Friedrich-Alexander Universität Erlangen-Nürnberg
Abstract:We propose a monocular depth estimation method based on visual autoregressive (VAR) priors, offering an alternative to diffusion-based approaches. Our method adapts a large-scale text-to-image VAR model and introduces a scale-wise conditional upsampling mechanism with classifier-free guidance. Our approach performs inference in ten fixed autoregressive stages, requiring only 74K synthetic samples for fine-tuning, and achieves competitive results. We report state-of-the-art performance in indoor benchmarks under constrained training conditions, and strong performance when applied to outdoor datasets. This work establishes autoregressive priors as a complementary family of geometry-aware generative models for depth estimation, highlighting advantages in data scalability, and adaptability to 3D vision tasks. Code available at "https://github.com/AmirMaEl/VAR-Depth".




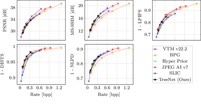
Abstract:Reducing computational complexity remains a critical challenge for the widespread adoption of learning-based image compression techniques. In this work, we propose TreeNet, a novel low-complexity image compression model that leverages a binary tree-structured encoder-decoder architecture to achieve efficient representation and reconstruction. We employ attentional feature fusion mechanism to effectively integrate features from multiple branches. We evaluate TreeNet on three widely used benchmark datasets and compare its performance against competing methods including JPEG AI, a recent standard in learning-based image compression. At low bitrates, TreeNet achieves an average improvement of 4.83% in BD-rate over JPEG AI, while reducing model complexity by 87.82%. Furthermore, we conduct extensive ablation studies to investigate the influence of various latent representations within TreeNet, offering deeper insights into the factors contributing to reconstruction.




Abstract:Each image acquisition setup leads to its own camera-specific image characteristics degrading the image quality. In learning-based perception algorithms, characteristics occurring during the application phase, but absent in the training data, lead to a domain gap impeding the performance. Previously, pixel-level domain adaptation through unpaired learning of the pristine-to-distorted mapping function has been proposed. In this work, we propose shallow discriminator architectures to address limitations of these approaches. We show that a smaller receptive field size improves learning of unknown image distortions by more accurately reproducing local distortion characteristics at a low network complexity. In a domain adaptation setup for instance segmentation, we achieve mean average precision increases over previous methods of up to 0.15 for individual distortions and up to 0.16 for camera-specific image characteristics in a simplified camera model. In terms of number of parameters, our approach matches the complexity of one state of the art method while reducing complexity by a factor of 20 compared to another, demonstrating superior efficiency without compromising performance.
Abstract:In today's society, live video streaming and user generated content streamed from battery powered devices are ubiquitous. Live streaming requires real-time video encoding, and hardware video encoders are well suited for such an encoding task. In this paper, we introduce a high-level feature model using Gaussian process regression that can predict the encoding energy of a hardware video encoder. In an evaluation setup restricted to only P-frames and a single keyframe, the model can predict the encoding energy with a mean absolute percentage error of approximately 9%. Further, we demonstrate with an ablation study that spatial resolution is a key high-level feature for encoding energy prediction of a hardware encoder. A practical application of our model is that it can be used to perform a prior estimation of the energy required to encode a video at various spatial resolutions, with different coding standards and codec presets.
Abstract:The soft context formation coder is a pixel-wise state-of-the-art lossless screen content coder using pattern matching and color palette coding in combination with arithmetic coding. It achieves excellent compression performance on screen content images in RGB 4:4:4 format with few distinct colors. In contrast to many other lossless compression methods, it codes entire color pixels at once, i.e., all color components of one pixel are coded together. Consequently, it does not natively support image formats with downsampled chroma, such as YCbCr 4:2:0, which is an often used chroma format in video compression. In this paper, we extend the soft context formation coding capabilities to 4:2:0 image compression, by successively coding Y and CbCr planes based on an analysis of normalized mutual information between image planes. Additionally, we propose an enhancement to the chroma prediction based on the luminance plane. Furthermore, we propose to transmit side-information about occurring luma-chroma combinations to improve chroma probability distribution modelling. Averaged over a large screen content image dataset, our proposed method outperforms HEVC-SCC, with HEVC-SCC needing 5.66% more bitrate compared to our method.
Abstract:Current learned image compression models typically exhibit high complexity, which demands significant computational resources. To overcome these challenges, we propose an innovative approach that employs hierarchical feature extraction transforms to significantly reduce complexity while preserving bit rate reduction efficiency. Our novel architecture achieves this by using fewer channels for high spatial resolution inputs/feature maps. On the other hand, feature maps with a large number of channels have reduced spatial dimensions, thereby cutting down on computational load without sacrificing performance. This strategy effectively reduces the forward pass complexity from \(1256 \, \text{kMAC/Pixel}\) to just \(270 \, \text{kMAC/Pixel}\). As a result, the reduced complexity model can open the way for learned image compression models to operate efficiently across various devices and pave the way for the development of new architectures in image compression technology.




