Abstract:The optimizations of both memory depth and kernel functions are critical for wideband digital pre-distortion (DPD). However, the memory depth is usually determined via exhaustive search over a wide range for the sake of linearization optimality, followed by the kernel selection of each memory depth, yielding excessive computational cost. In this letter, we aim to provide an efficient solution that jointly optimizes the memory depth and kernels while preserving reasonable linearization performance. Specifically, we propose to formulate this optimization as a blockweighted least absolute shrinkage and selection operator (Lasso) problem, where kernels are assigned regularization weights based on their polynomial orders. Then, a block coordinate descent algorithm is introduced to solve the block-weighted Lasso problem. Measurement results on a generalized memory polynomial (GMP) model demonstrates that our proposed solution reduces memory depth by 31.6% and kernel count by 85% compared to the full GMP, while achieving -46.4 dB error vector magnitude (EVM) for signals of 80 MHz bandwidth. In addition, the proposed solution outperforms both the full GMP and the GMP pruned by standard Lasso by at least 0.7 dB in EVM.




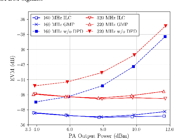
Abstract:In this paper, it is identified that lowering the reference level at the vector signal analyzer can significantly improve the performance of iterative learning control (ILC). We present a mathematical explanation for this phenomenon, where the signals experience logarithmic transform prior to analogue-to-digital conversion, resulting in non-uniform quantization. This process reduces the quantization noise of low-amplitude signals that constitute a substantial portion of orthogonal frequency division multiplexing (OFDM) signals, thereby improving ILC performance. Measurement results show that compared to setting the reference level to the peak amplitude, lowering the reference level achieves 3 dB improvement on error vector magnitude (EVM) and 15 dB improvement on normalized mean square error (NMSE) for 320 MHz WiFi OFDM signals.




Abstract:Motivated by the need for increased spectral efficiency and the proliferation of intelligent applications, the sixth-generation (6G) mobile network is anticipated to integrate the dual-functions of communication and sensing (C&S). Although the millimeter wave (mmWave) communication and mmWave radar share similar multiple-input multiple-output (MIMO) architecture for integration, the full potential of dual-function synergy remains to be exploited. In this paper, we commence by overviewing state-of-the-art schemes from the aspects of waveform design and signal processing. Nevertheless, these approaches face the dilemma of mutual compromise between C&S performance. To this end, we reveal and exploit the synergy between C&S. In the proposed framework, we introduce a two-stage frame structure and resort artificial intelligence (AI) to achieve the synergistic gain by designing a joint C&S channel semantic extraction and reconstruction network (JCASCasterNet). With just a cost-effective and energy-efficient single sensing antenna, the proposed scheme achieves enhanced overall performance while requiring only limited pilot and feedback signaling overhead. In the end, we outline the challenges that lie ahead in the future development of integrated sensing and communication networks, along with promising directions for further research.




Abstract:This paper studies the affine frequency division multiplexing (AFDM)-empowered sparse code multiple access (SCMA) system, referred to as AFDM-SCMA, for supporting massive connectivity in high-mobility environments. First, by placing the sparse codewords on the AFDM chirp subcarriers, the input-output (I/O) relation of AFDM-SCMA systems is presented. Next, we delve into the generalized receiver design, chirp rate selection, and error rate performance of the proposed AFDM-SCMA. The proposed AFDM-SCMA is shown to provide a general framework and subsume the existing OFDM-SCMA as a special case. Third, for efficient transceiver design, we further propose a class of sparse codebooks for simplifying the I/O relation, referred to as I/O relation-inspired codebook design in this paper. Building upon these codebooks, we propose a novel iterative detection and decoding scheme with linear minimum mean square error (LMMSE) estimator for both downlink and uplink channels based on orthogonal approximate message passing principles. Our numerical results demonstrate the superiority of the proposed AFDM-SCMA systems over OFDM-SCMA systems in terms of the error rate performance. We show that the proposed receiver can significantly enhance the error rate performance while reducing the detection complexity.