffusion algorithm with meta-learning to generate weights for unseen tasks. Furthermore, we extend the vanilla diffusion algorithm into a trajectory diffusion algorithm to utilize other weights along the optimization trajectory. Trajectory diffusion decomposes the entire diffusion chain into multiple shorter ones, improving training and inference efficiency. We analyze the convergence properties of the weight generation paradigm and improve convergence efficiency without additional time overhead. Our experiments demonstrate Lt-Di's higher accuracy while reducing computational overhead across various tasks, including zero-shot and few-shot learning, multi-domain generalization, and large-scale language model fine-tuning.Our code is released at https://github.com/tuantuange/Lt-Di.




Abstract:AI-mediated communication enables users to communicate more quickly and efficiently. Various systems have been proposed such as smart reply and AI-assisted writing. Yet, the heterogeneity of the forms of inputs and architectures often renders it challenging to combine insights from user behaviour in one system to improve performance in another. In this work, we consider the case where the user does not select any of the suggested replies from a smart reply system, and how this can be used as one-shot implicit negative feedback to enhance the accuracy of an AI writing model. We introduce Nifty, an approach that uses classifier guidance to controllably integrate implicit user feedback into the text generation process. Empirically, we find up to 34% improvement in Rouge-L, 89% improvement in generating the correct intent, and an 86% win-rate according to human evaluators compared to a vanilla AI writing system on the MultiWOZ and Schema-Guided Dialog datasets.




Abstract:Meta-learning has been widely used in recent years in areas such as few-shot learning and reinforcement learning. However, the questions of why and when it is better than other algorithms in few-shot classification remain to be explored. In this paper, we perform pre-experiments by adjusting the proportion of label noise and the degree of task heterogeneity in the dataset. We use the metric of Singular Vector Canonical Correlation Analysis to quantify the representation stability of the neural network and thus to compare the behavior of meta-learning and classical learning algorithms. We find that benefiting from the bi-level optimization strategy, the meta-learning algorithm has better robustness to label noise and heterogeneous tasks. Based on the above conclusion, we argue a promising future for meta-learning in the unsupervised area, and thus propose DHM-UHT, a dynamic head meta-learning algorithm with unsupervised heterogeneous task construction. The core idea of DHM-UHT is to use DBSCAN and dynamic head to achieve heterogeneous task construction and meta-learn the whole process of unsupervised heterogeneous task construction. On several unsupervised zero-shot and few-shot datasets, DHM-UHT obtains state-of-the-art performance. The code is released at https://github.com/tuantuange/DHM-UHT.




Abstract:The widespread of Large Language Models (LLMs) marks a significant milestone in generative AI. Nevertheless, the increasing context length and batch size in offline LLM inference escalate the memory requirement of the key-value (KV) cache, which imposes a huge burden on the GPU VRAM, especially for resource-constraint scenarios (e.g., edge computing and personal devices). Several cost-effective solutions leverage host memory or SSDs to reduce storage costs for offline inference scenarios and improve the throughput. Nevertheless, they suffer from significant performance penalties imposed by intensive KV cache accesses due to limited PCIe bandwidth. To address these issues, we propose InstInfer, a novel LLM inference system that offloads the most performance-critical computation (i.e., attention in decoding phase) and data (i.e., KV cache) parts to Computational Storage Drives (CSDs), which minimize the enormous KV transfer overheads. InstInfer designs a dedicated flash-aware in-storage attention engine with KV cache management mechanisms to exploit the high internal bandwidths of CSDs instead of being limited by the PCIe bandwidth. The optimized P2P transmission between GPU and CSDs further reduces data migration overheads. Experimental results demonstrate that for a 13B model using an NVIDIA A6000 GPU, InstInfer improves throughput for long-sequence inference by up to 11.1$\times$, compared to existing SSD-based solutions such as FlexGen.




Abstract:Foundational vision models, such as the Segment Anything Model (SAM), have achieved significant breakthroughs through extensive pre-training on large-scale visual datasets. Despite their general success, these models may fall short in specialized tasks with limited data, and fine-tuning such large-scale models is often not feasible. Current strategies involve incorporating adaptors into the pre-trained SAM to facilitate downstream task performance with minimal model adjustment. However, these strategies can be hampered by suboptimal learning approaches for the adaptors. In this paper, we introduce a novel Multi-scale Contrastive Adaptor learning method named MCA-SAM, which enhances adaptor performance through a meticulously designed contrastive learning framework at both token and sample levels. Our Token-level Contrastive adaptor (TC-adaptor) focuses on refining local representations by improving the discriminability of patch tokens, while the Sample-level Contrastive adaptor (SC-adaptor) amplifies global understanding across different samples. Together, these adaptors synergistically enhance feature comparison within and across samples, bolstering the model's representational strength and its ability to adapt to new tasks. Empirical results demonstrate that MCA-SAM sets new benchmarks, outperforming existing methods in three challenging domains: camouflage object detection, shadow segmentation, and polyp segmentation. Specifically, MCA-SAM exhibits substantial relative performance enhancements, achieving a 20.0% improvement in MAE on the COD10K dataset, a 6.0% improvement in MAE on the CAMO dataset, a 15.4% improvement in BER on the ISTD dataset, and a 7.9% improvement in mDice on the Kvasir-SEG dataset.




Abstract:Implementing cross-modal hashing between 2D images and 3D point-cloud data is a growing concern in real-world retrieval systems. Simply applying existing cross-modal approaches to this new task fails to adequately capture latent multi-modal semantics and effectively bridge the modality gap between 2D and 3D. To address these issues without relying on hand-crafted labels, we propose contrastive masked autoencoders based self-supervised hashing (CMAH) for retrieval between images and point-cloud data. We start by contrasting 2D-3D pairs and explicitly constraining them into a joint Hamming space. This contrastive learning process ensures robust discriminability for the generated hash codes and effectively reduces the modality gap. Moreover, we utilize multi-modal auto-encoders to enhance the model's understanding of multi-modal semantics. By completing the masked image/point-cloud data modeling task, the model is encouraged to capture more localized clues. In addition, the proposed multi-modal fusion block facilitates fine-grained interactions among different modalities. Extensive experiments on three public datasets demonstrate that the proposed CMAH significantly outperforms all baseline methods.