Abstract:Efficient compression of 360-degree video content requires the application of advanced motion models for interframe prediction. The Motion Plane Adaptive (MPA) motion model projects the frames on multiple perspective planes in the 3D space. It improves the motion compensation by estimating the motion on those planes with a translational diamond search. In this work, we enhance this motion model with an affine parameterization and motion estimation method. Thereby, we find a feasible trade-off between the quality of the reconstructed frames and the computational cost. The affine motion estimation is hereby done with the inverse compositional Lucas-Kanade algorithm. With the proposed method, it is possible to improve the motion compensation significantly, so that the motion compensated frame has a Weighted-to-Spherically-uniform Peak Signal-to-Noise Ratio (WS-PSNR) which is about 1.6 dB higher than with the conventional MPA. In a basic video codec, the improved inter prediction can lead to Bj{\o}ntegaard Delta (BD) rate savings between 9 % and 35 % depending on the block size (BS) and number of motion parameters.




Abstract:Developing effective 360-degree (spherical) image compression techniques is crucial for technologies like virtual reality and automated driving. This paper advances the state-of-the-art in on-the-sphere learning (OSLO) for omnidirectional image compression framework by proposing spherical attention modules, residual blocks, and a spatial autoregressive context model. These improvements achieve a 23.1% bit rate reduction in terms of WS-PSNR BD rate. Additionally, we introduce a spherical transposed convolution operator for upsampling, which reduces trainable parameters by a factor of four compared to the pixel shuffling used in the OSLO framework, while maintaining similar compression performance. Therefore, in total, our proposed method offers significant rate savings with a smaller architecture and can be applied to any spherical convolutional application.
Abstract:Current image compression models often require separate models for each quality level, making them resource-intensive in terms of both training and storage. To address these limitations, we propose an innovative approach that utilizes latent variables from pre-existing trained models (such as the Stable Diffusion Variational Autoencoder) for perceptual image compression. Our method eliminates the need for distinct models dedicated to different quality levels. We employ overfitted learnable functions to compress the latent representation from the target model at any desired quality level. These overfitted functions operate in the latent space, ensuring low computational complexity, around $25.5$ MAC/pixel for a forward pass on images with dimensions $(1363 \times 2048)$ pixels. This approach efficiently utilizes resources during both training and decoding. Our method achieves comparable perceptual quality to state-of-the-art learned image compression models while being both model-agnostic and resolution-agnostic. This opens up new possibilities for the development of innovative image compression methods.




Abstract:Remote sensing cross-modal text-image retrieval (RSCTIR) has gained attention for its utility in information mining. However, challenges remain in effectively integrating global and local information due to variations in remote sensing imagery and ensuring proper feature pre-alignment before modal fusion, which affects retrieval accuracy and efficiency. To address these issues, we propose CMPAGL, a cross-modal pre-aligned method leveraging global and local information. Our Gswin transformer block combines local window self-attention and global-local window cross-attention to capture multi-scale features. A pre-alignment mechanism simplifies modal fusion training, improving retrieval performance. Additionally, we introduce a similarity matrix reweighting (SMR) algorithm for reranking, and enhance the triplet loss function with an intra-class distance term to optimize feature learning. Experiments on four datasets, including RSICD and RSITMD, validate CMPAGL's effectiveness, achieving up to 4.65% improvement in R@1 and 2.28% in mean Recall (mR) over state-of-the-art methods.